3. Bài 17. Aren (Hydrocarbon thơm)

Làm thế nào có thể lựa chọn và sử dụng các sản phẩm được sản xuất từ arene và dẫn xuất của nó an toàn, thân thiện với môi trường?

Lựa chọn câu để xem lời giải nhanh hơn

 

 

CH tr 102 MĐ

Video hướng dẫn giải

Làm thế nào có thể lựa chọn và sử dụng các sản phẩm được sản xuất từ arene và dẫn xuất của nó an toàn, thân thiện với môi trường?

 

Lời giải chi tiết:

Cần phải có hiểu biết về arene để có thể lựa chọn và sử dụng các sản phẩm được sản xuất từ arene và dẫn xuất của nó an toàn, thân thiện với môi trường.

 

CH tr 104 CH

Video hướng dẫn giải

Hãy so sánh nhiệt độ sôi của benzene, toluene, o-xylene (Bảng 17.1) và giải thích.

 

Phương pháp giải:

Nhiệt độ sôi benzene < toluene < o-xylene.

 

Lời giải chi tiết:

Nhiệt độ sôi benzene < toluene < o-xylene. Nguyên nhân do phân tử khối benzene < toluene < o-xylene (khối lượng phân tử càng lớn thì nhiệt độ sôi càng cao).

 

CH tr 105 HĐ

Video hướng dẫn giải

Phản ứng nitro hoá benzene được thực hiện như sau:

– Cho con từ vào bình cầu dung tích 250 mL, thêm khoảng 30 mL H2SO4 đặc, làm lạnh trong chậu nước đá rồi thêm từ từ vào khoàng 30 mL HNO3, sau đó thêm tiếp khoảng 10 mL benzene và lắp sinh hàn hồi lưu. Đun cách thuỷ hỗn hợp phàn ứng trên bếp từ đến 80°C trong khoàng 60 phút (Hình 17.2).

 – Để nguội rồi cho hồn hợp vào phếu chiết, quan sát thấy chất lỏng tách thành hai lớp, lớp trên là sản phấm phản ứng, lớp dưới là dung dịch hỗn hợp hai acid. – Chiết lấy lớp chất lòng phía trên, thêm khoảng 100 mL nước lạnh vào phễu chiết để rừa acid, thu được chất lòng màu vàng, nặng hơn nước và năm ở phần dưới của phễu chiết.

Hãy cho biết chất lỏng màu vàng là chất gì và giải thích.

 

Phương pháp giải:

Chất lỏng màu vàng là nitrobenzene.

 

 

Lời giải chi tiết:

Chất lỏng màu vàng là nitrobenzene.

Giải thích: Benzene được nitro hóa tạo thành nitrobenzene.

 

CH tr 105 CH

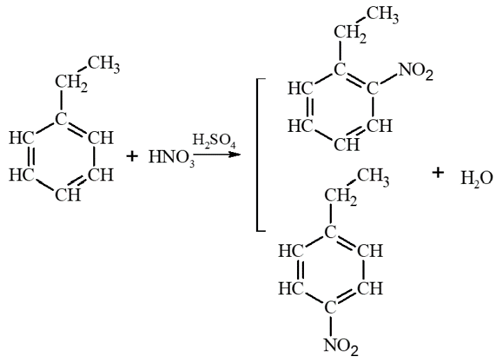
Viết phương trình phản ứng của ethylbenzene với các tác nhân sau:

a) Br2/FeBr3, to;

b) HNO3 đặc/H2SO4 đặc.

 

Phương pháp giải:

a) C6H5C2H5 + Br2 → C6H5C2H4Br + HBr

b) C6H5C2H+ HNO3 → C6H4NO2C2H5 + H2O

 

Lời giải chi tiết:

a) C6H5C2H5 + Br2 → C6H5C2H4Br + HBr

b) C6H5C2H+ HNO3 → C6H4NO2C2H5 + H2O

Cụ thể:

 

CH tr 106 HĐ

Video hướng dẫn giải

Nghiên cứu phản ứng cộng chlorine vào benzene

Phản ứng cộng chlorine vào benzene được tiến hành như sau:

Dẫn một lượng nhỏ khí chlorine vào bình nón chứa một ít benzene, đậy kín lại rồi đưa bình ra ngoài ánh nắng. Trong bình xuất hiện khói trắng và trên thành bình thấy xuất hiện một lớp bột màu trắng.

Hãy cho biết lớp bột màu trắng trên thành bình là chất gì. Giải thích.

 

Phương pháp giải:

Lớp bột màu trắng trên thành bình là C6H6Cl6

 

Lời giải chi tiết:

Lớp bột màu trắng trên thành bình là C6H6Cl6

C6H6 + 3Cl2 →  C6H6Cl6

 

CH tr 106 CH1

Viết phương trình hoá học của phản ứng xảy ra khi hydrogen hoá hoàn toàn toluene và p-xylene, sử dụng xúc tác nickel.

 

Phương pháp giải:

2C6H5CH3 + 7H2 → 2C6H12CH3

2C6H4(CH3)2 + 7H2 → 2C6H11(CH3)2

 

Lời giải chi tiết:

2C6H5CH3 + 7H2 → 2C6H12CH3

2C6H4(CH3)2 + 7H2 → 2C6H11(CH3)2

 

CH tr 106 CH2

Hydrogen hoá hoàn toàn arene X (công thức phân tử C8H10) có xúc tác nickel thu được sản phẩm là ethylcyclohexane.

 

Phương pháp giải:

X là Ethylbenzene

 

Lời giải chi tiết:

X là Ethylbenzene.

 

CH tr 107 HĐ

Video hướng dẫn giải

Nghiên cứu phản ứng oxi hoá toluene và benzene bằng dung dịch KMnO4

– Cho vào hai ống nghiệm, mỗi ống 1 mL dung dịch KMnO4 0,05 M và 1 mL dung dịch H2SO4 2M.

– Cho tiếp vào ống (1) 1 mL benzene, ống nghiệm (2) 1 mL toluene. Lắc đều và đậy cả hai ống nghiệm bằng nút có ống thủy tinh thẳng.

– Đun cách thủy hai ống nghiệm trong nồi nước nóng. Ống nghiệm (2) màu tím nhạt dần và mất màu, ống nghiệm (1) vẫn giữ nguyên màu tím.

Nhận xét khả năng phản ứng của benzene và toluene với KMnO4. Giải thích.

 

Phương pháp giải:

Ống nghiệm (1) vẫn giữ nguyên màu tím → benzene không phản ứng với KMnO4.

Ống nghiệm (2) màu tím nhạt dần và mất màu → toluene phản ứng với KMnO4.

 

Lời giải chi tiết:

Ống nghiệm (1) vẫn giữ nguyên màu tím → benzene không phản ứng với KMnO4.

Ống nghiệm (2) màu tím nhạt dần và mất màu → toluene phản ứng với KMnO4.

C6H5CH3 + 2KMnO4 → C6H5COOK+ 2MnO2 + H2O + KOH 

 

CH tr 107 CH

Terephthalic acid là nguyên liệu để tổng hợp nhựa poly(ethylene terephtalate) (PET) dùng để sản xuất tơ sợi, chai nhựa. Terephthalic acid có thể được tổng hợp từ arene X có công thức phân tử C8H10, bằng cách oxi hoá X bởi dung dịch thuốc tím:

Hãy xác định công thức cấu tạo của X.

 

Phương pháp giải:

Terephthalic acid là sản phẩm của phản ứng oxi hóa X => các nhóm – COOH của teraphthalic ban đầu là – CH3.

 

Lời giải chi tiết:

X là p-xylene.

 

TẢI APP ĐỂ XEM OFFLINE