3. Bài 12. Công thức phân tử hợp chất hữu cơ

Làm thế nào để lập công thức phân tử hợp chất hữu cơ từ dữ liệu phân tích nguyên tố và phân tử khối.

Lựa chọn câu để xem lời giải nhanh hơn

CH tr 70 MĐ

Làm thế nào để lập công thức phân tử hợp chất hữu cơ từ dữ liệu phân tích nguyên tố và phân tử khối.

Phương pháp giải:

Công thức tổng quát của hợp chất hữu cơ: CxHyOz.

Trong đó: 

 

Lời giải chi tiết:

Thiết lập công thức đơn giản nhất bằng cách lập tỉ lệ x : y : z ở dạng số nguyên tối giản p : q : r như sau:

 

Từ đó thiết lập được công thức đơn giản nhất: CpHqOr.

Mối liên hệ giữa công thức phân tử và công thức đơn giản nhất như sau:

CxHyOz = (CpHqOr)n.

Biết phân tử khối, xác định được giá trị n, từ đó suy ra công thức phân tử.

CH tr 70 HĐ

Video hướng dẫn giải

Hãy viết công thức phân tử của các hợp chất hữu cơ có mô hình cho dưới đây:

Phương pháp giải:

Quan sát hình và xác định số nguyên tử mỗi nguyên tố trong 1 phân tử hợp chất hữu cơ.

Lời giải chi tiết:

Methane: CH4;

Ethane: C2H6;

Ethylene: C2H4;

Ethyl chloride: C2H5Cl;

Ethanol: C2H6O.

CH tr 71 CH1

Video hướng dẫn giải

1. Khi nghiên cứu thành phần hoá học của tinh dầu quế, người ta thu được nhiều hợp chất hữu cơ trong đó có cinnamaldehyde và o – methoxycinnamaldehyde với công thức cấu tạo:

Hãy viết công thức phân tử và công thức đơn giản nhất của các hợp chất này.

Phương pháp giải:

Công thức đơn giản nhất cho biết tỉ lệ số nguyên tử của các nguyên tố có trong phân tử hợp chất hữu cơ (tỉ lệ các số nguyên tối giản).

Lời giải chi tiết:

cinnamaldehyde

+ Công thức phân tử: C9H8O.

+ Công thức đơn giản nhất: C9H8O.

o – methoxycinnamaldehyde

+ Công thức phân tử: C10H10O2.

+ Công thức đơn giản nhất: C5H5O.

CH tr 71 CH2

2. Viết công thức đơn giản nhất của các hợp chất hữu cơ có công thức phân tử sau:

a) C3H8.                           b) C3H6O2;

c) C4H10O;                       d) C4H8O2.

Phương pháp giải:

Công thức đơn giản nhất cho biết tỉ lệ số nguyên tử của các nguyên tố có trong phân tử hợp chất hữu cơ (tỉ lệ các số nguyên tối giản).

Lời giải chi tiết:

ý

a

b

c

d

Công thức phân tử

C3H8

C3H6O2

C4H10O

C4H8O2

Công thức đơn giản nhất

C3H8

C3H6O2

C4H10O

C2H4O

CH tr 72 HĐ

Video hướng dẫn giải

Hãy gán các chất hữu cơ sau: C6H6; C3H8O; C4H8O2 vào các phổ khối lượng tương ứng dưới đây.

Phương pháp giải:

Đối với các hợp chất đơn giản, thường mảnh có giá trị m/z lớn nhất ứng với mảnh ion phân tử [M+] và giá trị này bằng giá trị phân tử khối của chất nghiên cứu.

Lời giải chi tiết:

Áp dụng: Đối với các hợp chất đơn giản, thường mảnh có giá trị m/z lớn nhất ứng với mảnh ion phân tử [M+] và giá trị này bằng giá trị phân tử khối của chất nghiên cứu.

Vậy kết quả gán như sau:

Phổ (a) ứng với chất C3H8O (M = 60).

Phổ (b) ứng với chất C6H6 (M = 78).

Phổ (c) ứng với chất C4H8O2 (M = 88).

CH tr 73 HĐ

Video hướng dẫn giải

Camphor (có trong cây long não) là một chất rắn kết tinh màu trắng hay trong suốt giống như sáp với mùi thơm đặc trưng, thường dùng trong y học. Phần trăm khối lượng các nguyên tố trong camphor lần lượt là 78,94% carbon, 10,53% hydrogen và 10,53% oxygen. Từ phổ khối lượng của camphor xác định được giá trị m/z của peak [M+] bằng 152.

Hãy lập công thức phân tử của camphor theo các bước:

– Lập công thức đơn giản nhất của camphor.

– Xác định phân tử khối.

– Xác định công thức phân tử của camphor.

Phương pháp giải:

Lời giải chi tiết:

Đặt công thức phân tử của camphor có dạng: CxHyOz.

– Lập công thức đơn giản nhất của camphor:

Ta có:

Vậy công thức đơn giản nhất của camphor là: C10H16O.

– Từ phổ khối lượng xác định được phân tử khối của camphor là: 152.

– Mối quan hệ giữa công thức phân tử và công thức đơn giản nhất như sau:

CxHyOz = (C10H16O)n

=> (12.10 + 16.1 + 16).n = 152 => n = 1.

Vậy công thức phân tử của camphor là: C10H16O.

CH tr 73 CH

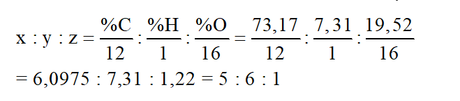
Eugenol là thành phần chính trong tinh dầu đinh hương hoặc tinh dầu hương nhu. Chất này được sử dụng làm chất diệt nấm, dẫn dụ côn trùng. Phân tích phần trăm khối lượng các nguyên tố cho thấy, eugenol có 73,17% carbon; 7,31% hydrogen, còn lại là oxygen. Lập công thức phân tử của eugenol, biết rằng kết quả phân tích phổ khối lượng cho thấy phân tử khối của eugenol là 164.

Phương pháp giải:

Lời giải chi tiết:

%O = 100% – 73,17% – 7,31% = 19,52%.

Đặt công thức phân tử của eugenol có dạng: CxHyOz.

 

Vậy công thức đơn giản nhất của eugenol là: C5H6O.

=> CxHyOz = (C5H6O)n.

Phân tử khối của eugenol là 164.

=> (12.5 + 6 + 16).n = 164 => n = 2.

Vậy công thức phân tử của eugenol là: C10H12O2.

TẢI APP ĐỂ XEM OFFLINE