2. Bài 24. Carboxylic acid

Vị chua của giấm và các loại quả như khế, chanh, táo, me,…. đều được tạo bởi carboxylic acid. Vậy carboxylic acid chứa nhóm chức nào và có các tính chất đặc trưng gì?

Lựa chọn câu để xem lời giải nhanh hơn

CH tr 145 MĐ

Video hướng dẫn giải

Vị chua của giấm và các loại quả như khế, chanh, táo, me,…. đều được tạo bởi carboxylic acid. Vậy carboxylic acid chứa nhóm chức nào và có các tính chất đặc trưng gì?

Lời giải chi tiết:

– Carboxylic acid là các hợp chất hữu cơ trong phân tử có nhóm –COOH liên kết với nguyên tử carbon (trong gốc hydrocarbon hoặc –COOH) hoặc nguyên tử hydrogen.

Có thể biểu diễn công thức của carboxylic acid đơn chức dưới dạng RCOOH.

– Danh pháp thay thế của carboxylic acid đơn chức:

Tên hydrocarbon mạch chính (tính cả nhóm –COOH) (bỏ e ở cuối) + “oic acid”

– Nhóm –COOH có liên kết CH phân cực.

   Nhóm –COOH có thể phân li thành H+ nên tính chất hoá học đặc trưng của carboxylic acid là tính acid.

– Carboxylic acid mạch ngắn là chất lỏng, tan tốt trong nước. Carboxylic acid mạch dài là chất rắn và ít tan trong nước.

– Phản ứng ester hóa:

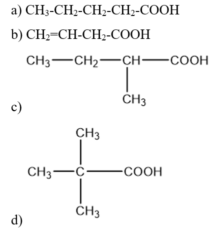
CH tr 145 HĐ

Nhiều carboxylic acid tồn tại trong tự nhiên. Hãy nhận xét đặc điểm chung về cấu tạo của các carboxylic acid dưới đây:

Lời giải chi tiết:

Carboxylic acid là các hợp chất hữu cơ trong phân tử có nhóm –COOH liên kết với nguyên tử carbon (trong gốc hydrocarbon hoặc –COOH) hoặc nguyên tử hydrogen.

CH tr 147 CH1

Video hướng dẫn giải

Viết các công thức cấu tạo và gọi tên theo danh pháp thay thế của các acid có công thức C4H9COOH.

Phương pháp giải:

Danh pháp thay thế của carboxylic acid đơn chức:

Tên hydrocarbon mạch chính (tính cả nhóm –COOH) (bỏ e ở cuối) + “oic acid”

Lời giải chi tiết:

CH tr 147 CH2

Viết công thức cấu tạo của các carboxylic acid có tên gọi dưới đây:

a) pentanoic acid;

b) but-3-enoic acid;

c) 2-methylbutanoic acid;

d) 2,2-dimethylpropanoic acid.

Phương pháp giải:

Danh pháp thay thế của carboxylic acid đơn chức:

Tên hydrocarbon mạch chính (tính cả nhóm –COOH) (bỏ e ở cuối) + “oic acid”

Lời giải chi tiết:

CH tr 147 HĐ

Tại sao trong các hợp chất hữu cơ có phân tử khối xấp xỉ nhau dưới đây, carboxylic acid có nhiệt độ sôi cao nhất?

Loại hợp chất

alkane

aldehyde

alcohol

carboxylic acid

Công thức cấu tạo

CH3CH2CH2CH3

CH3CH2CHO

CH3CH2CH2OH

CH3COOH

M

58

58

60

60

ts (°C)

-0,5

49

97,2

118

Phương pháp giải:

Phân tử carboxylic acid chứa nhóm carboxyl phân cực => tạo liên kết hydrogen.

Lời giải chi tiết:

Phân tử carboxylic acid chứa nhóm carboxyl phân cực. Các phân tử carboxylic acid liên kết hydrogen với nhau tạo thành dạng dimer hoặc dạng liên phân tử.

Do vậy, carboxylic acid có nhiệt độ sôi cao hơn so với hydrocarbon, alcohol, hợp chất carbonyl có phân tử khối tương đương.

CH tr 148 HĐ

Video hướng dẫn giải

Trong dung dịch nước, carboxylic acid phân li không hoàn toàn theo cân bằng:

Hằng số cân bằng của phương trình phân li một số carboxylic acid được cho trong Bȧng 24.3.

Bảng 24.3. Hằng số cân bằng của phương trình phân li một số carboxylic acid 

Carboxylic acid

Hằng số cân bằng của phương trình phân li carboxylic acid

Phần trăm phần li (dung dịch 0,1 M) (%)

HCOOH

1,8.10−4

4,2

CH3COOH

1,8.10−5

1,3

CH3CH2COOH

1,3.10−5

1,2

CH3CH2CH2COOH

1,5.10−5

1,2

Hãy nhận xét về khả năng phân li của carboxylic acid. Chúng là các acid mạnh hay yếu và có các phản ứng đặc trưng nào?

Phương pháp giải:

Khả năng phân li của các carboxylic acid đều chỉ vài % => phân li rất ít.

Lời giải chi tiết:

Trong dung dịch, chỉ một phần nhỏ carboxylic acid phân li thành ion, vì vậy carboxylic acid là những acid yếu. Chúng thể hiện đầy đủ tính chất của acid: tác dụng với kim loại, oxide kim loại, muối, base.

CH tr 149 TN

Video hướng dẫn giải

Thí nghiệm: Tính acid của acetic acid

Chuẩn bị: dung dịch acetic acid 10%, dung dịch Na2CO3 10%, bột Mg; ống nghiệm, giấy qùy.

Tiến hành:

1. Phản ứng với chất chỉ thị:

Nhỏ một giọt dung dịch acetic acid 10% lên mẫu giấy qùy. Quan sát và mô tả sự thay đổi màu sắc của giấy quỳ.

2. Phản ứng với kim loại:

– Cho 1 – 2 mL dung dịch acetic acid 10% vào ống nghiệm (1).

– Thêm tiếp một ít bột Mg vào ống nghiệm (1).

Quan sát và mô tả hiện tượng xảy ra trong ống nghiệm (1).

3. Phản ứng với muối:

– Cho 1 – 2 mL dung dịch Na2CO3 10% vào ống nghiệm (2).

– Thêm tiếp 1 – 2 mL dung dịch acetic acid 10% vào ống nghiệm (2).

Thực hiện yêu cầu sau:

Quan sát và mô tả hiện tượng xảy ra trong ống nghiệm (2).

Viết phương trình hoá học của các phản ứng xảy ra trong các thí nghiệm trên và giải thích hiện tượng.

Phương pháp giải:

Acetic acid mang đầy đủ tính chất của acid.

Lời giải chi tiết:

1. Quỳ tím chuyển sang màu đỏ vì acetic acid có tính acid.

2. Kim loại tan dần tạo thành dung dịch màu không màu và có khí không màu thoát ra.

Mg + 2CH3COOH → (CH3COO)2Mg + H2

3. Tạo dung dịch không màu và có khí thoát ra.

2CH3COOH + Na2CO3 → 2CH3COONa + CO2 + H2

CH tr 149 CH1

Viết phương trình hoá học phản ứng giữa acetic acid với các chất sau:

a) Ca;

b) Cu(OH)2;

c) CaO;

d) K2CO3.

Phương pháp giải:

Acetic acid mang đầy đủ tính chất của acid. 

Lời giải chi tiết:

a) 2CH3COOH + Ca → (CH3COO)2Ca + H2 ↑

b) CH3COOH + Cu(OH)2 → (CH3COO)2Cu + H2O

c) 2CH3COOH + CaO → (CH3COO)2Ca + H2O

d) 2CH3COOH + K2CO3 →   2CH3COOK + CO2 + H2O

CH tr 149 CH2

a) Khi có cặn màu trắng (thành phần chính là CaCO3) bám ở đáy ấm đun nước, vòi nước, thiết bị vệ sinh,… có thể dùng giấm để loại bỏ các vết cặn này. Hãy giải thích.

b) Các đồ vật bằng đồng sau một thời gian để trong không khí thường bị xỉn màu, dùng khăn tầm một ít giấm rồi lau các đồ vật này, chúng sáng bóng trở lại. Hãy giải thích.

Phương pháp giải:

a) Trong giấm ăn có acetic acid CH3COOH là acid yếu có khả năng tác dụng với lớp cặn màu trắng CaCO3

b) Các đồ vật bằng đồng sau một thời gian để trong không khí thường bị xỉn màu do bị oxi hóa tạo thành các oxide, sau đó màu đồng xỉn sẽ chuyển sang màu xanh dương dưới sự tác động của CO2 và hơi ẩm.

Khi dùng khăn tẩm một ít giấm (CH3COOH) rồi lau các đồ vật này, chúng sáng bóng trở lại. 

Lời giải chi tiết:

a) Trong giấm ăn có acetic acid CH3COOH là acid yếu có khả năng tác dụng với lớp cặn màu trắng CaCO3

2CH3COOH + CaCO3 → (CH3COO)2Ca + CO2 + H2O

b) Các đồ vật bằng đồng sau một thời gian để trong không khí thường bị xỉn màu do bị oxi hóa tạo thành các oxide, sau đó màu đồng xỉn sẽ chuyển sang màu xanh dương dưới sự tác động của CO2 và hơi ẩm.

Cu + H2O + O2 + CO2 → CuCO3.Cu(OH)2

Khi dùng khăn tẩm một ít giấm (CH3COOH) rồi lau các đồ vật này, chúng sáng bóng trở lại. 

2CH3COOH + CuCO3 →   (CH3COO)2Cu + CO2 + H2O

2CH3COOH + Cu(OH)2 →   (CH3COO)2Cu + 2H2O

CH tr 150 HĐ

Video hướng dẫn giải

Nghiên cứu phản ứng ester hoá – điều chế ethyl acetate

Điều chế ethyl acetate trong phòng thí nghiệm được tiến hành như sau:

– Cho khoảng 2 mL ethanol và 2 mL acetic acid tuyệt đối vào ống nghiệm, lắc đều hỗn hợp.

– Thêm khoảng 1 mL dung dịch H2SO4 đặc, lắc nhẹ để các chất trộn đều với nhau.

– Kẹp ống nghiệm vào kẹp gỗ rồi đặt ống nghiệm vào cốc nước nóng (khoảng 60°C – 70°C) trong khoảng 5 phút, thỉnh thoảng lắc đều hỗn hợp. Sau đó lấy ống nghiệm ra khỏi cốc nước nóng, để nguội hỗn hợp rồi rót sang ống nghiệm khác chứa 5 mL dung dịch muối ăn bão hoà.

Thực hiện yêu cầu:

1. Mô tả hiện tượng, viết phương trình hoá học của phản ứng ester hoá xảy ra trong thí nghiệm trên.

2. Vai trò của sulfuric acid trong thí nghiệm trên là gì?

Phương pháp giải:

1. Carboxylic acid phản ứng với alcohol tạo thành ester là chất lỏng không tan trong nước, có mùi thơm.

2. Phản ứng này có đặc điểm thuận nghịch và thường dùng sulfuric acid đặc làm xúc tác.

Lời giải chi tiết:

1. Hiện tượng: khi cho vào ống nghiệm dung dịch NaCl bão hòa, thấy dung dịch phân thành hai lớp và dung dịch có mùi thơm.

 

2. Vai trò của sulfuric acid trong thí nghiệm trên là xúc tác.

CH tr 151 CH1

Video hướng dẫn giải

Methyl butyrate là ester tạo mùi đặc trưng của quả táo, em hãy viết phương trình hoá học của phản ứng điều chế methyl butyrate từ carboxylic acid và alcohol tương ứng.

Lời giải chi tiết:

Methyl butyrate: CH3CH2CH2COOCH3

PTHH: CH3CH2CH2COOH + CH3OH → CH3CH2CH2COOCH3 + H2O

CH tr 151 CH2

Methyl salicylate là hợp chất thuộc loại ester được dùng làm cao dán giảm đau, kháng viêm ngoài da. Methyl salicylate được tổng hợp từ phản ứng ester hóa giữa salicylic acid và methanol. Hãy hoàn thành phương trình hoá học của phản ứng tổng hợp methyl salicylate: 

Lời giải chi tiết:

CH tr 151 HĐ

Em hãy tìm hiểu và trình bày ứng dụng của một carboxylic acid.

Lời giải chi tiết:

Một lượng lớn acetic acid được sử dụng để sản xuất vinyl acetate và cellulose acetate.

Vinyl acetate được dùng sản xuất keo dán và chất kết dính trong sản xuất giấy, sản xuất tơ (tơ vinylon),…; cellulose acetate được sử dụng làm tá dược trong sản xuất thuốc, sản xuất tơ, phim ảnh,… Acetic acid còn được sử dụng để tổng hợp aluminium monoacetate (Al(OH)2COOCH3) làm chất cầm màu trong công nghiệp dệt may, tổng hợp ethyl acetate, butyl acetate làm dung môi (để pha sơn), tổng hợp muối ammonium acetate (CH3COONH4) để sản xuất acetamide – một chất có tác dụng lợi tiểu và làm toát mồ hôi, tổng hợp phenylacetic acid dùng trong công nghiệp nước hoa, tổng hợp penicillin, tổng hợp chloroacetic acid dùng trong sản xuất chất diệt cỏ 2,4-D và 2,4,5-T,… Dung dịch acetic acid 2 – 5% được dùng làm giấm ăn, làm chất tẩy cặn trong siêu đun nước và nhiều ứng dụng trong đời sống hằng ngày.

Rất nhiều carboxylic acid khác được ứng dụng trong đời sống và sản xuất. Acrylic acid và methacrylic acid được dùng để sản xuất thuỷ tinh hữu cơ. Benzoic acid với liều lượng nhỏ được dùng làm chất bảo quản thực phẩm. Salicylic acid được dùng sản xuất thuốc cảm aspirin, thuốc giảm đau methyl salicylate. Một số acid béo như palmitic acid và stearic acid được dùng để sản xuất xà phòng. Một số dicarboxylic acid như adipic acid, phthalic acid được dùng tổng hợp polyester, polyamide,… để sản xuất tơ sợi.

 

TẢI APP ĐỂ XEM OFFLINE