Câu hỏi 1 :
Quá trình biến đổi năng lượng Mặt Trời thành năng lượng hóa học trong hệ sinh thái nhờ vào nhóm sinh vật nào?
- A Sinh vật sản xuất.
- B Sinh vật tiêu thụ bậc 1.
- C Sinh vật tiêu thụ bậc 2.
- D Sinh vật phân giải.
Đáp án: A
Phương pháp giải:
Lý thuyết về các thành phần cấu trúc của hệ sinh thái.
Lời giải chi tiết:
Sinh vật sản xuất là sinh vật có khả năng sử dụng năng lượng mặt trời để tổng hợp nên các chất hữu cơ, gồm thực vật là chủ yếu và một số vi sinh vật tự dưỡng.
Đáp án – Lời giải
Câu hỏi 2 :
Bên cạnh những tác động của ngoại cảnh, sự cạnh tranh gay gắt giữa các loài trong quần xã là nhân tố sinh thái quan trọng làm biến đổi quần xã sinh vật gây ra diễn thế sinh thái. Nhóm loài sinh vật đóng vai trò quan trọng nhất trong diễn thế là
- A nhóm loài đặc trưng.
- B nhóm loài ưu thế.
- C nhóm loài ngẫu nhiên.
- D nhóm loài thứ yếu.
Đáp án: B
Phương pháp giải:
Lý thuyết về nguyên nhân của diễn thế sinh thái.
Lời giải chi tiết:
Bên cạnh những tác động của ngoại cảnh, sự cạnh tranh gay gắt giữa các loài trong quần xã là nhân tố sinh thái quan trọng làm biến đổi quần xã sinh vật gây ra diễn thế sinh thái. Trong số các loài sinh vật, nhóm loài ưu thế đóng vai trò quan trọng nhất.
Đáp án – Lời giải
Câu hỏi 3 :
Trong quá trình phát sinh và phát triển sự sống trên Trái Đất, hóa thạch nhân sơ cổ nhất có ở đại nào sau đây?
- A Đại Thái cổ.
- B Đại Cổ sinh.
- C Đại Trung sinh.
- D Đại Nguyên sinh.
Đáp án: A
Phương pháp giải:
Lý thuyết lịch sử phát triển của sinh giới qua các đại địa chất.
Lời giải chi tiết:
Hóa thạch sinh vật nhân sơ cổ nhất có ở đại Thái cổ.
Đáp án – Lời giải
Câu hỏi 4 :
Biện pháp nào sau đây không có tác dụng bảo vệ tài nguyên rừng
- A vận động đồng bào dân tộc sống trong rừng định canh, định cư.
- B xây dựng hệ thống các khu bảo vệ thiên nhiên.
- C chống xói mòn, khô hạn, ngập úng và chống mặn cho đất.
- D ngăn chặn thực hiện nạn phá rừng, tích cực trồng rừng.
Đáp án: C
Phương pháp giải:
Lý thuyết về quản lí và sử dụng bền vững tài nguyên thiên nhiên.
Lời giải chi tiết:
Chiến lược khôi phục và bảo vệ rừng tập trung vào những vấn đề chính:
– ngăn chặn nạn phá rừng, tích cực trồng rừng.
– vận động đồng bào dân tộc sống trong rừng định canh, định cư, tránh đốt rừng làm rẫy.
– xây dựng hệ thống các khu bảo vệ thiên nhiên, góp phần bảo vệ đa dạng sinh học, hạn chế thay đổi khí hậu, chống xói mòn, hạn hán, lũ lụt, …
Đáp án – Lời giải
Câu hỏi 5 :
Loài ưu thế là loài có vai trò quan trọng trong quần xã do
- A số lượng cá thể nhiều, sinh khối lớn hoặc do hoạt động mạnh.
- B số lượng cá thể nhiều.
- C sức sống mạnh, sinh khối lớn, hoạt động mạnh.
- D có khả năng tiêu diệt các loài khác.
Đáp án: A
Phương pháp giải:
Lý thuyết về thành phần loài trong quần xã.
Lời giải chi tiết:
Loài ưu thế là loài có vai trò quan trọng trong quần xã do số lượng cá thể nhiều, sinh khối lớn hoặc do hoạt động mạnh.
Đáp án – Lời giải
Câu hỏi 6 :
Những dạng nitơ được đa số thực vật hấp thụ nhiều và dễ nhất là
- A muối amôn và nitrat.
- B nitrat và muối nitrit.
- C nitơ hữu cơ và nitơ vô cơ.
- D muối amôn và muối nitrit.
Đáp án: A
Phương pháp giải:
Lý thuyết về chu trình sinh địa hóa nitơ.
Lời giải chi tiết:
Thực vật hấp thụ nitơ dưới dạng muối NO3– và NH4+.
Đáp án – Lời giải
Câu hỏi 7 :
Các đặc trưng cơ bản của quần xã là
- A thành phần loài, sức sinh sản và sự tử vong.
- B thành phần loài, sự phân bố các cá thể trong quần xã, quan hệ dinh dưỡng của các nhóm loài.
- C độ phong phú, sự phân bố các cá thể trong quần xã.
- D thành phần loài, tỉ lệ nhóm tuổi, mật độ.
Đáp án: B
Phương pháp giải:
Lý thuyết về một số đặc trưng cơ bản của quần xã sinh vật.
Lời giải chi tiết:
Các đặc trưng cơ bản của quần xã là thành phần loài, sự phân bố các cá thể trong quần xã, quan hệ dinh dưỡng của các nhóm loài.
Đáp án – Lời giải
Câu hỏi 8 :
Giả sử một chuỗi thức ăn trong quần xã sinh vật được mô tả bằng sơ đồ sau: Cỏ → Sâu → Gà → Cáo → Hổ. trong chuỗi thức ăn này, sinh vật tiêu thụ bậc 3 là
- A hổ.
- B cáo.
- C gà.
- D thỏ.
Đáp án: B
Phương pháp giải:
Lý thuyết về chuỗi thức ăn.
Lời giải chi tiết:
Cỏ là sinh vật sản xuất, sâu ăn cỏ nên sâu là sinh vật tiêu thụ bậc 1. Sinh vật tiêu thụ bậc 3 là cáo.
Đáp án – Lời giải
Câu hỏi 9 :
Nguồn năng lượng cung cấp cho các hệ sinh thái trên Trái đất là:
- A năng lượng nhiệt.
- B năng lượng điện.
- C năng lượng gió.
- D năng lượng mặt trời.
Đáp án: D
Phương pháp giải:
Lý thuyết về dòng năng lượng trong hệ sinh thái.
Lời giải chi tiết:
Trong hệ sinh thái, quá trình đồng hóa sử dụng năng lượng mặt trời tổng hợp các chất hữu cơ do các sinh vật tự dưỡng. Mặt trời cung cấp năng lượng chủ yếu cho sự sống trên Trái đất.
Đáp án – Lời giải
Câu hỏi 10 :
Đặc điểm của các mối quan hệ hỗ trợ giữa các loài trong quần xã là
- A tất cả các loài đều bị hại.
- B ít nhát có một loài bị hại.
- C các loài đều có lợi hoặc ít nhất không bị hại.
- D không có loài nào có lợi.
Đáp án: C
Phương pháp giải:
Lý thuyết về quan hệ giữa các loài trong quần xã sinh vật.
Lời giải chi tiết:
Trong quan hệ hỗ trợ, các loài đều có lợi hoặc ít nhất không bị hại.
Đáp án – Lời giải
Câu hỏi 11 :
Trong chu trình cacbon, điều nào dưới đây là không đúng
- A cacbon đi vào chu trình dưới dạng cacbonđiôxit.
- B động vật ăn cỏ sử dụng thực vật làm thức ăn chuyển các hợp chất chứa cacbon cho động vật ăn thịt.
- C phần lớn CO2 lắng đọng , không hoàn trả vào chu trình.
- D thông qua quang hợp, thực vật lấy CO2 để tạo ra chất hữu cơ.
Đáp án: C
Phương pháp giải:
Lý thuyết về chu trình sinh địa hóa cacbon.
Lời giải chi tiết:
Chỉ một phần nhỏ cacbon lắng đọng, không hoàn trả vào chu trình. Do đó phát biểu C sai.
Đáp án – Lời giải
Câu hỏi 12 :
Các kiểu hệ sinh thái trên Trái Đất được phân chia theo nguồn gốc bao gồm
- A hệ sinh thái nước mặn và hệ sinh thái trên cạn.
- B hệ sinh thái tự nhiên và hệ sinh thái nhân tạo.
- C hệ sinh thái trên cạn và hệ sinh thái dưới nước.
- D hệ sinh thái nước mặn và hệ sinh thái nước ngọt.
Đáp án: B
Phương pháp giải:
Lý thuyết về các kiểu hệ sinh thái trên Trái đất .
Lời giải chi tiết:
Các kiểu hệ sinh thái trên Trái Đất được phân chia theo nguồn gốc bao gồm hệ sinh thái tự nhiên và hệ sinh thái nhân tạo.
Đáp án – Lời giải
Câu hỏi 13 :
Tập hợp sinh vật nào sau đây là quần thể sinh vật
- A Tập hợp chim đang sinh sống trong rừng Amazôn.
- B Tập hợp cá chép đang sinh sống ở Hồ Tây.
- C Tập hợp bướm đang sinh sống trong rừng Cúc Phương.
- D Tập hợp cây cỏ đang sinh sống trên một cánh đồng cỏ.
Đáp án: B
Phương pháp giải:
Khái niệm về quần thể sinh vật.
Lời giải chi tiết:
Quần thể sinh vật là tập hợp các cá thể trong cùng một loài, cùng sinh sống trong một khoảng không gian xác định, vào một thời gian nhất định, có khả năng sinh sản và tạo thành những thế hệ mới.
A, C, D đều là những tập hợp các cá thể của nhiều loài khác nhau nên không phải quần thể.
Đáp án – Lời giải
Câu hỏi 14 :
Diễn thế nguyên sinh là
- A quá trình hình thành một quần xã sinh vật mới.
- B diễn thế khởi đầu từ môi trường chưa có sinh vật và kết quả hình thành quần xã tương đối ổn định.
- C quá trình biến đổi tuần tự của quần xã qua các giai đoạn tương ứng với sự biến đổi của môi trường.
- D diễn thế xuất hiện ở môi trường đã có một quần xã sinh vật phát triển, nhưng bị hủy diệt, kết quả có thể hình thành nên quần xã tương đối ổn định hoặc dẫn tới quần xã bị suy thoái.
Đáp án: B
Phương pháp giải:
Lý thuyết về các loại diễn thế sinh thái.
Lời giải chi tiết:
Diễn thế nguyên sinh là diễn thế khởi đầu từ môi trường chưa có sinh vật và kết quả hình thành quần xã tương đối ổn định.
Đáp án – Lời giải
Câu hỏi 15 :
Lưới thức ăn và bậc dinh dưỡng được xây dựng nhằm
- A mô tả quan hệ dinh dưỡng giữa các loài trong quần thể.
- B mô tả quan hệ dinh dưỡng và nơi ở giữa các loài trong quần xã.
- C mô tả quan hệ dinh dưỡng giữa các sinh vật cùng loài trong quần xã.
- D mô tả quan hệ dinh dưỡng giữa các loài trong quần xã.
Đáp án: D
Phương pháp giải:
Lý thuyết về lưới thức ăn.
Lời giải chi tiết:
Lưới thức ăn và bậc dinh dưỡng được xây dựng nhằm mô tả quan hệ dinh dưỡng giữa các loài trong quần xã..
Đáp án – Lời giải
Câu hỏi 16 :
Khi điều kiện môi trường sống phân bố không đồng đều và các cá thể trong quần thể có tập tính sống thành bầy, đàn thì kiểu phân bố của các cá thể trong quần thể này là
- A phân bố theo nhóm.
- B phân bố đồng đều.
- C không xác định được kiểu phân bố.
- D phân bố ngẫu nhiên.
Đáp án: A
Phương pháp giải:
Lý thuyết về sự phấn bố các cá thể của quần thể.
Lời giải chi tiết:
Phân bố theo nhóm thường gặp khi điều kiện sống phân bố không đồng đều trong môi trường, các cá thể sống thành bầy đàn, tập trung theo từng nhóm ở những nơi có điều kiện sống tốt nhất.
Đáp án – Lời giải
Câu hỏi 17 :
Các loại nhân tố sinh thái gồm
- A nhân tố vô sinh, nhân tố hữu sinh.
- B nhân tố vô sinh, nhân tố hữu sinh, nhân tố sinh vật.
- C nhân tố vô sinh, nhân tố hữu sinh, nhân tố ngoại cảnh.
- D nhân tố vô sinh, nhân tố hữu sinh, nhân tố con người.
Đáp án: A
Phương pháp giải:
Lý thuyết về môi trường sống và các nhân tố sinh thái.
Lời giải chi tiết:
Nhân tố sinh thái được chia thành 2 nhóm: Nhóm nhân tố sinh thái vô sinh (tất cả các nhân tố vật lí, hóa học của môi trường quanh sinh vật) và nhóm nhân tố sinh thái hữu sinh (thế giới hữu cơ của môi trường, mối quan hệ giữa các sinh vật với nhau và với môi trường sống).
Đáp án – Lời giải
Câu hỏi 18 :
Phát biểu nào sau đây sai khi nói về diễn thể sinh thái?
- A Một trong những nguyên nhân gây diễn thế sinh thái là sự tác động mạnh mẽ của ngoại cảnh lên quần xã.
- B Diễn thế nguyên sinh khởi đầu từ môi trường trống trơn.
- C Diễn thế sinh thái luôn dẫn đến một quần xã ổn định.
- D Trong diễn thế sinh thái, có sự thay thế tuần tự của các quần xã tương ứng với điều kiện ngoại cảnh.
Đáp án: C
Phương pháp giải:
Lý thuyết về diễn thế sinh thái.
Lời giải chi tiết:
Hoạt động khai thác tài nguyên làm biến đổi môi trường và với những quần xã có khả năng phục hồi thấp thì sẽ hình thành quần xã suy thoái. Do đó phát biểu C sai.
Đáp án – Lời giải
Câu hỏi 19 :
Năng lượng được chuyển cho bậc dinh dưỡng sau từ bậc dinh dưỡng trước nó khoảng bao nhiêu %?
- A 90%.
- B 70%.
- C 50%.
- D 10%.
Đáp án: D
Phương pháp giải:
Lý thuyết về hiệu suất sinh thái.
Lời giải chi tiết:
Ở mỗi bậc dinh dưỡng, phần lớn năng lượng bị tiêu hao qua hô hấp, chất thải, bộ phận rơi rụng nên năng lượng trtuyền lên bậc dinh dưỡng cao hơn chỉ khoảng 10%.
Đáp án – Lời giải
Câu hỏi 20 :
Hiện tượng nào sau đây là biểu hiện của mối quan hệ hỗ trợ cùng loài?
- A Cá mập con khi mới nở, sử dụng trứng chưa nở làm thức ăn.
- B Động vật cùng loài ăn thịt lẫn nhau.
- C Các cây thông mọc gần nhau, có rễ nối liền nhau.
- D Tỉa thưa tự nhiên ở thực vật.
Đáp án: C
Phương pháp giải:
Lý thuyết về quan hệ giữa các cá thể trong quần thể.
Lời giải chi tiết:
Các cây thông liền rễ sinh trưởng nhanh hơn và có khả năng chống chịu hạn tốt hơn cây riêng rẽ.
Đáp án – Lời giải
Câu hỏi 21 :
Sự phân bố cá thể trong không gian của quần xã có ý nghĩa
- A Nâng cao hiệu quả sử dụng nguồn sống.
- B Bảo vệ các loài động vật.
- C Giảm sự cạnh tranh, nâng cao hiệu quả sử dụng nguồn sống.
- D Giảm sự cạnh tranh.
Đáp án: C
Phương pháp giải:
Lý thuyết về đặc trưng sự phân bố cá thể trong không gian của quần xã.
Lời giải chi tiết:
Sự phân bố cá thể trong không gian của quần xã có ý nghĩa giảm sự cạnh tranh giữa các loài, nâng cao hiệu quả sử dụng nguồn sống.
Đáp án – Lời giải
Câu hỏi 22 :
Kiểu biến động số lượng cá thể của quần thể nào sau đây là kiểu biến động theo chu kì?
- A Số lượng cá thể của quần thể tràm ở rừng U Minh giảm sau khi cháy rừng.
- B Số lượng cá thể của quần thể thông ở Côn Sơn giảm sau khi khai thác.
- C Số lượng cá thể của quần thể cá chép ở Hồ Tây giảm sau khi thu hoạch.
- D Số lượng cá thể của quần thể ếch đồng ở miền Bắc Việt Nam tăng nhanh vào mùa hè và giảm vào mùa đông.
Đáp án: D
Phương pháp giải:
Lý thuyết về biến động số lượng cá thể của quần thể sinh vật.
Lời giải chi tiết:
Biến động số lượng cá thể của quần thể theo chu kì là biến động xảy ra do những thay đổi có chu kì của điều kiện môi trường. Số lượng cá thể của quần thể ếch đồng ở miền Bắc Việt Nam tăng nhanh vào mùa hè và giảm vào mùa đông là hiện tượng biến động số lượng cá thể theo chu kì mùa.
Đáp án – Lời giải
Câu hỏi 23 :
Thành phần hữu sinh của một hệ sinh thái bao gồm:
- A sinh vật sản xuất, sinh vật ăn động vật, sinh vật phân giải.
- B sinh vật sản xuất, sinh vật tiêu thụ, sinh vật phân giải.
- C sinh vật ăn thực vật, sinh vật ăn động vật, sinh vật phân giải.
- D sinh vật sản xuất, sinh vật ăn thực vật, sinh vật phân giải.
Đáp án: B
Phương pháp giải:
Lý thuyết các thành phần cấu trúc của hệ sinh thái.
Lời giải chi tiết:
Thành phần hữu sinh cuae hệ sinh thái gồm nhiều loài sinh vật của quần xã, tùy theo hình thức dinh dưỡng được chia thành 3 nhóm: sinh vật sản xuất, sinh vật tiêu thụ, sinh vật phân giải.
Đáp án – Lời giải
Câu hỏi 24 :
Trong quần thể, mối quan hệ nào sau đây giúp đảm bảo cho quần thể tồn tại ổn định, khai thác tối ưu nguồn sống của môi trường, làm tăng khả năng sống sót và sinh sản của các cá thể?
- A Quan hệ cộng sinh.
- B Quan hệ cạnh tranh.
- C Quan hệ hợp tác.
- D Quan hệ hỗ trợ giữa các cá thể.
Đáp án: D
Phương pháp giải:
Lý thuyết quan hệ giữa các cá thể trong quần thể.
Lời giải chi tiết:
Trong quần thể, mối quan hệ hỗ trợ giữa các cá thể giúp đảm bảo cho quần thể tồn tại ổn định, khai thác tối ưu nguồn sống của môi trường, làm tăng khả năng sống sót và sinh sản của các cá thể.
Đáp án – Lời giải
Câu hỏi 25 :
Hệ sinh thái là gì?
- A bao gồm quần xã sinh vật và môi trường vô sinh của quần xã.
- B bao gồm quần xã sinh vật và môi trường hữu sinh của quần xã.
- C bao gồm quần thể sinh vật và môi trường vô sinh của quần xã.
- D bao gồm quần thể sinh vật và môi trường hữu sinh của quần xã.
Đáp án: A
Phương pháp giải:
Lý thuyết về thành phần cấu trúc hệ sinh thái.
Lời giải chi tiết:
Hệ sinh thái bao gồm quần xã sinh vật và sinh cảnh (môi trường vô sinh của quần xã).
Đáp án – Lời giải
Câu hỏi 26 :
Ý nghĩa sinh thái của quan hệ cạnh tranh trong quần thể
- A tăng mật độ cá thể của quần thể, khai thác tối đa nguồn sống của môi trường.
- B giảm số lượng cá thể của quần thể đảm bảo cho số lượng cá thể của quần thể tương ứng với khả năng cung cấp nguồn sống của môi trường.
- C tăng số lượng cá thể của quần thể, tăng cường hiệu quả nhóm.
- D suy thoái quần thể do các cá thể cùng loài tiêu diệt lẫn nhau.
Đáp án: B
Phương pháp giải:
Lý thuyết quan hệ giữa các cá thể trong quần thể sinh vật.
Lời giải chi tiết:
Quan hệ cạnh tranh trong quần thể làm giảm số lượng cá thể của quần thể đảm bảo cho số lượng cá thể của quần thể tương ứng với khả năng cung cấp nguồn sống của môi trường.
Đáp án – Lời giải
Câu hỏi 27 :
Các cây tràm ở rừng U Minh là
- A ngẫu nhiên.
- B loài ưu thế.
- C loài đặc trưng.
- D loài chủ chốt.
Đáp án: C
Phương pháp giải:
Lý thuyết đặc trưng thành phần loài của quần xã sinh vật.
Lời giải chi tiết:
Loài đặc trưng là loài chỉ có ở một quần xã nào đó hoặc số lượng nhiều hơn hẳn các loài khác và có vai trò quan trọng trong quần xã so với các loài khác. Ví dụ cây tràm là đặc trưng của quần xã rừng U Minh.
Đáp án – Lời giải
Câu hỏi 28 :
Trong quá trình phát sinh và phát triển sự sống trên Trái đất, ở kỉ nào sau đây xảy ra sự phát sinh thú và chim?
- A Kỉ Triat của đại Trung sinh
- B Kỉ Jura của đại Trung sinh.
- C Kỉ Cacbon của đại Cổ sinh.
- D Kỉ Pecmi của đại Cổ sinh.
Đáp án: A
Phương pháp giải:
Lý thuyết về lịch sử phát triển của sinh giới qua các đại địa chất.
Lời giải chi tiết:
Phát sinh thú và chim ở kỉ Triat của đại Trung sinh.
Đáp án – Lời giải
Câu hỏi 29 :
Xác định mối quan hệ sinh thái trong các ví dụ minh họa sau đây
a. Vào mùa sinh sản, các con cái trong quần thể cò tranh giành nhau nơi thuận lợi để làm tổ.
b. Giun đũa sống trong ruột lợn.
c. Tảo giáp nở hoa gây độc cho tôm, cá trong cùng một môi trường.
d. Cây lúa và cỏ dại sống trong một ruộng lúa.
e. Bồ nông xếp thành hàng đi kiếm ăn bắt được nhiều cá hơn bồ nông đi kiếm ăn riêng rẽ.
f. Các con hươu đực tranh giành con cái trong mùa sinh sản.
g. Cây phong lan bám trên thân cây gỗ trong rừng.
Phương pháp giải:
Lý thuyết về các mối quan hệ giứa các loài trong quần xã sinh vật.
Lời giải chi tiết:
Các mối quan hệ sinh thái trong từng ví dụ là:
a. Cạnh tranh cùng loài.
b. Kí sinh.
c. Ức chế cảm nhiễm.
d. Cạnh tranh khác loài.
e. Hỗ trợ cùng loài.
f. Cạnh tranh cùng loài.
g. Hội sinh.
Đáp án – Lời giải
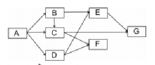
Câu hỏi 30 :
Giải sử lưới thức ăn của một quần xã sinh vật (theo hình vẽ) gồm các loài sinh vật được kí hiệu là: A, B, C, D, E, F và G. Cho biết A là sinh vật sản xuất, các loài còn lại đều là sinh vật tiêu thụ. Theo lý thuyết, hãy xác định

a. Lưới thức ăn này có tối đa bao nhiêu chuỗi thức ăn?
b. Có tối đa bao nhiêu loài thuộc bậc dinh dưỡng cấp 3, đó là loài nào?
c. Có tối đa bao nhiêu loài thuộc sinh vật tiêu thụ bậc 2, đó là loài nào?
Phương pháp giải:
Lý thuyết về lưới thức ăn trong quần xã sinh vật.
Lời giải chi tiết:
a. Lưới thức ăn có tối đa 7 chuỗi.
A → B → E → G
A → B → C → G
A → B → C → F
A → C → G
A → C → F
A → D → F
A → D → E → G
b. Có tối đa 4 loài thuộc bậc dinh dưỡng cấp 3 là: E, C, G, F.
c. Có tối đa 4 loài thuộc bậc tiêu thụ bậc 2 là: E, C, G, F.
Đáp án – Lời giải