1. Bài 19. Dẫn xuất halogen

Nhiều dẫn xuất halogen được sử dụng làm thuốc chữa bệnh, thuốc bảo vệ thực vật, chất làm lạnh,… Vậy dẫn xuất halogen là gì?

Lựa chọn câu để xem lời giải nhanh hơn

CH tr 112 MĐ

Video hướng dẫn giải

Nhiều dẫn xuất halogen được sử dụng làm thuốc chữa bệnh, thuốc bảo vệ thực vật, chất làm lạnh,… Vậy dẫn xuất halogen là gì?

 

Lời giải chi tiết:

Khi thay thế nguyên tử hydrogen trong  phân tử hydrocarbon bằng nguyên tử halogen được dẫn xuất halogen của hydrocarbon.

 

CH tr 113 CH1

Video hướng dẫn giải

Viết các đồng phân cấu tạo của dẫn xuất halogen có công thức phân tử C4H9Cl và gọi tên theo danh pháp thay thế.

 

Lời giải chi tiết:

 

CH tr 113 CH2

Gọi tên theo danh pháp thay thế các dẫn xuất halogen sau đây:

a) CH3CH2Br;

b) CH3CH(I)CH3;

c) CH2=CHCl;

d) C6H5F

 

Phương pháp giải:

a) Bromoethane.

b) 2-iodopropane.

c) Chloroethene.

d) Fluorobenzene.

 

Lời giải chi tiết:

a) Bromoethane.

b) 2-iodopropane.

c) Chloroethene.

d) Fluorobenzene.

 

CH tr 114 CH

Video hướng dẫn giải

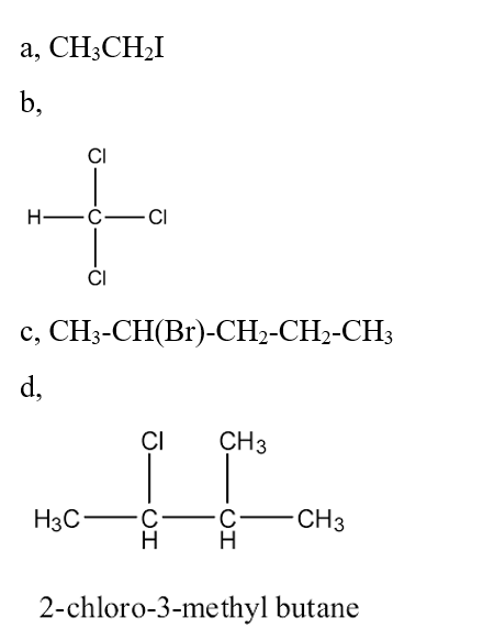
Viết công thức cấu tạo các dẫn xuất halogen có tên gọi sau đây:

a) iodoethane;

b) trichloromethane;

c) 2-bromopentane;

d) 2-chloro-3-methylbutane.

 

Phương pháp giải:

Dựa vào công thức gọi tên của dẫn xuất halogen

Lời giải chi tiết:

 

CH tr 114 HĐ1

Cho biết năng lượng liên kết giảm dần theo thứ tự từ fluorine đến iodine:

 Từ giá trị năng lượng liên kết C−X ở trên, hãy so sánh khả năng phân cắt liên kết C−X của các dẫn xuất halogen.

 

Phương pháp giải:

Năng lượng liên kết càng lớn thì khả năng phân cắt càng nhỏ.

 

Lời giải chi tiết:

Khả năng phân cắt liên kết C−X của các dẫn xuất halogen: C-F < C-Cl < C-Br < C-I.

 

CH tr 114 HĐ

Nghiên cứu phản ứng thủy phân bromoethane

Trả lời câu hỏi và thực hiện yêu cầu sau:

1. Tại sao ban đầu hỗn hợp lại tách thành hai lớp, bromoethane nằm ở lớp nào?

2. Kết tủa xuất hiện ở ống nghiệm (2) sau khi thêm dung dịch AgNO3 vào là chất gì? Tại sao cần phải trung hoà dung dịch base dư trước khi cho dung dịch AgNO3 1% vào ống nghiệm (2)?

3. Dự đoán sản phẩm và viết phương trình hoá học của các phản ứng xảy ra trong quá trình thí nghiệm.

 

Phương pháp giải:

1. Bromoethane không phản ứng với nước ở điều kiện thường.

2. Sản phẩm AgBr có thể phản ứng với base dư.

3. Sản phẩm kết tủa AgBr, CH3CH2NO3

 

Lời giải chi tiết:

1. Ban đầu hỗn hợp lại tách thành hai lớp vì bromoethane không phản ứng với nước ở điều kiện thường, bromoethane nằm ở lớp dưới.

2. Kết tủa xuất hiện ở ống nghiệm (2) sau khi thêm dung dịch AgNO3 vào là chất AgBr. Cần phải trung hoà dung dịch base dư trước khi cho dung dịch AgNO3 1% vào ống nghiệm (2) để tránh phản ứng giữa sản phẩm AgBr và NaOH.

3. Sản phẩm kết tủa AgBr, CH3CH2NO3

CH3CH2Br + AgNO3 → CH3CH2NO3 + AgBr

 

CH tr 115 CH

Video hướng dẫn giải

Benzyl alcohol là một hợp chất có tác dụng kháng khuẩn, chống vi sinh vật kí sinh trên da (chấy, rận,…) nên được sử dụng rộng rãi trong mĩ phẩm, dược phẩm. Benzyl alcohol thu được khi thuỷ phân benzyl chloride trong môi trường kiềm. Hãy xác định công thức của benzyl alcohol.

 

Phương pháp giải:

Khi các dẫn xuất halogen tham gia phản ứng với dung dịch kiềm, nguyên tử halogen bị thay thế bởi nhóm – OH tạo thành alcohol. 

 

Lời giải chi tiết:

Công thức của benzyl alcohol:

 

CH tr 116 CH1

Video hướng dẫn giải

Viết phương trình hóa học xảy ra khi đun nóng 2-chloropropane (CH3CHClCH3) với sodium hydroxide trong ethanol.

 

Phương pháp giải:

Các dẫn xuất monohalogen của alkane có thể bị tách hydrogen halide tạo thành alkene. 

 

Lời giải chi tiết:

Phương trình hóa học xảy ra khi đun nóng 2-chloropropane (CH3CHClCH3) với sodium hydroxide trong ethanol:

 

 

CH tr 116 CH2

Thực hiện phản ứng tách hydrogen bromide của hợp chất 2-bromo-2-methylbutane thu được những alkane nào? Xác định sản phẩm chính của phản ứng.

 

Phương pháp giải:

Trong phản ứng tách hydrogen halide, nguyên tử halogen bị tách ưu tiên cùng với nguyên tử hydrogen ở carbon bên cạnh có bậc cao hơn.

 

Lời giải chi tiết:

 

CH tr 117 HĐ

Video hướng dẫn giải

1. Sưu tầm tranh, ảnh, tài liệu minh hoạ cho các ứng dụng của dẫn xuất halogen trong thực tế cuộc sống.

2. Hiện nay, điều hoà, tủ lạnh thường sử dụng một số loại chất làm lạnh phổ biến như R22 (CHCIF2), R32 (CH2F2), R410A (50% CH2F2 và 50% CHF2–CF3). Loại chất làm lạnh nào không nên sử dụng? Giải thích.

3. Hãy tìm hiểu và cho biết thành phần thuốc bảo vệ thực vật thường dùng ở Việt Nam. Các thuốc này có nguồn gốc hoá học hay sinh học? Lựa chọn và sử dụng các loại thuốc bảo vệ thực vật như thế nào để bảo đảm an toàn, hiệu quả?

 

Phương pháp giải:

1. 

2. R22 (CHCIF2) là chất làm lạnh không nên sử dụng vì gas lạnh R22 là một loại hợp chất hóa học có tên gọi  là Hydrocloflocacbon (mã hóa học HCFC – 22), khi máy lạnh hoạt động với gas sẽ sản sinh ra chất CFC gây thủng thầng Ozon rất nguy hiểm với môi trường, gây ảnh hưởng đến hệ thần kinh trung ương và nằm trong nhóm gây ung thư máu 3.

3. – Nhóm thuốc thảo mộc: có độ độc cấp tính cao nhưng mau phân hủy trong môi trường.

– Nhóm clo hữu cơ: DDT, 666,.. nhóm này có độ độc cấp tính tương đối thấp nhưng tồn lưu lâu trong cơ thể người, động vật và môi trường, gây độc mãn tính nên nhiều sản phẩm bị cấm hoặc hạn chế sử dụng.

– Nhóm lân hữu cơ: Wofatox Bi-58,..độ độc cấp tính của các loại thuốc thuộc nhóm này tương đối cao nhưng mau phân hủy trong cơ thể người và môi trường hơn so với nhóm clo hữu cơ.

– Nhóm carbamate: Mipcin, Bassa, Sevin,…đây là thuốc được dùng rộng rãi bởi vì thuốc tương đối rẻ tiền, hiệu lực cao, độ độc cấp tính tương đối cao, khả năng phân hủy tương tư nhóm lân hữu cơ.

– Nhóm Pyrethoide (Cúc tổng hợp): Decis, Sherpa, Sumicidine, nhóm này dễ bay hơi và tương đối mau phân hủy trong môi trường và cơ thể người.

– Các hợp chất pheromone: Là những hóa chất đặc biệt do sinh vật tiết ra để kích thích hành vi của những sinh vật khác cùng loài. Các chất điều hòa sinh trưởng côn trùng (Nomolt, Applaud,…): là những chất được dùng để biến đổi sự phát triển của côn trùng. Chúng ngăn cản côn trùng biến thái từ tuổi nhỏ sang tuổi lới hoặc ép buộc chúng phải trưởng thành từ rất sớm: Rất ít độc với người và môi trường.

– Nhóm thuốc trừ sâu vi sinh (Dipel, Thuricide, Xentari, NPV,….): Rất ít độc với người và các sinh vật không phải là dịch hại.

– Ngoài ra còn có nhiều chất có nguồn gốc hóa học khác, một số sản phẩm từ dầu mỏ được dùng làm thuốc trừ sâu.

Lựa chọn và sử dụng các loại thuốc bảo vệ thực vật để bảo đảm an toàn, hiệu quả bằng cách thay thế thuốc bảo vệ thực vật có nguồn gốc sinh học, không sử dụng các phân bón hóa học và thuốc trừ sâu hóa học.

 

TẢI APP ĐỂ XEM OFFLINE