Đề bài
Câu 81: Trường hợp nào sau đây không được gọi là cơ quan thoái hóa?
A. Khe mang ở phôi người.
B. Ruột thừa ở người.
C. Hai mấu xương hình vuốt nối với xương chậu ở hai bên lỗ huyệt ở loài trăn.
D. Di tích của nhụy trong hoa đu đủ đực.
Câu 82: Trong các hoạt động sau:
(1) Đắp đập ngăn sông làm thủy điện;
(2) Sử dụng biện pháp sinh học trong nông nghiệp;
(3) Khai thác những cây gỗ già trong rừng;
(4) Khai phá đất hoang;
(5) Tăng cường sử dụng chất tẩy rửa làm sạch mầm bệnh trong đất và nước.
Những hoạt động nào được xem là điều khiển diễn thế sinh thái theo hướng có lợi cho con người và thiên nhiên?
A. 1,3,4. B. 1, 2,3, 5.
C. 2, 3,4. D. 2, 4,5.
Câu 83: Chu trình tuần hoàn cacbon trong sinh quyển có đặc điểm là:
A. Thực vật là nhóm duy nhất trong quần xã có khả năng tạo ra cacbon hữu cơ từ cacbon điôxit (CO2).
B. Nguồn cacbon được sinh vật trực tiếp sử dụng là dầu lửa và than đá trong vỏ Trái Đất.
C. Nguồn dự trữ cacbon lớn nhất là cacbon điôxit (CO2) trong khí quyển.
D. Có một lượng nhỏ cacbon tách ra đi vào vật chất lắng đọng và không hoàn trả lại cho chu trình.
Câu 84: Ở đậu Hà Lan, tính trạng hoa đỏ là do gen A qui định trội hoàn toàn so với gen a qui định hoa trắng, gen quy định tính trạng nằm trên NST thường. Cho 2 cây có kiểu hình khác nhau giao phấn với nhau được F1, sau đó cho các cây F1 ngẫu phối liên tiếp đến F4 thu được 180 cây hoa trắng và 140 cây hoa đỏ. Chọn ngẫu nhiên một cây hoa đỏ ở F4 cho tự thụ phấn, nếu giả sử mỗi quả trên cây F4 đều chứa 3 hạt thì xác suất để cả 3 hạt trong cùng một quả khi đem gieo đều mọc thành cây hoa đỏlà:
A.22,07%. B.50,45%.
C.36,16%. D.18,46%.
Câu 85: Trong các con đường hình thành loài dưới đây, con đường nào có thể hình thành loài mới một cách nhanh nhất?
A. Cách li sinh thái.
B. Đột biến nhiễm sắc thể.
C. Cách li tập tính.
D. Khác khu vực địa lí.
Câu 86: Khi nói về opêron Lac ở vi khuẩn E. coli, có bao nhiêu phát biểu sau đây sai?
I. Gen điều hòa (R) nằm trong thành phần của opêron Lac.
II. Vùng vận hành (O) là nơi prôtêin ức chế có thể liên kết làm ngăn cản sự phiên mã.
III. Khi môi trường không có lactôzơ thì gen điều hòa (R) vẫn có thể phiên mã.
IV. Khi gen cấu trúc A và gen cấu trúc Z đều phiên mã 10 lần thì gen cấu trúc Y cũng phiên mã 10 lần.
A.4. B.1.
C.3. D.2.
Câu 87: Một gen dài 425 nm và có tổng số nuclêôtit loại A và nuclêôtit loại T chiếm 40% tổng số nuclêôtit của gen. Mạch 1 của gen có 220 nuclêôtit loại T và số nuclêôtit loại X chiếm 20% tổng số nuclêôtit của mạch. Theo lí thuyết, có bao nhiêu phát biểu sau đây đúng?
I.Mạch 1 của gen có G/X=2/3.
II. Mạch 2 của gen có (A + X)/(T + G) =53/72.
III. Mạch 2 của gen có G/T=25/28.
IV. Mạch 2 của gen có 20% số nuclêôtit loại X.
A.2. B.1.
C.3. D.4.
Câu 88: Hệ dẫn truyền tim hoạt động theo trật tự nào?
A. Nút xoang nhĩ → Hai tâm nhĩ và nút nhĩ thất → Bó his → Mạng Puôc – kin → Các tâm nhĩ, tâm thất co.
B. Nút xoang nhĩ → Hai tâm nhĩ → Nút nhĩ thất → Bó his → Mạng Puôc – kin → Các tâm nhĩ, tâm thất co.
C. Nút xoang nhĩ → Hai tâm nhĩ và nút nhĩ thất → Mạng Puôc – kin → Bó his → Các tâm nhĩ, tâm thất co.
D. Nút nhĩ thất → Hai tâm nhĩ và nút xoang nhĩ → Bó his → Mạng Puôc – kin → Các tâm nhĩ, tâm thất co.
Câu 89: Cho ruồi giấm thuần chủng mắt đỏ, cánh nguyên giao phối với ruồi giấm mắt trắng, cánh xẻ thu được F1 đồng loạt mắt đỏ, cánh nguyên. Tiếp tục cho F1 giao phối với nhau, ở F2 thu được 282 ruồi mắt đỏ, cánh nguyên; 62 ruồi mắt trắng, cánh xẻ; 18 ruồi mắt đỏ, cánh xẻ và 18 ruồi mắt trắng, cánh nguyên. Cho biết mỗi tính trạng do một gen qui định, các gen đều nằm trên NST giới tính X và một số ruồi mắt trắng, cánh xẻ bị chết ở giai đoạn phôi. Có bao nhiêu phát biểu nào sau đây là đúng?
(1) Tất cả ruồi mắt đỏ, cánh nguyên đều là ruồi cái.
(2) Tất cả các ruồi mang kiểu hình khác bố mẹ đều là ruồi đực.
(3) Tần số hoán vị là 36%.
(4) Tính theo lí thuyết, số lượng ruồi mắt trắng, cánh xẻ đã bị chết là 18 con.
A.3 B.4
C.2 D.1
Câu 90: Trong các loại sản phẩm của gen, loại sản phẩm đóng vai trò vận chuyển axit amin đến ribôxôm trong quá trình tổng hợp chuỗi polipeptit là
A. mARN.
B.tARN.
C. prôtêninứcchế.
D.rARN.
Câu 91: Một loài động vật có 4 cặp nhiễm sắc thể được kí hiệu là Aa, Bb, Dd và Ee. Trong các cơ thể có bộ nhiễm sắc thể sau đây, có bao nhiêu thể ba?
I.AaaBbDdEe.
II. ABbDdEe.
III. AaBBbDdEe.
IV. AaBbDdEe.
V. AaBbDdEEe.
VI. AaBbDddEe.
A. 3 B. 5
C. 2 D. 4.
Câu 92: Đối với quá trình tiến hóa, yếu tố ngẫu nhiên
A. làm biến đổi mạnh tần số alen của những quần thể có kích thước nhỏ.
B. làm tăng sự đa dạng di truyền của quần thể sinh vật.
C. làm thay đổi tần số alen và thành phần kiểu gen của quần thể theo một hướng xác định.
D. chỉ đào thải các alen có hại và giữ lại các alen có lợi cho quần thể.
Câu 93: Trong các phát biểu sau, có bao nhiêu phát biểu sai về tác động của chọn lọc tự nhiên theo quan niệm tiến hóa hiện đại?
(1) Chọn lọc tự nhiên tạo ra các cá thể có kiểu gen quy định kiểu hình thích nghi với môi trường sống do đó làm phong phú vốn gen quần thể.
(2) Chọn lọc tự nhiên chỉ tác động khi điều kiện môi trường sống thay đổi do đó trong môi trường ổn định vốn gen của quần thể không biến đổi.
(3) Chọn lọc tự nhiên tác động trực tiếp lên kiểu gen, qua đó sẽ làm biến đổi tần số các cá thể có kiểu hình khác nhau trong quần thể.
(4) Chọn lọc tự nhiên làm thay đổi tần số alen của quần thể vi khuẩn chậm hơn so với quần thể sinh vật lưỡng bội.
A.1. B.2.
C.3. D.4.
Câu 94: Enzim không tham gia vào quá trình nhân đôi ADN của sinh vật nhân sơ là
A.ARNpolimeraza.
B.restrictaza.
C.ADNpolimeraza
D.Ligaza.
Câu 95: Biết mỗi gen quy định một tính trạng. Trong trường hợp không xảy ra đột biến, theo lí thuyết, phép lai nào sau đây cho đời con có nhiều loại kiểu gen nhiều nhất?
A.\(\dfrac{{Ab}}{{aB}}Dd \times \dfrac{{AB}}{{ab}}dd\)
B. \(\dfrac{{Ab}}{{aB}}{X^D}{X^d} \times \dfrac{{AB}}{{ab}}{X^D}Y\)
C. AaBbDdEe × AaBbDdEE
D.\(\dfrac{{AB}}{{ab}}\dfrac{{DE}}{{dE}} \times \dfrac{{AB}}{{ab}}\dfrac{{DE}}{{dE}}\)
Câu 96: Điểm giống nhau giữa quá trình phiên mã và dịch mã ở sinh vật nhân thực là
A. đều diễn ra đồng thời với quá trình nhân đôi AND
B. đều diễn ra trong nhân tế bào.
C. đều diễn ra theo nguyên tắc bổ sung.
D. đều có sự tham gia của ARN pôlimeraza.
Câu 97: Một loài thực vật có 4 cặp nhiễm sắc thể được kí hiệu là Aa, Bb, Dd và Ee. Trong các cá thể có bộ nhiễm sắc thể sau đây, có bao nhiêu thể một?
I. AaBbDdEe.
IV. ABbDdEe.
II. AaBbdEe.
V. AaBbDde.
III. AaBbDddEe.
VI. AaBDdEe.
A. 2. B. 4.
C. 5. D. 1.
Câu 98: Ở người già, khi huyết áp cao dễ bị xuất huyết não vì
A. mạch bị xơ cứng, tính đàn hồi kém, đặc biệt các mạch ở não, khi huyết áp cao dễ làm vỡ mạch.
B. thành mạch dày lên, tính đàn hồi kém đặc biệt là các mạch ở não, khi huyết áp cao dễ làm vỡ mạch.
C. mạch bị xơ cứng nên không co bóp được, đặc biệt các mạch ở não, khi huyết áp cao dễ làm vỡ mạch.
D. mạch bị xơ cứng, máu bị ứ đọng, đặc biệt các mạch ở não, khi huyết áp cao dễ làm vỡ mạch.
Câu 99: Ở một loài thực vật, tiến hành 2 phép lai :
– Phép lai 1 : Cho P thuần chủng lai với nhau được F1-1 toàn cây hoa đỏ. Cho F1-1 lai phân tích, được tỉ lệ là 3 trắng: 1đỏ.
– Phép lai 2: Cho các cá thể P thuần chủng khác nhau bởi các cặp gen tương phản lai với nhau, được F1-2 đồng loạt cây hoa đỏ, thâncao.
Cho F1-2 lai phân tích, F2-2 thu được 4 loại kiểu hình là: hoa đỏ, thân cao; hoa đỏ, thân thấp; hoa trắng, thân cao và hoa trắng, thân thấp; trong đó, cây hoa đỏ, thân thấp chiếm tỉ lệ 20%.
Biết rằng tính trạng chiều cao cây do 1 cặp gen qui định. Theo lý thuyết, kiểu hình hoa đỏ, thân cao ở F2-2 chiếm tỉ lệ bao nhiêu?
A.30%. B.20%
C.45%. D.5%.
Câu 100: Cơ sở vật chất của hiện tượng di truyền ở cấp độ phân tử là
A.axitnucleic. B.prôtêin
C.ADN D.ARN
Câu 101: Ví dụ nào sau đây thể hiện mối quan hệ cạnh tranh trong quần xã?
A. Giun sán sống trong cơ thể lợn.
B. Các loài cỏ dại và lúa cùng sống trên ruộng đồng.
C. Tỏi tiết ra các chất có khả năng tiêu diệt vi khuẩn.
D. Thỏ và chó sói sống trong rừng.
Câu 102: Khi kích thước của một quần thể động vật sinh sản theo lối giao phối giảm xuống dưới mức tối thiểu thì xu hướng nào sau đây ít có khả năng xảy ra nhất?
A. Sự hỗ trợ giữa các cá thể trong quần thể giảm.
B. Giao phối gần xảy ra làm giảm sức sống của quần thể.
C. Quần thể dễ rơi vào trạng thái suy giảm dẫn tới diệt vong.
D. Mức sinh sản sẽ tăng lên do nguồn sống dồi dào.
Câu 103: Bảng sau đây cho biết một số đặc điểm trong mô hình điều hòa hoạt động của opêron Lac ở vi khuẩn E.coli.
|
Cột A
|
Cột B
|
|
(1)Vùngkhởiđộng
|
(a) tổng hợp prôtêin ứcchế.
|
|
(2) Gen điều hòa
|
(b) vị trí tương tác với enzim ARN polimeraza.
|
|
(3)Vùng vậnhành
|
(c) vị trí tương tác với chấtức chế.
|
|
(4) Nhóm gen cấutrúc
|
(d) tổng hợp enzim phângiải đường lactôzơ.
|
|
(5) Opêron Lac
|
(e) không chứa gen điềuhòa R.
|
Tổ hợp ghép đôi đúng là
A. 1-a, 2-c, 3-e,4-b, 5- d.
B. 1-d, 2-b, 3-d, 4-e,5-a.
C. 1-b, 2-a, 3-c ,4-d,5-e.
D. 1-c, 2-e, 3-a, 4-d,5-b.
Câu 104: Điều nào khôngđúng về vai trò của quá trình thoát hơi nước?
A. Cung cấp CO2 cho quá trình quang hợp.
B. Cung cấp năng lượng cho lá.
C. Vận chuyển nước,ion khoáng.
D. Hạ nhiệt độ cho lá.
Câu 105: Các ion khoáng xâm nhập vào tế bào rễ cây theo cơ chế thụ động có đặc điểm
I. các ion khoáng đi từ môi trường đất có nồng độ cao sang tế bào rễ có nồng độ thấp.
II. nhờ có năng lượng và enzim, các ion cần thiết đi ngược chiều nồng độ, vào tế bào rễ.
III. không cần tiêu tốn năng lượng.
IV. các ion cần thiết đi ngược chiều nồng độ nhờ có chất hoạt tải.
Phương án đúng là
A.I,IV. B.II,III.
C.I,III. D. II,IV.
Câu 106: Sự khác nhau cơ bản giữa cơ chế hấp thụ nước với cơ chế hấp thụ ion khoáng ở rễ cây là
A. nước được hấp thụ vào rễ cây theo cơ chế thụ động (cơ chế thẩm thấu) còn các ion khoáng di chuyển từ đất vào tế bào rễ một cách có chọn lọc theo 2 cơ chế: thụ động và chủ động.
B. nước và ion khoáng đều được đưa vào rễ cây theo cơ chế thụ động.
C. nước và các ion khoáng chỉ được đưa vào rễ cây theo cơ chế chủ động và thụ động.
D. nước được hấp thụ vào rễ cây theo cơ chế chủ động và thụ động còn các ion khoáng di chuyển từ đất vào tế bào rễ theo cơ chế thụ động.
Câu 107: Một loài thực vật có bộ nhiễm sắc thể lưỡng bội 2n = 24. Giả sử đột biến làm phát sinh thể một ở tất cả các cặp nhiễm sắc thể. Theo lí thuyết, có tối đa bao nhiêu dạng thể một khác nhau thuộc loài này?
A.25. B.23.
C.24. D.12.
Câu 108: Thoát hơi nước qua lá chủ yếu bằng con đường
A. qua lớp biểu bì.
B. qua lớp cutin.
C. qua mô giậu.
D. qua khí khổng.
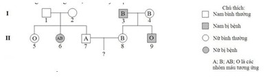
Câu 109: Sự di truyền một bệnh P ở người do 1 trong 2 alen quy định và được thể hiện qua sơ đồ phả hệ dưới đây. Các chữ cái cho biết các nhóm máu tương ứng của mỗi người. Biết rằng sự di truyền bệnh P độc lập với di truyền các nhóm máu, quá trình giảm phân bình thường và không có đột biến xảy ra.

Có bao nhiêu kết luận sau đây là đúng?
(1) Chưa thể xác định được chính xác kiểu gen về bệnh P của 2 người trong phả hệ này.
(2) Có tối đa 4 người mang kiểu gen đồng hợp về nhóm máu.
(3) Xác suất để cặp vợ chồng (7) và (8) ở thế hệ (II) sinh một con trai có nhóm máu A và không bị bệnh P là 1/144
(4) Xác suất để cặp vợ chồng (7) và (8) ở thế hệ (II) sinh một con trai và một con gái đều có
nhóm máu A và bị bệnh P là 1/2592
Số phát biểu đúng là:
A.1 B.2
C.3 D.4
Câu 110: Giả sử lưới thức ăn của một quần xã sinh vật gồm các loài sinh vật được kí hiệu là: A, B, C, D, E, F, G và H. Cho biết loài A và loài C là sinh vật sản xuất, các loài còn lại đều là sinh vật tiêu thụ. Hãy nghiên cứu sơ đồ mô tả các lưới thức ăn dưới đây và cho biết trong các phát biểu sau, có bao nhiêu phát biểu sai?

(1) Lưới thức ăn ở sơ đồ I có số lượng chuỗi thức ăn bằng lưới thức ăn ở sơ đồ III.
(2) Lưới thức ăn ở sơ đồ IV, loài H vừa là sinh vật tiêu thụ bậc 3, vừa là sinh vật tiêu thụ bậc 4.
(3) Lưới thức ăn ở sơ đồ I, II và III, nếu loài C bị tiêu diệt thì loài F cũng bị tiêu diệt.
(4) Loài G của lưới thức ăn ở sơ đồ I và IV đều là mắc xích chung của 4 chuỗi thức ăn khác nhau.
A.1. B.2.
C.3. D.4.
Câu 111: Trong các phát biểu sau, có bao nhiêu phát biểu đúng khi nói đến hậu quả của việc bón với liều lượng cao quá mức cần thiết cho cây?
(1) Gây độc hại đối với cây.
(2) Gây ô nhiễm nông phẩm và môi trường.
(3) Làm cây hấp thu quá nhiều dẫn đến chết.
(4) Dư lượng phân bón khoáng chất sẽ làm xấu lí tính của đất, giết chết các vi sinh vật có lợi.
A.3. B.1.
C.2. D.4.
Câu 112: Khi nói về đột biến gen, trong các phát biểu sau, có bao nhiêu phát biểu đúng?
I. Đột biến thay thế một cặp nuclêôtit luôn dẫn đến kết thúc sớm quá trình dịch mã.
II. Đột biến gen tạo ra các alen mới làm phong phú vốn gen của quần thể.
III. Đột biến điểm là dạng đột biến gen liên quan đến một cặp nuclêôtit.
IV. Đột biến gen có thể gây hại nhưng cũng có thể vô hại hoặc có lợi cho thể đột biến.
A.1. B.2.
C.3. D.4.
Câu 113: Phát biểu khôngđúng khi nói về đặc tính của huyết áp là
A. càng xa tim, huyết áp càng giảm.
B. tim đập nhanh và mạnh làm tăng huyết áp; tim đập chậm, yếu làm huyết áp hạ.
C. sự tăng dần huyết áp là do sự ma sát của máu với thành mạch và giữa các phân tử máu với nhau khi vận chuyển.
D. huyết áp cực đại ứng với lúc tim co, huyết áp cực tiểu ứng với lúc tim dãn.
Câu 114: Khi nói về quá trình nhân đôi ADN ở tế bào nhân thực, phát biểu nào sau đây sai?
A. Trong mỗi chạc hình chữ Y, các mạch mới luôn được tổng hợp theo chiều 3’ → 5’.
B. Các đoạn Okazaki sau khi được tổng hợp xong sẽ được nối lại với nhau nhờ enzim nối ligaza.
C. Trong mỗi chạc hình chữ Y, trên mạch khuôn 5’ → 3’ thì mạch bổ sung được tổng hợp ngắt quãng
tạo nên các đoạn ngắn.
D. Quá trình nhân đôi ADN trong nhân tế bào là cơ sở cho quá trình nhân đôi nhiễm sắc thể.
Câu 115: Hình bên dưới thể hiện cấu trúc của một số loại nuclêôtit cấu tạo nên Axit Nucleic.

Trong số các hình trên, có bao nhiêu hình là đúng?
A.2 B.1
C.4 D.3
Câu 116: Các biện pháp giúp cho quá trình chuyển hoá các muối khoáng ở trong đất từ dạng không tan thành dạng hòa tan dễ hấp thụ đối với cây là
A. làm cỏ, sục bùn phá váng sau khi đất bị ngập úng, cày phơi ải đất, cày lật úp rạ xuống, bón vôi cho đất chua.
B. trồng các loại cỏ dại, chúng sức sống tốt giúp chuyển hóa các muối khoáng khó tan thành dạng ion.
C. bón vôi cho đất kiềm .
D.tháo nước ngập đất, để chúng tan trong nước
Câu 117: Một gen có 1200 cặp nuclêôtit và số nuclêôtit loại G chiếm 20% tổng số nuclêôtit của gen. Mạch 1 của gen có 200 nuclêôtit loại T và số nuclêôtit loại X chiếm 15% tổng số nuclêôtit của mạch. Có bao nhiêu phát biểu sau đây đúng?
I.Mạch 1 của gen có A/G=15/26.
II. Mạch 1 của gen có (T + X)/(A + G) = 19/41.
III. Mạch 2 của gen có A/X=2/3.
IV. Mạch 2 của gen có (A + X)/(T + G) = 5/7.
A.4. B.2.
C.3. D.1.
Câu 118: Trong các phát biểu sau, có bao nhiêu phát biểu đúng khi nói về thể truyền plasmit trong kĩ thuật chuyển gen vào tế bào vi khuẩn?
(1) Thể truyền plasmit giúp gen cần chuyển có thể tạo ra nhiều sản phẩm trong tế bào nhận.
(2) Thể truyền plasmit có khả năng nhân đôi độc lập với ADN ở vùng nhân.
(3) Thể truyền plasmit có vai trò giúp gen cần chuyển gắn được vào ADN vùng nhân của tế bào nhận.
(4) Nhờ có thể truyền plasmit mà gen cần chuyển được nhân lên trong tế bào nhận.
(5) Nhờ thể truyền plasmit mà gen cần chuyển có thể phiên mã và dịch mã.
A.1 B.3
C.4. D.2
Câu 119: Ở mao mạch máu chảy chậm hơn ở động mạch vì
A. tổng tiết diện của mao mạch lớn.
B. số lượng mao mạch lớn hơn.
C. mao mạch thường ởxatim.
D. áp lực co bóp của tim giảm.
Câu 120: Trong các phát biểu dưới đây, phát biểu đúng khi nói về sự phát sinh sự sống trên Trái đất là
A. tế bào nhân sơ được tạo ra ở giai đoạn tiến hóa tiền sinh học.
B. prôtêin được tạo ra ở giai đoạn tiến hóa hóa học.
C. axit nuclêic có khả năng tự nhân đôi đầu tiên là ADN.
D. tế bào sơ khai (tế bào nguyên thủy) là sinh vật đầu tiên.
Lời giải chi tiết
|
81
|
82
|
83
|
84
|
85
|
|
A
|
C
|
D
|
B
|
B
|
|
86
|
87
|
88
|
89
|
90
|
|
B
|
B
|
A
|
D
|
B
|
|
91
|
92
|
93
|
94
|
95
|
|
D
|
A
|
D
|
B
|
C
|
|
96
|
97
|
98
|
99
|
100
|
|
C
|
B
|
A
|
D
|
A
|
|
101
|
102
|
103
|
104
|
105
|
|
B
|
D
|
C
|
B
|
C
|
|
106
|
107
|
108
|
109
|
110
|
|
A
|
D
|
D
|
A
|
D
|
|
111
|
112
|
113
|
114
|
115
|
|
A
|
C
|
C
|
C
|
D
|
|
116
|
117
|
118
|
119
|
120
|
|
A
|
C
|
C
|
A
|
B
|
Xem thêm: Lời giải chi tiết Đề thi thử THPT Quốc gia môn Sinh học tại Tuyensinh247.com
Webgiaibaitap.com