Đề bài
Câu 1. Một chuỗi thức ăn gồm
A. nhiều loài sinh vật có quan hệ dinh dưỡng với nhau và mỗi loài là một mắt xích của chuỗi. Trong một chuỗi, mỗi mắt xích là nguồn thức ăn của mắt xích phía sau.
B. nhiều loài sinh vật có quan hệ cạnh tranh về dinh dưỡng với nhau và mỗi loài là một mắt xích của chuỗi. Trong một chuỗi, một mắt xích vừa có nguồn thức ăn là mắt xích phía trước, vừa là nguồn thức ăn của mắt xích phía sau.
C. nhiều loài sinh vật có quan hệ dinh dưỡng với nhau và mỗi loài là một mắt xích của chuỗi. Trong một chuỗi, một mắt xích có nguồn thức ăn là mắt xích phía trước.
D. nhiều loài sinh vật có quan hệ dinh dưỡng với nhau và mỗi loài là một mắt xích của chuỗi. Trong một chuỗi, một mắt xích vừa có nguồn thức ăn là mắt xích phía trước, vừa là nguồn thức ăn của mắt xích phía sau.
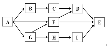
Câu 2. Giả sử lưới thức ăn sau đây gồm các loài sinh vật được kí hiệu: A, B, C, D, E, F, G, H, I. Cho biết loài A là sinh vật sản xuất và loài E là sinh vật tiêu thụ bậc cao nhất. Có bao nhiêu phát biểu sau đây đúng?

I. Lưới thức ăn này có tối đa 5 chuỗi thức ăn.
II. Loài D có thể thuộc 2 bậc dinh dưỡng khác nhau.
III. Loài A và loài E tham gia vào nhiều chuỗi thức ăn nhất.
IV. Sự thay đổi số lượng cá thể của loài H liên quan trực tiếp đến sự thay đổi số lượng cá thể của loài I và loài G.
A. 4 B. 1
C. 3 D. 2
Câu 3. Khi nói về chu trình cacbon trong sinh quyển, có bao nhiêu phát biểu sau đây đúng?
I. Một trong những nguyên nhân gây ra hiệu ứng nhà kính là do sử dụng quá nhiều nhiên liệu hóa thạch.
II. Thực vật chỉ hấp thụ CO2 mà không có khả năng thải CO2 ra môi trường.
III. Tất cả lượng cacbon của quần xã sinh vật được trao đổi liên tục theo vòng tuần hoàn kín.
IV. Thực vật không phải là nhóm sinh vật duy nhất có khả năng chuyển hóa CO2 thành các hợp chất hữu cơ.
A. 2 B. 3
C. 1 D. 4
Câu 4. Theo thuyết tiến hóa hiện đại, phát biểu nào sau đây đúng?
A. Các yếu tố ngẫu nhiên làm nghèo vốn gen quần thể, giảm sự đa dạng di truyền nên không có vai trò đối với tiến hóa.
B. Quá trình tiến hóa nhỏ diễn ra trên quy mô quần thể và diễn biến không ngừng dưới tác động của các nhân tố tiến hóa.
C. Chọn lọc tự nhiên luôn làm thay đổi đột ngột tần số alen và thành phần kiểu gen của quần thể.
D. Khi không có tác động của đột biến, chọn lọc tự nhiên và di – nhập gen thì tần số alen và thành phần kiểu gen của quần thể sẽ không thay đổi
Câu 5. Trong diễn thế thứ sinh trên đất canh tác đã bỏ hoang để trở thành rừng thứ sinh, sự phát triển của các thảm thực vật trải qua các giai đoạn:
(1) Quần xã đỉnh cực
(2) Quần xã cây gỗ lá rộng.
(3) Quần xã cây thân thảo.
(4) Quần xã cây bụi
(5) Quần xã khởi đầu, chủ yếu cây một năm.
Trình tự đúng của các giai đoạn là
A. (5) → (3) → (2) → (4) → (1)
B. (5) → (3) → (4) → (2) → (1)
C. (5) → (2) → (3) → (4) → (1)
D. (1) → (2) → (3) → (4) → (5)
Câu 6. Cho chuỗi thức ăn: Cây lúa → Sâu ăn lá lúa → Ếch đồng → Rắn hổ mang → Đại bàng. Trong chuỗi thức ăn này, ếch đồng là sinh vật bậc
A. 4 B. 1
C. 3 D. 2
Câu 7. Trong các đặc trưng sau đây, đặc trưng nào là đặc trưng của quần xã sinh vật?
A. Số lượng cá thể cùng loài trên một đơn vị diện tích hay thể tích.
B. Sự phân bố của các loài trong không gian.
C. Tỉ lệ giới tính.
D. Nhóm tuổi.
Câu 8. Trong điều kiện môi trường bị giới hạn, sự tăng trưởng kích thước của quần thể theo đường cong tăng trưởng thực tế có hình chữ S, ở giai đoạn ban đầu, số lượng cá thể tăng chậm. Nguyên nhân chủ yếu của sự tăng chậm số lượng cá thể là do
A. số lượng cá thể của quần thể đang cân bằng với sức chịu đựng (sức chứa) của môi trường.
B. sự cạnh tranh giữa các cá thể trong quần thể diễn ra gay gắt.
C. nguồn sống của môi trường cạn kiệt.
D. kích thước của quần thể còn nhỏ.
Câu 9. Ý nghĩa sinh thái của phân bố ngẫu nhiên là
A. sinh vật tận dụng được nguồn sống tiềm tàng trong môi trường
B. làm tăng mức độ cạnh tranh giữa các cá thể trong quần thể
C. các cá thể hỗ trợ lẫn nhau chống lại điều kiện bất lợi của môi trường
D. làm giảm mức độ cạnh tranh giữa các cá thể trong quần thể
Câu 10. Lịch sử trái đất gồm đại địa chất theo thứ tự là:
A. Thái cổ – Nguyên sinh -Cổ sinh – Trung sinh – Tân sinh.
B. Thái cổ – Nguyên sinh – Cổ sinh – Tân sinh – Trung sinh
C. Cổ sinh – Thái cổ – Nguyên sinh – Trung sinh – Tân sinh
D. Thái cổ – Cổ sinh – Trung sinh – Nguyên sinh – Tân sinh
Câu 11. Trong một quần xã rừng tự nhiên ở vùng Đông Nam Á, các loài động vật ăn cỏ cỡ lớn như bò rừng mỗi khi di chuyển thường đánh động và làm các loài côn trùng bay khỏi tổ. Lúc này, các loài chim như diệc bạc sẽ bắt các con côn trùng bay khỏi tổ làm thức ăn. Việc côn trùng bay khỏi tổ cũng như việc chim diệc bạc bắt côn trùng không ảnh hưởng gì đến đời sống bò rừng. Chim gõ bò (một loài chim nhỏ màu xám) có thể bắt ve bét trên da bò rừng làm thức ăn. Trong các nhận xét dưới đây, có bao nhiêu nhận xét đúng khi nói về mối quan hệ của các loài sinh vật trên?
(1) Quan hệ giữa ve bét và chim gõ bò là quan hệ sinh vật này ăn sinh vật khác.
(2) Quan hệ giữa chim gõ bò và bò rừng là mối quan hệ hợp tác.
(3) Quan hệ giữa bò rừng và các loài côn trùng là mối quan hệ ức chế – cảm nhiễm.
(4) Quan hệ giữa chim diệc bạc và côn trùng là mối quan hệ cạnh tranh.
(5) Quan hệ giữa bò rừng và chim diệc bạc là mối quan hệ hợp tác.
(6) Quan hệ giữa ve bét và bò rừng là mối quan hệ kí sinh – vật chủ.
A. 1 B. 3
C. 4 D. 2
Câu 12. Khi nói về các đặc trưng cơ bản của quần thể sinh vật, phát biểu nào sau đây đúng?
A. Kích thước của quần thể không phụ thuộc vào điều kiện môi trường.
B. Sự phân bố cá thể có ảnh hưởng tới khả năng khai thác nguồn sống trong môi trường.
C. Mật độ cá thể của mỗi quần thể luôn ổn định, không thay đổi theo mùa, theo năm.
D. Khi kích thước quần thể đạt mức tối đa thì tốc độ tăng trưởng của quần thể là lớn nhất
Câu 13. Quá trình phát sinh và phát triển của sự sống trên Trái Đất gồm các giai đoạn sau:
I. Tiến hóa hóa học
II. Tiến hóa sinh học.
III. Tiến hóa tiền sinh học
Các giai đoạn trên diễn ra theo thứ tự đúng là:
A. I→II→III B. III→II→I
C. I→III→II D. II→III→I
Câu 14. Ví dụ nào sau đây minh họa cho kiểu biến động không theo chu kỳ?
A. Chim cu gáy xuất hiện nhiều vào thời gian thu hoạch lúa, ngô.
B. Cá cơm ở vùng biển Pêru giảm mạnh số lượng khi có dòng nước nóng chảy về
C. Muỗi thường có nhiều khi thời tiết ấm áp và độ ẩm cao
D. Gia cầm giảm mạnh số lượng khi xuất hiện dịch H5N1
Câu 15. Theo thuyết tiến hóa hiện đại, trong các phát biểu sau về quá trình hình thành loài mới, có bao nhiêu phát biểu đúng?
(1) Hình thành loài mới có thể xảy ra trong cùng khu vực địa lí hoặc khác khu vực địa lí.
(2) Đột biến đảo đoạn có thể góp phần tạo nên loài mới.
(3) Lai xa và đa bội hóa có thể tạo ra loài mới có bộ nhiễm sắc thể song nhị bội.
(4) Quá trình hình thành loài có thể chịu sự tác động của các yếu tố ngẫu nhiên.
A. 2 B. 3
C. 4 D. 1
Câu 16. Trong các loài dưới đây, loài nào có kiểu tăng trưởng số lượng theo tiềm năng sinh học?
A. Ếch, nhái trong hồ.
B. Cá chép trong ao
C. Vi khuẩn lam trong hồ
D. Ba ba sông
Câu 17. Trong một khu rừng, một quần thể côn trùng sống trên loài cây M (quần thể M). Do quần thể phát triển mạnh, một số cá thể phát tán sang loài cây N. Những cá thể nào ăn được thức ăn ở loài cây N thì sống sót và sinh sản, hình thành nên quần thể mới (quần thể N). Qua thời gian, người ta nhận thấy con lai giữa các cá thể của quần thể N với quần thể M có sức sống kém, không sinh sản được. Có bao nhiêu nhận định sau đây đúng khi nói về quá trình này?
(1) Đây là ví dụ về hình thành loài mới bằng cách li địa lý.
(2) Quần thể M, N thuộc cùng một loài.
(3) Thức ăn khác nhau là nguyên nhân trực tiếp làm xuất hiện các đặc điểm của các cá thể trong quần thể N
(4) Giữa các cá thể của quần thể M và quần thể N đã xảy ra cách ly sau hợp tử.
A. 4 B. 3
C. 1 D. 2
Câu 18. Kích thước tối thiểu của quần thể sinh vật là
A. số lượng cá thể nhiều nhất mà quần thể có thể đạt được, cân bằng với sức chứa của môi trường
B. khoảng không gian nhỏ nhất mà quần thể cần có để tồn tại và phát triển.
C. số lượng cá thể ít nhất phân bố trong khoảng không gian của quần thể.
D. số lượng cá thể ít nhất mà quần thể cần có để duy trì và phát triển.
Câu 19. Xét các trường hợp sau:
(1) Khi gieo hạt cải, mật độ cây con sau nảy mầm cao hơn nhiều khi cây đạt hai tuần tuổi.
(2) Sự sinh trưởng mạnh của thỏ hoang trên đồng cỏ Úc làm số lượng thú túi bị giảm.
(3) Trong quần thể khỉ, các cá thể đánh nhau, dọa nạt nhau bằng tiếng hú dẫn tới một số cá thể buộc phải tách ra khỏi đàn.
(4) Khi thiếu thức ăn, con non có thể bị con trưởng thành ăn thịt.
(5) Các cây cỏ dại sinh trưởng mạnh làm năng suất lúa giảm.
Những trường hợp do cạnh tranh khác loài gây ra?
A. (1),(3),(4) B. (1),(2),(3)
C. (1),(2),(5) D. (2),(5)
Câu 20. Theo quan điểm tiến hoá hiện đại, giải thích nào sau đây về sự xuất hiện bướm sâu đo bạch dương màu đen (Biston betularia) ở vùng Manchetxtơ (Anh) vào những năm cuối thế kỷ XIX, nửa đầu thế kỷ XX là đúng?
A. Khi sử dụng thức ăn bị nhuộm đen do khói bụi đã làm cho cơ thể bướm bị nhuộm đen.
B. Môi trường sống là các thân cây bạch dương bị nhuộm đen đã làm phát sinh các đột biến tương ứng màu đen trên cơ thể sâu đo bạch dương.
C. Tất cả bướm sâu đo bạch dương có cùng một kiểu gen, khi cây bạch dương có màu trắng thì bướm có màu trắng, khi cây có màu đen thì bướm có màu đen.
D. Dạng đột biến quy định kiểu hình màu đen ở bướm sâu đo bạch dương đã xuất hiện một cách ngẫu nhiên từ trước và được chọn lọc tự nhiên giữ lại.
Câu 21. Lừa đực giao phối với ngựa cái sinh ra con la có khả năng sinh trưởng nhưng bất thụ. Kết luận nào sau đây sai?
A. La là một loài mới của tiến hoá
B. Lừa và ngựa không bị cách li cơ học
C. La là sản phẩm của lai xa
D. La mang đặc tính của cả lừa và ngựa
Câu 22. Khi nói về diễn thế sinh thái, phát biểu nào sau đây sai?
A. Diễn thế sinh thái thứ sinh luôn khởi đầu từ môi trường chưa có sinh vật.
B. Trong diễn thế sinh thái, song song với quá trình biến đổi của quần xã là quá trình biến đổi về các điều kiện tự nhiên của môi trường.
C. Sự cạnh tranh giữa các loài trong quần xã là một trong những nguyên nhân gây ra diễn thế sinh thái.
D. Diễn thế sinh thái là quá trình biến đổi tuần tự của quần xã qua các giai đoạn tương ứng với sự biến đổi của môi trường
Câu 23. Khi nói về quá trình hình thành loài mới bằng con đường cách li địa lí, phát biểu nào sau đây đúng?
A. Quá trình này thường xảy ra một cách chậm chạp, không có sự tác động của chọn lọc tự nhiên
B. Quá trình này chỉ xảy ra ở động vật mà không xảy ra ở thực vật.
C. Cách li địa lí là nguyên nhân trực tiếp gây ra những biến đổi tương ứng trên cơ thể sinh vật.
D. Vốn gen của quần thể có thể bị thay đổi nhanh hơn nếu có tác động của các yếu tố ngẫu nhiên.
Câu 24. Bậc dinh dưỡng cấp 1 gồm
A. các sinh vật sản xuất
B. các động vật ăn sinh vật sản xuất
C. các sinh vật phân giải
D. các động vật ăn sinh vật tiêu thụ bậc 1
Câu 25. Giới hạn sinh thái là
A. khoảng giá trị xác định của nhiều nhân tố sinh thái, ở đó sinh vật tồn tại và phát triển ổn định theo thời gian.
B. khoảng giá trị xác định của một nhân tố sinh thái, ở đó sinh vật tồn tại và phát triển ổn định theo thời gian.
C. khoảng giá trị xác định của một số nhân tố sinh thái, mà ngoài khoảng đó sinh vật tồn tại và phát triển ổn định theo thời gian
D. khoảng giá trị xác định của một nhân tố sinh thái, mà ngoài khoảng đó sinh vật tồn tại và phát triển ổn định theo thời gian.
Câu 26. Khi nói về sự biến động số lượng cá thể của quần thể sinh vật, phát biểu nào sau đây sai?
A. Hươu và nai là những loài ít có khả năng bảo vệ vùng sống nên khả năng sống sót của con non phụ thuộc rất nhiều vào số lượng kẻ thù ăn thịt.
B. Trong những nhân tố sinh thái vô sinh, nhân tố khí hậu có ảnh hưởng thường xuyên và rõ rệt nhất tới sự biến động số lượng cá thể của quần thể.
C. Hổ và báo là những loài có khả năng bảo vệ vùng sống nên sự cạnh tranh để bảo vệ vùng sống không ảnh hưởng tới số lượng cá thể trong quần thể.
D. Ở chim, sự cạnh tranh nơi làm tổ ảnh hưởng tới khả năng sinh sản của các cá thể trong quần thể.
Câu 27. Có bao nhiêu ví dụ sau đây minh họa cho cách ly cơ học?
(1) Hai loài rắn sọc không độc thuộc chi Thamnophis sống trong cùng một khu vực địa lí,một loài sống chủ yếu dưới nước trong khi loài kia lại sống chủ yếu trên cạn nên không giao phối
(2) Hạt phấn của cây bầu không thụ phấn được cho hoa mướp.
(3) Vỏ của hai loài ốc trong chi Bradybaena xoắn theo chiều ngược nhau làm lỗ sinh không phù hợp với nhau và giao phối không thể thành công.
(4) Cỏ băng ở bãi bồi và cỏ băng ở bờ sông Vonga không giao phấn được với nhau
(5) Giao tử loài nhím biển tím và loài nhím biển đỏ, không thể kết hợp với nhau vì các prôtêin trên bề mặt của tinh trùng và trứng không thể liên kết được với nhau
A. 4 B. 2
C. 3 D. 1
Câu 28. Dựa vào mức độ phức tạp dần của lưới thức ăn, có thể sắp xếp các khu sinh học sau đây theo trình tự đúng là
A. Rừng lá kim phương Bắc → đồng rêu → rừng lá rụng ôn đới → rừng mưa nhiệt đới.
B. Đồng rêu → rừng lá kim phương Bắc → rừng mưa nhiệt đới → rừng lá rụng ôn đới.
C. Đồng rêu → rừng lá kim phương Bắc → rừng lá rụng ôn đới → rừng mưa nhiệt đới.
D. Đồng rêu → rừng lá rụng ôn đới → rừng lá kim phương Bắc → rừng mưa nhiệt đới.
Câu 29. Các nhân tố tiến hoá không làm phong phú vốn gen của quần thể là
A. đột biến, biến động di truyền.
B. di nhập gen, chọn lọc tự nhiên.
C. giao phối không ngẫu nhiên, chọn lọc tự nhiên.
D. đột biến, di nhập gen.
Câu 30. Chuỗi thức ăn của hệ sinh thái dưới nước thường dài hơn hệ sinh thái trên cạn vì
A. hệ sinh thái dưới nước có đa dạng sinh học cao hơn.
B. môi trường nước không bị năng lượng mặt trời đốt nóng.
C. môi trường nước có nhiệt độ ổn định hơn môi trường trên cạn.
D. môi trường nước giàu chất dinh dưỡng hơn môi trường trên cạn.
Đáp án
ĐÁP ÁN VÀ HƯỚNG DẪN GIẢI CHI TIẾT
|
1. D
|
2. D
|
3. A
|
4. B
|
5. B
|
|
6. C
|
7. B
|
8. D
|
9. A
|
10. A
|
|
11. C
|
12. B
|
13. C
|
14. D
|
15. C
|
|
16. C
|
17. D
|
18. D
|
19. D
|
20. D
|
|
21. A
|
22. A
|
23. D
|
24. A
|
25. B
|
|
26. C
|
27. C
|
28. C
|
29. C
|
30. C
|
Câu 1
Một chuỗi thức ăn gồm nhiều loài sinh vật có quan hệ dinh dưỡng với nhau và mỗi loài là một mắt xích của chuỗi. Một mắt xích vừa có nguồn thức ăn là mắt xích phía trước, vừa là nguồn thức ăn của mắt xích phía sau.
VD: Viết: cỏ → trâu → hổ thì cỏ là thức ăn của trâu; trâu là thức ăn của hổ
Chọn D
Câu 2
I. – Sai, lưới thức ăn có tối đa 6 chuỗi thức ăn.
II. – đúng, loài D có thể thuộc bậc dinh dưỡng cấp 3 (A-F-D) hoặc cấp 4 (A-B-C-D)
III. – Đúng. Loài A,E tham gia vào tất cả các chuỗi thức ăn.
IV – Đúng. Vì loài H là thức ăn của loài G và kẻ thù của loài I.
Chọn D
Câu 3
Các phát biểu đúng là: I, IV.
II sai do ở thực vật còn xảy ra quá trình hô hấp thải CO2 ra môi trường.
III sai do một phần CO2 bị lắng đọng vật chất dưới dạng dầu lửa, than đá,.. không liên tục theo vòng tuần hoàn kín.
IV đúng, ví dụ 1 số vi sinh vật tự dưỡng cũng có khả năng chuyển CO2 thành các hợp chất hữu cơ (vi khuẩn lam,..)
Chọn A.
Câu 4
A sai, tuy các yếu tố ngẫu nhiên làm nghèo vốn gen của quần thể nhưng vẫn có vai trò đối với tiến hóa.
B đúng (SGK Sinh 12 trang 113).
C sai, CLTN làm thay đổi tần số alen và thành phần kiểu gen từ từ, theo 1 hướng nhất định.
D sai, nếu quần thể giao phối không ngẫu nhiên thì thành phần kiểu gen sẽ thay đổi, giao phối ngẫu nhiên thì đạt cân bằng di truyền.
Chọn B
Câu 5
Trình tự đúng của các giai đoạn là: (5) → (3) → (4) → (2) → (1).
Chọn B
Câu 6
Cây lúa (B1) → Sâu ăn lá lúa (B2) → Ếch đồng (B3) → Rắn hổ mang (B4) → Đại bàng (B5)
Ếch là sinh vật bậc 3.
Chọn C
Câu 7
Sự phân bố của các loài trong không gian là đặc trưng của quần xã, các đáp án còn lại là đặc trưng của quần thể.
Chọn B
Câu 8
Nguyên nhân chủ yếu của sự tăng chậm số lượng cá thể là do: kích thước của quần thể còn nhỏ.

Chọn D
Câu 9
Phân bố ngẫu nhiên xảy ra khi môi trường phân bố đồng đều, không có sự cạnh tranh gay gắt.
Ý nghĩa: Sinh vật tận dụng được nguồn sống tiềm tàng trong môi trường.
Chọn A
Câu 10
Lịch sử trái đất gồm đại địa chất theo thứ tự là: Thái cổ – Nguyên sinh -Cổ sinh – Trung sinh – Tân sinh
Chọn A
Câu 11
(1) đúng vì: Chim gõ bò (một loài chim nhỏ màu xám) có thể bắt ve bét trên da bò rừng làm thức ăn
(2) đúng, vì cả 2 cùng có lợi.
(3) đúng, bò rừng vô tình đã gây hại cho các loài côn trùng.
(4) sai, mối quan hệ giữa chim diệc bạc và côn trùng là sinh vật ăn sinh vật.
(5) sai, hai loài này là quan hệ hội sinh, chim diệc bạc có lợi, bỏ rừng thì không.
(6) đúng.
Chọn C
Câu 12
A sai, kích thước quần thể phụ thuộc vào điều kiện môi trường
B đúng (SGK Sinh 12 trang 164)
C sai, mật độ cá thể thay đổi theo mùa, năm.
D sai, ki kích thước đạt tối đa thì tốc độ tăng trưởng là nhỏ nhất.
Chọn B
Câu 13
Các giai đoạn trên diễn ra theo thứ tự đúng là:
Tiến hóa hóa học
III. Tiến hóa tiền sinh học
II. Tiến hóa sinh học.
Chọn C
Câu 14
VD D: Gia cầm giảm mạnh số lượng khi xuất hiện dịch H5N1 là biến động không theo chu kì.
Chọn D
Câu 15
(1) đúng.
(2) đúng, đảo đoạn tạo ra nguyên liệu cho tiến hóa góp phần hình thành loài mới.
(3) đúng, (SGK Sinh 12 trang 130)
(4) đúng, vì các yếu tố ngẫu nhiên làm thay đổi cấu trúc di truyền của quần thể.
Chọn C
Câu 16
Các vi khuẩn lam trong hồ sẽ có kiểu tăng trưởng số lượng theo tiềm năng sinh học vì nguồn sống rất dồi dào, không giới hạn về không gian cư trú, thời gian thế hệ ngắn…
Chọn C
Câu 17
(1) đúng, do con lai không có khả năng sinh sản nên đã hình thành loài mới.
(2) sai, do con lai không có khả năng sinh sản → hình thành loài mới
(3) sai, nguyên nhân trực tiếp là do sự khác biệt về vật chất, vốn gen của 2 quần thể.
(4) đúng.
Chọn D
Câu 18
Kích thước tối thiểu của quần thể sinh vật là số lượng cá thể ít nhất mà quần thể cần có để duy trì và phát triển (SGK Sinh 12 trang 166).
Chọn D
Câu 19
Các ví dụ về cạnh tranh khác loài là: (2),(5).
Các ví dụ khác là cạnh tranh cùng loài.
Chọn D
Câu 20
Dạng đột biến quy định kiểu hình màu đen ở bướm sâu đo bạch dương đã xuất hiện một cách ngẫu nhiên từ trước và được chọn lọc tự nhiên giữ lại giải thích cho sự xuất hiện bướm sâu đo bạch dương màu đen (Biston betularia) ở vùng Manchetxtơ (Anh).
Chọn D
Câu 21
Phát biểu sai là A, la không thể sinh sản nên không được coi là loài mới.
Chọn A
Câu 22
Phát biểu sai về diễn thế sinh thái là A, diễn thế thứ sinh khởi đầu bằng môi trường đã có sinh vật.
Chọn A
Câu 23
Phát biểu đúng về hình thành loài mới bằng con đường cách li địa lí là : D
A sai, có tác động của chọn lọc tự nhiên.
B sai, xảy ra ở cả động vật và thực vật
C sai, cách li địa lí chỉ duy trì sự khác biệt về vốn gen do các nhân tố tiến hóa tạo ra.
Chọn D
Câu 24
Bậc dinh dưỡng cấp 1 gồm các sinh vật sản xuất.
Chọn A
Câu 25
Giới hạn sinh thái là khoảng giá trị xác định của một nhân tố sinh thái, ở đó sinh vật tồn tại và phát triển ổn định theo thời gian.
(SGK Sinh 12 trang 151).
Chọn B
Câu 26
Phát biểu sai về sự biến động số lượng cá thể của quần thể sinh vật là: C, hổ và báo là những loài có khả năng bảo vệ vùng sống nên sự cạnh tranh để bảo vệ vùng sống ảnh hưởng lớn tới số lượng cá thể trong quần thể.
A,D (SGK Sinh 12 trang 173)
B (SGK Sinh 12 trang 172)
Chọn C
Câu 27
Các ví dụ về cách li cơ học là: 2,3,5
(1), (4) cách li nơi ở.
Chọn C
Câu 28
Dựa vào mức độ phức tạp dần của lưới thức ăn, có thể sắp xếp các khu sinh học sau đây theo trình tự đúng là: Đồng rêu → rừng lá kim phương Bắc → rừng lá rụng ôn đới → rừng mưa nhiệt đới.

Chọn C
Câu 29
Vốn gen là tập hợp tất cả các alen có trong quần thể ở một thời điểm xác định. Đặc điểm của vốn gen thể hiện ở tần số các alen và tần số các kiểu gen của quần thể.
Giao phối không ngẫu nhiên và chọn lọc tự nhiên không làm xuất hiện alen mới của quần thể nên không làm phong phú vốn gen của quần thể.
Chọn C
Câu 30
Chuỗi thức ăn của hệ sinh thái dưới nước thường dài hơn hệ sinh thái trên cạn vì môi trường nước có nhiệt độ ổn định hơn môi trường trên cạn nên năng lượng thất thoát ít hơn.
Chọn C