6. Bài 8. Xác định cực đại – cực tiểu giao thoa sóng

Đề bài

Câu 1 :

Trên mặt nước có hai nguồn sóng nước giống nhau cách nhau $AB = 8(cm)$. Sóng truyền trên mặt nước có bước sóng $1,2 (cm)$. Số đường cực đại đi qua đoạn thẳng nối hai nguồn là:

  • A.

    $11$

  • B.

    $12$

  • C.

    $13$

  • D.

    $14$

Câu 2 :

Hai nguồn sóng cơ $AB$ cách nhau dao động chạm nhẹ trên mặt chất lỏng, cùng tấn số $100Hz$, cùng pha theo phương vuông vuông  góc với mặt chất lỏng. Vận tốc truyền sóng $20m/s$.Số điểm không dao động trên đoạn $AB = 1m$ là :

  • A.

    $11$ điểm

  • B.

    $20$ điểm

  • C.

    $10$ điểm

  • D.

    $15$ điểm

Câu 3 :

Hai nguồn kết hợp $A, B$ cách nhau $45 mm$ ở trên mặt thoáng chất lỏng dao động theo phương trình $u_1 = u_2 = 2cos100πt (mm)$. Trên mặt thoáng chất lỏng có hai điểm $M$ và $M’$ ở cùng một phía của đường trung trực của $AB$ thỏa mãn: $MA – MB = 15 mm$ và $M’A – M’B = 35 mm$. Hai điểm đó đều nằm trên các vân giao thoa cùng loại và giữa chúng chỉ có một vân loại đó. Vận tốc truyền sóng trên mặt chất lỏng là:

  • A.

    $0,5 cm/s$

  • B.

    $0,5 m/s$

  • C.

    $1,5 m/s$

  • D.

    $0,25 m/s$

Câu 4 :

Tại hai điểm A,B trên mặt chất lỏng cách nhau 10(cm) có hai nguồn phát sóng theo phương thẳng đứng với các phương trình : \({u_1} = 0,2.cos(50\pi t)cm\) và\({u_1} = 0,2.cos(50\pi t + \pi )cm\) .  Vận tốc truyền sóng là 0,5 (m/s). Coi biên độ sóng không đổi. Xác định số điểm dao động với biên độ cực đại trên đoạn thẳng AB ?

  • A.

    8

  • B.

    9

  • C.

    10

  • D.

    11

Câu 5 :

Hai nguồn sóng cùng biên độ cùng tần số và ngược pha. Nếu khoảng cách giữa hai nguồn là: \(AB = 16,2\lambda \) thì số điểm đứng yên và số điểm dao động với biên độ cực đại trên đoạn $AB$ lần lượt là:

  • A.

    $32$ và $33$

  • B.

    $34$ và $33$

  • C.

    $33$ và $32$

  • D.

    $33$ và $34$

Câu 6 :

Trên mặt nước có hai nguồn kết hợp $A,B$ cách nhau $10 (cm)$ dao động theo các phương trình : \({u_1} = 0,2.cos(50\pi t + \pi )cm\) và : \({u_1} = 0,2.cos(50\pi t + \dfrac{\pi }{2})cm\). Biết vận tốc truyền sóng trên mặt nước là $0,5 (m/s)$. Tính số điểm cực đại và cực tiểu trên đoạn $A,B$.

  • A.

    $8$ và $8$

  • B.

    $9$ và $10$

  • C.

    $10$ và $10$

  • D.

    $11$ và $12$

Câu 7 :

Trên mặt nước, hai nguồn kết hợp $A, B$ cách nhau $40cm$ luôn dao động cùng pha, có bước sóng $6cm$. Hai điểm $CD$ nằm trên mặt nước mà $ABCD$ là một hình chữ nhật, $AD = 30cm$. Số điểm cực đại và đứng yên trên đoạn $CD$ lần lượt là :

  • A.

    $5$ và $6$

  • B.

    $7$ và $6$

  • C.

    $13$ và $12$

  • D.

    $11$ và $10$

Câu 8 :

Trên mặt nước có hai nguồn sóng giống nhau A và B, hai nguồn cùng pha, cách nhau khoảng \(AB = 10 cm\) đang dao động vuông góc với mặt nước tạo ra sóng có bước sóng \(λ= 0,5 cm\). C và D là hai điểm khác nhau trên mặt nước, CD vuông góc với AB tại M sao cho \(MA = 3 cm\); \(MC = MD = 4 cm\). Số điểm dao động cực đại trên CD là:

  • A.

    3

  • B.

    4

  • C.

    5

  • D.

    6

Câu 9 :

Ở mặt thoáng của một chất lỏng có hai nguồn kết hợp $A$ và $B$ cách nhau $20(cm)$ dao động theo phương thẳng đứng với phương trình \({u_A} = 2.cos(40\pi t)(mm)\) và \({u_B} = 2.cos(40\pi t + \pi )(mm)\). Biết tốc độ truyền sóng trên mặt chất lỏng là $30(cm/s)$. Xét hình vuông $ABCD$ thuộc mặt chất lỏng. Số điểm dao động với biên độ cực đại trên đoạn $BD$ là :

  • A.

    $17$

  • B.

    $18$

  • C.

    $19$

  • D.

    $20$

Câu 10 :

Trên mặt thoáng của chất lỏng có hai nguồn kết hợp A và B giống nhau dao động cùng tần số \(f = 8Hz\) tạo ra hai sóng lan truyền với \(v = 16cm/s\). Hai điểm MN nằm trên đường nối \(AB\), nằm ở hai phía của trung điểm O của đoạn AB và cách trung điểm O của AB các đoạn lần lượt là \(OM = 3,75 cm\), \(ON = 2,25cm\). Số điểm dao động với biên độ cực đại và cực tiểu trong đoạn MN là:

  • A.

    5 cực đại 6 cực tiểu

  • B.

    6 cực đại, 6 cực tiểu

  • C.

    6 cực đại , 5 cực tiểu

  • D.

    5 cực đại , 5 cực tiểu

Câu 11 :

Ở mặt chất lỏng có hai nguồn sóng A, B cách nhau 24 cm, dao động theo phương thẳng đứng với phương trình là uA=uB=acos60πt (với t tính bằng s). Tốc độ truyền sóng của mặt chất lỏng là v=45cm/s. Gọi MN=4cm là đoạn thẳng trên mặt chất lỏng có chung trung trực với AB. Khoảng cách xa nhất giữa MN với AB là bao nhiêu để có ít nhất 5 điểm dao động cực đại nằm trên MN?

  • A.

    12,7 cm

  • B.

    10,5 cm

  • C.

    14,2 cm

  • D.

    6,4 cm

Câu 12 :

Hai nguồn sóng kết hợp giống hệt nhau được đặt cách nhau một khoảng cách x trên đường kính của một vòng tròn bán kính \(R\) \((x << R)\) và đối xứng qua tâm của vòng tròn. Biết rằng mỗi nguồn đều phát sóng có bước sóng \(λ\) và  \(x = 6λ\). Số điểm dao động cực đại trên vòng tròn là:

  • A.

    26

  • B.

    24

  • C.

    22

  • D.

    20

Câu 13 :

Trên bề mặt chất lỏng có hai nguồn kết hợp $AB$ cách nhau $40cm$ dao động cùng pha. Biết sóng do mỗi nguồn phát ra có tần số $f=10(Hz)$, vận tốc truyền sóng $2(m/s)$. Gọi $M$ là một điểm nằm trên đường vuông góc với $AB$ tại $A$ và dao đông với biên độ cực đại. Đoạn $AM$ có giá trị lớn nhất là :

  • A.

    $20cm$

  • B.

    $30cm$

  • C.

    $40cm$

  • D.

    $50cm$

Câu 14 :

Trên bề mặt chất lỏng có hai nguồn kết hợp \(AB\) cách nhau \(100cm\) dao động cùng pha. Biết sóng do mỗi nguồn phát ra có tần số \(f=10(Hz)\), vận tốc truyền sóng \(3(m/s)\). Gọi \(M\) là một điểm nằm trên đường vuông góc với \(AB\) tại đó \(M\) dao đông với biên độ cực đại. Đoạn \(AM\) có giá trị nhỏ nhất là :

  • A.

    \(5,28 cm\)

  • B.

    \(10,56 cm\)

  • C.

    \(12 cm\)

  • D.

    \(30 cm\)

Câu 15 :

Giao thoa sóng nước với hai nguồn giống hệt nhau A, B cách nhau 20cm có tần số 50Hz. Tốc độ truyền sóng trên mặt nước là 1,5m/s. Trên mặt nước xét đường tròn tâm A, bán kính AB. Điểm trên đường tròn dao động với biên độ cực đại cách đường thẳng qua A, B một đoạn gần nhất là:

  • A.

    18,67mm

  • B.

    17,96mm

  • C.

    19,97mm

  • D.

    15,34mm

Câu 16 :

Hai nguồn sóng $AB$ cách nhau $1 m$ dao động cùng pha với bước sóng $0,5m$. $I$ là trung điểm $AB$. $H$ là điểm nằm trên đường trung trực của $AB$ cách $I$ một đoạn $1,5m$. Gọi $d$ là đường thẳng qua $H$ và song song với $AB$. Tìm điểm $M$ thuộc $d$ và gần $H$ nhất, dao động với biên độ cực đại. (Tìm khoảng cách $MH$)

  • A.

    $0,9m$

  • B.

    \(2,75m\)

  • C.

    $3,25m$

  • D.

    \(0,8125m\)

Câu 17 :

Ở mặt nước, tại hai điểm A và B cách nhau \(19 cm\), có hai nguồn kết hợp dao động cùng pha theo phương thẳng đứng, phát ra hai sóng có bước sóng \(4 cm\). Trong vùng giao thoa, M là một điểm ở mặt nước thuộc đường trung trực của AB. Trên đoạn AM, số điểm cực tiểu giao thoa là

  • A.

    \(7\)

  • B.

    \(4\)

  • C.

    \(5\)

  • D.

    \(6\)

Câu 18 :

Hai nguồn kết hợp A, B cách nhau \(16cm\) đang cùng dao động vuông góc với mặt nước theo phương trình \(u = acos50\pi t\left( {cm} \right)\). Xét một điểm C trên mặt nước thuộc cực tiểu giao thoa, giữa C và trung trực của AB có một đường cực đại giao thoa. Biết \(AC = 17,2cm\); \(BC = 13,6cm\). Số điểm cực đại trên đoạn thẳng \(AC\) là

  • A.
    6
  • B.
    7
  • C.
    8
  • D.
    5

Câu 19 :

Ở mặt chất lỏng, tại hai điểm \({S_1}\) và \({S_2}\) cách nhau 28 cm có hai nguồn dao động cùng pha theo phương thẳng đứng phát ra sóng kết hợp. Gọi \({\Delta _1}\) và \({\Delta _2}\) là hai đường thẳng ở mặt chất lỏng cùng vuông góc với đoạn thẳng  \({S_1}\) \({S_2}\) và cách nhau 9 cm. Biết số điểm cục đại giao thoa trên \({\Delta _1}\)và \({\Delta _2}\) tương ứng là 7 và 3. Số điểm cực đại giao thoa trên đoạn thẳng \({S_1}{S_2}\) là

  • A.
    19
  • B.
    7
  • C.
    9
  • D.
    17

Câu 20 :

Trên bề mặt chất lỏng có đặt hai nguồn kết hợp A, B cách nhau 46,25cm và dao động cùng pha. Sóng do mỗi nguồn phát ra có tần số f=40Hz, vận tốc truyền sóng là 5m/s. Trên mặt chất lỏng, gọi M là một điểm nằm trên đường thẳng vuông góc với AB tại A và dao động với biên độ cực tiểu. Đoạn BM có giá trị cực đại là

  • A.
    174,25cm
  • B.
     47,30cm
  • C.
    46,25cm
  • D.
    91,80cm

Câu 21 :

Trên mặt nước, hai nguồn kết hợp A, B cách nhau 40cm luôn dao động cùng pha, có bước sóng 6cm. Hai điểm CD nằm trên mặt nước mà ABCD là một hình chữ nhật, AD = 30cm. Số điểm cực đại và đứng yên trên đoạn CD lần lượt là

 

  • A.
     5 và 6           
  • B.
    13 và 12    
  • C.
     11 và 10        
  • D.
    7 và 6

Câu 22 :

Trong thí nghiệm giao thoa sóng nước với hai nguồn kết hợp cùng pha và cùng biên độ, cùng bước sóng λ. Người ta thấy phần tử nước tại điểm M không dao động. Hiệu khoảng cách từ M đến hai nguồn có thể nhận giá trị nào sau đây?

  • A.
    \(\dfrac{\lambda }{4}\).
  • B.
  • C.
    λ
  • D.
    \(\dfrac{\lambda }{2}\).

Câu 23 :

Trong thí nghiệm giao thoa sóng nước, hai nguồn kết hợp A và B dao động cùng pha với tần số \(20 Hz.\) Người ta thấy điểm M dao động cực đại và giữa M với đường trung trực của AB có một đường không dao động. Điểm M thuộc cực đại ứng với

  • A.
     \(k = -4\)
  • B.
     \(k = 3\)
  • C.
     \(k = 1\)
  • D.
     \(k = 2\)

Câu 24 :

Đề thi THPT QG – 2020

Thí nghiệm giao thoa sóng ở mặt chất lỏng với hai nguồn kết hợp đặt tại AB cách nhau 10,6 cm dao động cùng pha theo phương thẳng đứng. Trên đoạn thẳng AB, khoảng cách từ A tới cực đại giao thoa xa A nhất là 10,0 cm. Biết số vân giao thoa cực đại nhiều hơn số vân giao thoa cực tiểu. Số vân giao thoa cực đại nhiều nhất là

  • A.
    11
  • B.
    7
  • C.
    5
  • D.
    9

Câu 25 :

Đề thi thử THPT chuyên Lam Sơn – 2021

Ở mặt chất lỏng, tại hai điểm A và B có hai nguồn dao động cùng pha theo phương vuông góc với mặt chất lỏng phát ra hai sóng kết hợp với bước sóng \(\lambda \). Gọi C, D là hai điểm ở mặt chất lỏng sao cho ABCD là hình vuông. I là trung điểm của AB. M là một điểm nằm trong hình vuông ABCD xa I nhất mà phần tử chất lỏng tại đó dao động với biên độ cực đại và cùng pha với nguồn. Biết \(AB = 2,4\lambda \). Độ dài đoạn thẳng MI gần nhất giá trị nào sau đây?

  • A.
    \(2,93\lambda .\)
  • B.
    \(2,25\lambda .\)
  • C.
    \(1,60\lambda .\)
  • D.
    \(2,35\lambda .\)

Câu 26 :

Hai nguồn phát sóng kết hợp tại A, B trên mặt nước cách nhau 12cm phát ra hai dao động điều hòa cùng tần số 20Hz, cùng biên độ và cùng pha ban đầu. Xét điểm M trên mặt nước cách A, B những đoạn lần lượt là 4,2cm và 9cm. Tốc độ truyền sóng trên mặt nước là 32cm/s. Muốn M là một điểm dao động với biên độ cực tiểu thì phải dịch chuyển nguồn tại B dọc đường nối A, B từ vị trí ban đầu ra xa nguồn A một đoạn nhỏ nhất là:

  • A.
     0,53 cm.    
  • B.
     1,03 cm.          
  • C.
     0,23 cm.   
  • D.
     0,83 cm.

Lời giải và đáp án

Câu 1 :

Trên mặt nước có hai nguồn sóng nước giống nhau cách nhau $AB = 8(cm)$. Sóng truyền trên mặt nước có bước sóng $1,2 (cm)$. Số đường cực đại đi qua đoạn thẳng nối hai nguồn là:

  • A.

    $11$

  • B.

    $12$

  • C.

    $13$

  • D.

    $14$

Đáp án : C

Phương pháp giải :

Áp dụng công thức tính số cực đại của hai nguồn cùng pha: \(\dfrac{{ – L}}{\lambda } < k < \dfrac{L}{\lambda }\)

Lời giải chi tiết :

Do $A, B$ dao động cùng pha nên số đường cực đại trên AB thoã mãn:

\(\dfrac{{ – L}}{\lambda } < k < \dfrac{L}{\lambda }\)

Thay số ta có :

\(\dfrac{{ – 8}}{{1,2}} < k < \dfrac{8}{{1,2}} \Leftrightarrow  – 6,67 < k < 6,67\)

\( \to k =  \pm 6, \pm 5, \pm 4, \pm 3, \pm 2, \pm 1,0\) .

Câu 2 :

Hai nguồn sóng cơ $AB$ cách nhau dao động chạm nhẹ trên mặt chất lỏng, cùng tấn số $100Hz$, cùng pha theo phương vuông vuông  góc với mặt chất lỏng. Vận tốc truyền sóng $20m/s$.Số điểm không dao động trên đoạn $AB = 1m$ là :

  • A.

    $11$ điểm

  • B.

    $20$ điểm

  • C.

    $10$ điểm

  • D.

    $15$ điểm

Đáp án : C

Phương pháp giải :

+ Áp dụng công thức tính bước sóng: \(\lambda  = \dfrac{v}{f}\)

+ Áp dụng công thức tính số cực tiểu của hai nguồn cùng pha: \(\dfrac{{ – L}}{\lambda } – \dfrac{1}{2} < k < \dfrac{L}{\lambda } – \dfrac{1}{2}\)

Lời giải chi tiết :

Ta có:

Bước sóng: 

\(\lambda  = \dfrac{v}{f} = \dfrac{{20}}{{100}} = 0,2m\)

A, B dao động cùng pha => Số điểm không dao động (cực tiểu) trên AB thỏa mãn:

 \(\begin{array}{l}\dfrac{{ – L}}{\lambda } – \dfrac{1}{2} < k < \dfrac{L}{\lambda } – \dfrac{1}{2} \leftrightarrow  – \dfrac{1}{{0,2}} – \dfrac{1}{2} < k < \dfrac{1}{{0,2}} – \dfrac{1}{2}\\ \to  – 5,5 < k < 4,5\\ \to k =  – 5; \pm 4, \pm 3; \pm 2; \pm 1,0\end{array}\)  

=> Có $10$ điểm

Câu 3 :

Hai nguồn kết hợp $A, B$ cách nhau $45 mm$ ở trên mặt thoáng chất lỏng dao động theo phương trình $u_1 = u_2 = 2cos100πt (mm)$. Trên mặt thoáng chất lỏng có hai điểm $M$ và $M’$ ở cùng một phía của đường trung trực của $AB$ thỏa mãn: $MA – MB = 15 mm$ và $M’A – M’B = 35 mm$. Hai điểm đó đều nằm trên các vân giao thoa cùng loại và giữa chúng chỉ có một vân loại đó. Vận tốc truyền sóng trên mặt chất lỏng là:

  • A.

    $0,5 cm/s$

  • B.

    $0,5 m/s$

  • C.

    $1,5 m/s$

  • D.

    $0,25 m/s$

Đáp án : B

Phương pháp giải :

+ Vận dụng điều kiện của vân cực đại: $d_2 – d_1 = kλ$

+ Vận dụng điều kiện của vân cực tiểu: \({d_2} – {d_1} = \left( {2k + 1} \right)\dfrac{\lambda }{2}\)

+ Áp dụng công thức tính vận tốc truyền sóng: \(v = \lambda f\)

Lời giải chi tiết :

– Giả sử $M$ và $M’$ thuộc vân cực đại.

Khi đó:

+ $MA – MB = 15mm = kλ$

+ $M’A – M’B = 35mm = (k + 2)λ$

\( \to \dfrac{{MA – MB}}{{M’A – M’B}} = \dfrac{k}{{k + 2}} = \dfrac{3}{7} \to k = 1,5\) không thoả mãn (do k ∈ Z)

=> $M$ và $M’$ không thuộc vân cực đại.

– Nếu $M, M’$ thuộc vân cực tiểu thì:

\(MA-MB = 15mm = \left( {2k{\rm{ }} + {\rm{ }}1} \right)\dfrac{\lambda }{2}\)

\(M’A-M’B{\text{ }} = 35mm = \left[ {2\left( {k + 2} \right) + 1} \right]\dfrac{\lambda }{2}\)

\( \to \dfrac{{MA – MB}}{{M’A – M’B}} = \dfrac{{2k + 1}}{{2k + 5}} = \dfrac{3}{7} \to k = 1\) 

Vậy $M, M’$ thuộc vân cực tiểu thứ $2$ và thứ $4$

\(\begin{array}{l} \to MA-MB = 15mm = \left( {2k{\rm{ }} + {\rm{ }}1} \right)\dfrac{\lambda }{2} = \dfrac{{3\lambda }}{2}\\ \to \lambda  = 10mm = \dfrac{v}{f} \to v = \lambda f = 10.\dfrac{{100\pi }}{{2\pi }} = 500mm/s = 0,5m/s\end{array}\)

Câu 4 :

Tại hai điểm A,B trên mặt chất lỏng cách nhau 10(cm) có hai nguồn phát sóng theo phương thẳng đứng với các phương trình : \({u_1} = 0,2.cos(50\pi t)cm\) và\({u_1} = 0,2.cos(50\pi t + \pi )cm\) .  Vận tốc truyền sóng là 0,5 (m/s). Coi biên độ sóng không đổi. Xác định số điểm dao động với biên độ cực đại trên đoạn thẳng AB ?

  • A.

    8

  • B.

    9

  • C.

    10

  • D.

    11

Đáp án : C

Phương pháp giải :

+ Áp dụng công thức tính bước sóng:

\(\lambda  = vT = v\frac{{2\pi }}{\omega }\)

+ Áp dụng công thức tính số cực đại của hai nguồn ngược pha:

\(\frac{{ – L}}{\lambda } – \frac{1}{2} < k < \frac{L}{\lambda } – \frac{1}{2}\)

Lời giải chi tiết :

Bước sóng :

\(\lambda  = vT = v\frac{{2\pi }}{\omega } = 0,5.\frac{{2\pi }}{{50\pi }} = 0,02(m) = 2cm\).

Ta thấy A, B là hai nguồn dao động ngược pha nên số điểm dao động cực đại thoã mãn : 

\(\begin{array}{l}\frac{{ – AB}}{\lambda } – \frac{1}{2} < k < \frac{{AB}}{\lambda } – \frac{1}{2}\\ \to \frac{{ – 10}}{2} – \frac{1}{2} < k < \frac{{10}}{2} – \frac{1}{2} \to  – 5,5 < k < 4,5\\ \to k =  – 5; \pm 4; \pm 3; \pm 2; \pm 1;0\end{array}\).

=> Có 10 điểm

Câu 5 :

Hai nguồn sóng cùng biên độ cùng tần số và ngược pha. Nếu khoảng cách giữa hai nguồn là: \(AB = 16,2\lambda \) thì số điểm đứng yên và số điểm dao động với biên độ cực đại trên đoạn $AB$ lần lượt là:

  • A.

    $32$ và $33$

  • B.

    $34$ và $33$

  • C.

    $33$ và $32$

  • D.

    $33$ và $34$

Đáp án : C

Phương pháp giải :

+ Áp dụng công thức tính số cực tiểu của hai nguồn ngược pha: \(\dfrac{{ – L}}{\lambda } < k < \dfrac{L}{\lambda }\)

+ Áp dụng công thức tính số cực đại của hai nguồn ngược pha: \(\dfrac{{ – L}}{\lambda } – \dfrac{1}{2} < k < \dfrac{L}{\lambda } – \dfrac{1}{2}\)

Lời giải chi tiết :

Do hai nguồn dao động ngược pha nên số điểm đứng yên trên đoạn AB là :

\(\begin{array}{l}\dfrac{{ – AB}}{\lambda } < k < \dfrac{{AB}}{\lambda } \leftrightarrow \dfrac{{ – 16,2\lambda }}{\lambda } < k < \dfrac{{16,2\lambda }}{\lambda }\\ – 16,2{\rm{ }} < {\rm{ }}k{\rm{ }} < {\rm{ }}16,2.\end{array}\)

=> Có $33$ điểm đứng yên (cực tiểu)

Số điểm cực đại là :

\(\begin{array}{l}\dfrac{{ – AB}}{\lambda } – \dfrac{1}{2} < k < \dfrac{{AB}}{\lambda } – \dfrac{1}{2} \leftrightarrow \dfrac{{ – 16,2\lambda }}{\lambda } – \dfrac{1}{2} < k < \dfrac{{16,2\lambda }}{\lambda } – \dfrac{1}{2}\\ – 16,7 < k < 15,7\end{array}\)

=> Có $32$ điểm cực đại

Câu 6 :

Trên mặt nước có hai nguồn kết hợp $A,B$ cách nhau $10 (cm)$ dao động theo các phương trình : \({u_1} = 0,2.cos(50\pi t + \pi )cm\) và : \({u_1} = 0,2.cos(50\pi t + \dfrac{\pi }{2})cm\). Biết vận tốc truyền sóng trên mặt nước là $0,5 (m/s)$. Tính số điểm cực đại và cực tiểu trên đoạn $A,B$.

  • A.

    $8$ và $8$

  • B.

    $9$ và $10$

  • C.

    $10$ và $10$

  • D.

    $11$ và $12$

Đáp án : C

Phương pháp giải :

+ Áp dụng công thức tính bước sóng: \(\lambda  = vT = v\dfrac{{2\pi }}{\omega }\)

+ Áp dụng công thức tính số cực đại, cực tiểu của hai nguồn vuông pha: \(\dfrac{{ – L}}{\lambda } – \dfrac{1}{4} < k < \dfrac{L}{\lambda } – \dfrac{1}{4}\)

Lời giải chi tiết :

Bước sóng :

\(\lambda  = vT = v\dfrac{{2\pi }}{\omega } = 0,5.\dfrac{{2\pi }}{{50\pi }} = 0,02(m) = 2cm\)

Nhìn vào phương trình ta thấy $A, B$ là hai nguồn dao động vuông pha nên số điểm dao động cực đại và cực tiểu là bằng nhau và thoã mãn : 

\(\begin{array}{l}\dfrac{{ – AB}}{\lambda } – \dfrac{1}{4} < k < \dfrac{{AB}}{\lambda } – \dfrac{1}{4} \leftrightarrow \dfrac{{ – 10}}{2} – \dfrac{1}{4} < k < \dfrac{{10}}{2} – \dfrac{1}{4}\\ – 5,25 < k < 4,75\end{array}\)

=> Có $10$ điểm dao động với biên độ cực đại và $10$ điểm dao động cực tiểu.

Câu 7 :

Trên mặt nước, hai nguồn kết hợp $A, B$ cách nhau $40cm$ luôn dao động cùng pha, có bước sóng $6cm$. Hai điểm $CD$ nằm trên mặt nước mà $ABCD$ là một hình chữ nhật, $AD = 30cm$. Số điểm cực đại và đứng yên trên đoạn $CD$ lần lượt là :

  • A.

    $5$ và $6$

  • B.

    $7$ và $6$

  • C.

    $13$ và $12$

  • D.

    $11$ và $10$

Đáp án : B

Phương pháp giải :

Áp dụng công thức xác định cực đại trên cạnh DC của hình chữ nhật của 2 nguồn cùng pha:

\(\dfrac{{AD – BD}}{\lambda } < k < \dfrac{{AC – BC}}{\lambda }\)

Lời giải chi tiết :

\(BD = AD = \sqrt {A{B^2} + A{D^2}}  = 50cm\)

Cách 1 :

Bước 1: Số điểm cực đại trên đoạn $DI$ thoã mãn :

\({d_2} – {d_1} = k\lambda  \Rightarrow k = \dfrac{{{d_2} – {d_1}}}{\lambda } = \dfrac{{BD – AD}}{\lambda } = \dfrac{{50 – 30}}{6} = 3,33\) Với k thuộc $Z$ lấy $k=3$

Vậy số điểm cực đại trên đoạn $CD$ là : $k’=2.k + 1=3.2 + 1=7$

Bước 2 : Số điểm cực tiểu trên đoạn $DI$ thoã mãn :

\({d_2} – {d_1} = (2k + 1)\dfrac{\lambda }{2} \Rightarrow 2k + 1 = \dfrac{{2({d_2} – {d_1})}}{\lambda } = \dfrac{{2(BD – AD)}}{\lambda } = \dfrac{{2(50 – 30)}}{6} = 6,67\) .

Giải suy ra $k = 2,83$ (Với k thuộc Z) nên lấy $k=3$ ( vì \(k = 2,83 > 2,5\) ta lấy cận trên là $3$)

Vậy số điểm cực tiểu trên đoạn $CD$ là : $k’ = 2.k = 2.3 = 6$

Cách 2 :

Do hai nguồn dao động cùng pha nên số điểm dao động với biên độ cực đại trên đoạn $CD$ thoã mãn :

Số điểm cực đại trên đoạn $CD$ thoã mãn :

\(\left\{ \begin{array}{l}{d_2} – {d_1} = k\lambda \\AD – BD < {d_2} – {d_1} < AC – BC\end{array} \right.\)

Suy ra :

\(AD – BD < k\lambda  < AC – BC\) Hay : \(\dfrac{{AD – BD}}{\lambda } < k < \dfrac{{AC – BC}}{\lambda }\). Hay : \(\dfrac{{30 – 50}}{6} < k < \dfrac{{50 – 30}}{6}\)

Giải ra : $-3,3<k<3,3$

Kết luận có $7$ điểm cực đại trên $CD$.

Số điểm cực tiểu trên đoạn $CD$ thoã mãn :

\(\left\{ \begin{array}{l}{d_2} – {d_1} = (2k + 1)\dfrac{\lambda }{2}\\AD – BD < {d_2} – {d_1} < AC – BC\end{array} \right.\)

Suy ra :

\(AD – BD < (2k + 1)\dfrac{\lambda }{2} < AC – BC\) Hay : \(\dfrac{{2(AD – BD)}}{\lambda } < 2k + 1 < \dfrac{{2(AC – BC)}}{\lambda }\). Thay số :

\(\dfrac{{2(30 – 50)}}{6} < 2k + 1 < \dfrac{{2(50 – 30)}}{6}\) Suy ra : \( – 6,67 < 2k + 1 < 6,67\)

 Vậy : $-3,8 < k < 2,835$. Kết luận có 6 điểm đứng yên.

Câu 8 :

Trên mặt nước có hai nguồn sóng giống nhau A và B, hai nguồn cùng pha, cách nhau khoảng \(AB = 10 cm\) đang dao động vuông góc với mặt nước tạo ra sóng có bước sóng \(λ= 0,5 cm\). C và D là hai điểm khác nhau trên mặt nước, CD vuông góc với AB tại M sao cho \(MA = 3 cm\); \(MC = MD = 4 cm\). Số điểm dao động cực đại trên CD là:

  • A.

    3

  • B.

    4

  • C.

    5

  • D.

    6

Đáp án : A

Phương pháp giải :

Áp dụng công thức xác định cực đại trên cạnh DC của hình chữ nhật của 2 nguồn cùng pha:

\(\dfrac{{BC – AC}}{\lambda } \le k \le \dfrac{{BM – AM}}{\lambda }\)

Lời giải chi tiết :

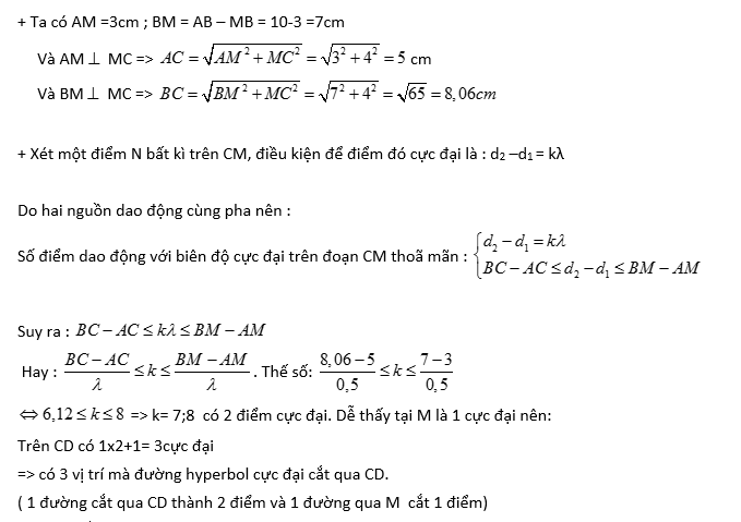
Câu 9 :

Ở mặt thoáng của một chất lỏng có hai nguồn kết hợp $A$ và $B$ cách nhau $20(cm)$ dao động theo phương thẳng đứng với phương trình \({u_A} = 2.cos(40\pi t)(mm)\) và \({u_B} = 2.cos(40\pi t + \pi )(mm)\). Biết tốc độ truyền sóng trên mặt chất lỏng là $30(cm/s)$. Xét hình vuông $ABCD$ thuộc mặt chất lỏng. Số điểm dao động với biên độ cực đại trên đoạn $BD$ là :

  • A.

    $17$

  • B.

    $18$

  • C.

    $19$

  • D.

    $20$

Đáp án : C

Phương pháp giải :

+ Áp dụng biểu thức xác định bước sóng: \(\lambda  = vT\)

+ Áp dụng điều kiện dao động cực đại của 2 nguồn ngược pha: \({d_2} – {d_1} = (2k + 1)\dfrac{\lambda }{2}\)

Lời giải chi tiết :

\(BD = \sqrt {A{D^2} + A{B^2}}  = 20\sqrt 2 (cm)\)

Với \(\omega  = 40\pi (rad/s) \Rightarrow T = \dfrac{{2\pi }}{\omega } = \dfrac{{2\pi }}{{40\pi }} = 0,05(s)\)

Vậy :

\(\lambda  = v.T = 30.0,05 = 1,5cm\)

Tìm số điểm dao động với biên độ cực đại trên đoạn $DB$ chứ không phải $DC$.

Nghĩa là điểm $C$ lúc này đóng vai trò là điểm $B$.

Do hai nguồn dao động ngược pha nên số cực đại trên đoạn $BD$ thoã mãn :

\(\left\{ \begin{array}{l}{d_2} – {d_1} = (2k + 1)\dfrac{\lambda }{2}\\AD – BD < {d_2} – {d_1} < AB – 0\end{array} \right.\) 

Suy ra :

\(AD – BD < (2k + 1)\dfrac{\lambda }{2} < AB\) Hay : \(\dfrac{{2(AD – BD)}}{\lambda } < 2k + 1 < \dfrac{{2AB}}{\lambda }\). Thay số :

\(\dfrac{{2(20 – 20\sqrt 2 )}}{{1,5}} < 2k + 1 < \dfrac{{2.20}}{{1,5}}\) =>\( – 11,04 < 2k + 1 < 26,67\) Vậy: -6,02<k<12,83. Có $19$ điểm cực đại

Câu 10 :

Trên mặt thoáng của chất lỏng có hai nguồn kết hợp A và B giống nhau dao động cùng tần số \(f = 8Hz\) tạo ra hai sóng lan truyền với \(v = 16cm/s\). Hai điểm MN nằm trên đường nối \(AB\), nằm ở hai phía của trung điểm O của đoạn AB và cách trung điểm O của AB các đoạn lần lượt là \(OM = 3,75 cm\), \(ON = 2,25cm\). Số điểm dao động với biên độ cực đại và cực tiểu trong đoạn MN là:

  • A.

    5 cực đại 6 cực tiểu

  • B.

    6 cực đại, 6 cực tiểu

  • C.

    6 cực đại , 5 cực tiểu

  • D.

    5 cực đại , 5 cực tiểu

Đáp án : B

Phương pháp giải :

+ Áp dụng biểu thức xác định bước sóng: \(\lambda  = \dfrac{v}{f}\)

+ Áp dụng điều kiện dao động cực đại của 2 nguồn cùng pha: ∆φ = 2kπ

+ Áp dụng điều kiện dao động cực tiểu của 2 nguồn cùng pha: ∆φ = (2k+1)π

Lời giải chi tiết :

Giả sử biểu thức sóng của hai nguồn \({u_1} = {\rm{ }}{u_2} = acos\omega t\)

Bước sóng:  \(\lambda  = \dfrac{v}{f} = \dfrac{{16}}{8} = 2cm\), O là trung điểm của AB

Xét điểm C trên MN: \(OC=d\) \((0 < d < \dfrac{{AB}}{2})\)

\(\left\{ \begin{array}{l}{u_{1M}} = ac{\rm{os(}}\omega t – \dfrac{{2\pi \left( {\dfrac{{AB}}{2} + d} \right)}}{\lambda }) = ac{\rm{os}}\left( {\omega t – \pi d – \dfrac{{AB}}{2}\pi } \right)\\{u_{2M}} = ac{\rm{os(}}\omega t – \dfrac{{2\pi \left( {\dfrac{{AB}}{2} – d} \right)}}{\lambda }) = ac{\rm{os}}\left( {\omega t + \pi d – \dfrac{{AB}}{2}\pi } \right)\end{array} \right.\)

+ Điểm M dao động với biên độ cực đại khi \({u_{{S_1}M}}\) và \({u_{{S_2}M}}\) cùng pha với nhau

\(2\pi d = 2k\pi  \Rightarrow d = k\)

Với :

\(\begin{array}{l} – 3,75 \le d \le 2,25\\ \Rightarrow  – 3,75 \le k \le 2,25\\ \Rightarrow k =  – 3, \pm 2, \pm 1,0\end{array}\)

=> Có 6 cực đại

+ Điểm M dao động với biên độ cực đại khi \({u_{{S_1}M}}\) và \({u_{{S_2}M}}\) ngược pha với nhau

\(\begin{array}{l}2\pi d = \left( {2k + 1} \right)\pi \\ \Rightarrow d = \dfrac{{2k + 1}}{2} = k + \dfrac{1}{2}\end{array}\)

Với

\(\begin{array}{l} – 3,75 \le d \le 2,25\\ \Rightarrow  – 3,75 \le k + \dfrac{1}{2} \le 2,25\\ \Leftrightarrow  – 4,25 \le k + \dfrac{1}{2} \le 1,75\\ \Rightarrow k =  – 4, – 3, – 2, \pm 1,0\end{array}\)

=> Có 6 cực tiểu .

Câu 11 :

Ở mặt chất lỏng có hai nguồn sóng A, B cách nhau 24 cm, dao động theo phương thẳng đứng với phương trình là uA=uB=acos60πt (với t tính bằng s). Tốc độ truyền sóng của mặt chất lỏng là v=45cm/s. Gọi MN=4cm là đoạn thẳng trên mặt chất lỏng có chung trung trực với AB. Khoảng cách xa nhất giữa MN với AB là bao nhiêu để có ít nhất 5 điểm dao động cực đại nằm trên MN?

  • A.

    12,7 cm

  • B.

    10,5 cm

  • C.

    14,2 cm

  • D.

    6,4 cm

Đáp án : B

Phương pháp giải :

+ Áp dụng biểu thức xác định bước sóng: \(\lambda  = \dfrac{v}{f}\)

+ Áp dụng điều kiện dao động cực đại của 2 nguồn cùng pha: d2 – d1 = kλ

Lời giải chi tiết :

Bước sóng \(\lambda  = \dfrac{v}{f} = \dfrac{{45}}{{30}} = 1,5cm\)

Muốn trên MN có ít nhất 5 điểm dao động với biên độ cực đại thì M và N phải thuộc đường cực đại thứ 2 tính từ cực đại trung tâm.

Xét M ta có \({d_2} – {d_1} = 2\lambda  = 2.1,5 = 3cm\)  (1) (cực đại thứ 2 nên k=2)

Ta có : \(OA = OB = \dfrac{{AB}}{2} = \dfrac{{24}}{2} = 12cm\)

\(OI = \dfrac{{MN}}{2} = \dfrac{4}{2} = 2cm\)

\( \Rightarrow \left\{ \begin{array}{l}BI = OB + OI = 12 + 2 = 14cm\\AI = AB – BI = 24 – 14 = 10cm\end{array} \right.\)

Suy ra : \(\left\{ \begin{array}{l}{d_2} = \sqrt {M{I^2} + B{I^2}}  = \sqrt {{x^2} + {{14}^2}} \\{d_1} = \sqrt {M{I^2} + A{I^2}}  = \sqrt {{x^2} + {{10}^2}} \end{array} \right.\)

Thay vào (1), ta được :

\(\begin{array}{l}\sqrt {{x^2} + {{14}^2}}  – \sqrt {{x^2} + {{10}^2}}  = 3\\ \Rightarrow x = 10,5cm\end{array}\)

Câu 12 :

Hai nguồn sóng kết hợp giống hệt nhau được đặt cách nhau một khoảng cách x trên đường kính của một vòng tròn bán kính \(R\) \((x << R)\) và đối xứng qua tâm của vòng tròn. Biết rằng mỗi nguồn đều phát sóng có bước sóng \(λ\) và  \(x = 6λ\). Số điểm dao động cực đại trên vòng tròn là:

  • A.

    26

  • B.

    24

  • C.

    22

  • D.

    20

Đáp án : C

Phương pháp giải :

Áp dụng điều kiện dao động cực đại của 2 nguồn cùng pha: d2 – d1 = kλ

+ Số điểm dao động trên vòng tròn là 2N (không tính nguồn)

Lời giải chi tiết :

Cách 1:  Xét điểm M trên AB  (AB = 2x = 12l)   AM = d1;   BM = d2

  d1 – d2 = kλ;   d1 + d2 = 6λ;

 => d1 = (3 + 0,5k)λ

 0 ≤ d1 = (3 + 0,5k)λ ≤  6λ

=> – 6 ≤ k ≤ 6

Số điểm dao động cực đại trên AB  là 13 điểm kể cả hai nguồn A, B.

Nhưng số đường cực đại cắt đường tròn chỉ có 11 vì vậy, số điểm dao động cực đại trên vòng tròn là 22.

Cách 2: Các vân cực đại gồm các đường hyperbol nhận 2 nguồn làm tiêu điểm nên tại vị trí nguồn không có các hyperbol do đó khi giải bài toán này ta chỉ có

\( – 6\lambda  < k\lambda  < 6\lambda \)

( không có dấu bằng) nên chỉ có 11 vân cực đại do đó cắt đường tròn 22 điểm cực đại .

Câu 13 :

Trên bề mặt chất lỏng có hai nguồn kết hợp $AB$ cách nhau $40cm$ dao động cùng pha. Biết sóng do mỗi nguồn phát ra có tần số $f=10(Hz)$, vận tốc truyền sóng $2(m/s)$. Gọi $M$ là một điểm nằm trên đường vuông góc với $AB$ tại $A$ và dao đông với biên độ cực đại. Đoạn $AM$ có giá trị lớn nhất là :

  • A.

    $20cm$

  • B.

    $30cm$

  • C.

    $40cm$

  • D.

    $50cm$

Đáp án : B

Phương pháp giải :

+ Áp dụng biểu thức xác định bước sóng: \(\lambda  = \dfrac{v}{f}\)

+ Áp dụng điều kiện dao động cực đại của 2 nguồn cùng pha: \(d_2 – d_1 = kλ\)

Lời giải chi tiết :

Ta có  

\(\lambda  = \dfrac{v}{f} = \dfrac{{200}}{{10}} = 20(cm)\).

Do M là một cực đại giao thoa nên để  đoạn AM có giá trị lớn nhất thì M phải nằm trên vân cực đại bậc 1 như hình vẽ và thõa mãn:

\({d_2} – {d_1} = k\lambda  = 1.20 = 20(cm)\) (1). ( do lấy k = +1)

Mặt khác, do tam giác AMB là tam giác vuông tại A nên ta có :

  \(BM = {d_2} = \sqrt {(A{B^2}) + (A{M^2})}  = \sqrt {{{40}^2} + {d_1}^2} (2)\)

Thay (2) vào (1) ta được :

\(\sqrt {{{40}^2} + {d_1}^2}  – {d_1} = 20 \Rightarrow {d_1} = 30(cm)\)

Câu 14 :

Trên bề mặt chất lỏng có hai nguồn kết hợp \(AB\) cách nhau \(100cm\) dao động cùng pha. Biết sóng do mỗi nguồn phát ra có tần số \(f=10(Hz)\), vận tốc truyền sóng \(3(m/s)\). Gọi \(M\) là một điểm nằm trên đường vuông góc với \(AB\) tại đó \(M\) dao đông với biên độ cực đại. Đoạn \(AM\) có giá trị nhỏ nhất là :

  • A.

    \(5,28 cm\)

  • B.

    \(10,56 cm\)

  • C.

    \(12 cm\)

  • D.

    \(30 cm\)

Đáp án : B

Phương pháp giải :

+ Áp dụng biểu thức xác định bước sóng: \(\lambda  = \dfrac{v}{f}\)

+ Áp dụng biểu thức xác định số điểm dao động với biên độ cực đại của hai nguồn cùng pha : \(\dfrac{{ – AB}}{\lambda } < k < \dfrac{{AB}}{\lambda }\)

Lời giải chi tiết :

Ta có  

\(\lambda  = \dfrac{v}{f} = \dfrac{{300}}{{10}} = 30(cm)\).

Số vân dao động với biên độ dao động cực đại trên đoạn AB  thõa mãn điều kiện :

\( – AB < {d_2} – {d_1} = k\lambda  < AB\).

Hay :

\(\dfrac{{ – AB}}{\lambda } < k < \dfrac{{AB}}{\lambda } \Leftrightarrow \dfrac{{ – 100}}{3} < k < \dfrac{{100}}{3} \Leftrightarrow  – 3,3 < k < 3,3\). =>\(k = 0, \pm 1, \pm 2, \pm 3\).

=>Đoạn AM có giá trị bé nhất thì M phải nằm trên đường cực đại bậc 3 (kmax) như hình vẽ và thõa mãn : \({d_2} – {d_1} = k\lambda  = 3.30 = 90(cm)\)

(1) ( do lấy k=3) Mặt khác, do tam giác AMB là tam giác vuông tại A nên ta có :

\(BM = {d_2} = \sqrt {(A{B^2}) + (A{M^2})}  = \sqrt {{{100}^2} + {d_1}^2} (2)\) 

Thay (2) vào (1) ta được :

\(\sqrt {{{100}^2} + {d_1}^2}  – {d_1} = 90 \Rightarrow {d_1} = 10,56(cm)\)

Câu 15 :

Giao thoa sóng nước với hai nguồn giống hệt nhau A, B cách nhau 20cm có tần số 50Hz. Tốc độ truyền sóng trên mặt nước là 1,5m/s. Trên mặt nước xét đường tròn tâm A, bán kính AB. Điểm trên đường tròn dao động với biên độ cực đại cách đường thẳng qua A, B một đoạn gần nhất là:

  • A.

    18,67mm

  • B.

    17,96mm

  • C.

    19,97mm

  • D.

    15,34mm

Đáp án : C

Phương pháp giải :

Áp dụng điều kiện dao động cực đại của 2 nguồn cùng pha: d2 – d1 = kλ

Lời giải chi tiết :

\( =  > h = \sqrt {d_2^2 – {x^2}}  = \sqrt {{{20}^2} – 1}  = \sqrt {399}  = 19,97mm\)

Câu 16 :

Hai nguồn sóng $AB$ cách nhau $1 m$ dao động cùng pha với bước sóng $0,5m$. $I$ là trung điểm $AB$. $H$ là điểm nằm trên đường trung trực của $AB$ cách $I$ một đoạn $1,5m$. Gọi $d$ là đường thẳng qua $H$ và song song với $AB$. Tìm điểm $M$ thuộc $d$ và gần $H$ nhất, dao động với biên độ cực đại. (Tìm khoảng cách $MH$)

  • A.

    $0,9m$

  • B.

    \(2,75m\)

  • C.

    $3,25m$

  • D.

    \(0,8125m\)

Đáp án : A

Phương pháp giải :

Áp dụng điều kiện dao động cực đại của 2 nguồn cùng pha: \({d_2} – {\text{ }}{d_1} = {\text{ }}k\lambda \)

Lời giải chi tiết :

Cách 1:

Vì A và B cùng pha, do đó I dao động với biên độ cực đại.

Gọi N là giao của đường cực đại qua M và đường AB.

Vì M gần H nhất và dao động với biên độ cực đại nên

\(NI = \dfrac{\lambda }{2} = 0,25m\)

Theo tính chất về đường Hypecbol ta có:

Khoảng cách $BI{\rm{ }} = {\rm{ }}c{\rm{ }} = {\rm{ }}0,5m$

Khoảng cách $IN{\rm{ }} = {\rm{ }}a{\rm{ }} = {\rm{ }}0,25m$

Mà ta có ${b^2} + {a^2} = {c^2}$ . Suy ra ${b^2} = {a^2} – {c^2} = 0,{5^2} – 0,{25^2} = 0,1875$

Toạ độ điểm M là x, y thoả mãn:  $\dfrac{{{x^2}}}{{{a^2}}} – \dfrac{{{y^2}}}{{{b^2}}} = 1$

Với $x{\rm{ }} = {\rm{ }}MH,{\rm{ }}y{\rm{ }} = {\rm{ }}HI{\rm{ }} = 1,5m$

$\dfrac{{M{H^2}}}{{0,{{25}^2}}} – \dfrac{{1,{5^2}}}{{0,1875}} = 1 \to MH = 0,9m$

Cách 2:

Vì A và B cùng Hha và M gần H nhất và dao động với

biên độ cực đại nên M thuộc cực đại ứng với $k{\rm{ }} = 1$

Ta có: \(MA – MB = k\lambda  = \lambda \)

Theo hình vẽ ta có: $\sqrt {A{Q^2} + M{Q^2}}  – \sqrt {B{Q^2} + M{Q^2}}  = \lambda $

Đặt $MH{\rm{ }} = {\rm{ }}IQ{\rm{ }} = {\rm{ }}x$ , có $HI{\rm{ }} = {\rm{ }}MQ{\rm{ }} = 1,5m$

Ta có:

$\begin{array}{l}\sqrt {{{(0,5 + x)}^2} + 1,{5^2}}  – \sqrt {{{(0,5 – x)}^2} + 1,{5^2}}  = 0,5\\ \to x = 0,9m\end{array}$

Câu 17 :

Ở mặt nước, tại hai điểm A và B cách nhau \(19 cm\), có hai nguồn kết hợp dao động cùng pha theo phương thẳng đứng, phát ra hai sóng có bước sóng \(4 cm\). Trong vùng giao thoa, M là một điểm ở mặt nước thuộc đường trung trực của AB. Trên đoạn AM, số điểm cực tiểu giao thoa là

  • A.

    \(7\)

  • B.

    \(4\)

  • C.

    \(5\)

  • D.

    \(6\)

Đáp án : C

Phương pháp giải :

Áp dụng điều kiện có cực tiểu giao thoa với hai nguồn cùng pha : \({d_1} – {d_2} = (2k + 1)\dfrac{\lambda }{2}\)

Lời giải chi tiết :

Số điểm dao động với biên độ cực tiểu trên đoạn AM bằng số giá trị k thỏa mãn điều kiện

\(\begin{array}{l}BM – AM \le {d_2} – {d_1} < AB \Leftrightarrow 0 \le \left( {k + \dfrac{1}{2}} \right)4 < 19\\ – 0,5 < k < 4,25 =  > k = 0;1;2;3;4\end{array}\)

Có 5 giá trị k thỏa mãn điều kiện.

Câu 18 :

Hai nguồn kết hợp A, B cách nhau \(16cm\) đang cùng dao động vuông góc với mặt nước theo phương trình \(u = acos50\pi t\left( {cm} \right)\). Xét một điểm C trên mặt nước thuộc cực tiểu giao thoa, giữa C và trung trực của AB có một đường cực đại giao thoa. Biết \(AC = 17,2cm\); \(BC = 13,6cm\). Số điểm cực đại trên đoạn thẳng \(AC\) là

  • A.
    6
  • B.
    7
  • C.
    8
  • D.
    5

Đáp án : C

Phương pháp giải :

+ Sử dụng điều kiện cực tiểu giao thoa: \({d_2} – {d_1} = \left( {2k + 1} \right)\dfrac{\lambda }{2}\)

+ Vận dụng biểu thức tính số điểm cực đại giao thoa

Lời giải chi tiết :

Ta có, giữa C và trung trực AB có một đường cực đại giao thoa

\( \Rightarrow C\) là cực tiểu bậc 2

\(\begin{array}{l}CA – CB = 1,5\lambda \\ \Leftrightarrow 17,2 – 13,6 = 1,5\lambda \\ \Rightarrow \lambda  = 2,4cm\end{array}\)

Số điểm cực đại trên AC là:

\({d_{1A}} – {d_{2A}} \le k\lambda  \le {d_{1C}} – {d_{2C}}\)

\( \Leftrightarrow 0 – 16 \le k.2,4 \le 17,2 – 13,6\)

\( \Leftrightarrow  – 6,6 \le k \le 1,5\)

Suy ra có 8 điểm cực đại trên đoạn thẳng AC

Câu 19 :

Ở mặt chất lỏng, tại hai điểm \({S_1}\) và \({S_2}\) cách nhau 28 cm có hai nguồn dao động cùng pha theo phương thẳng đứng phát ra sóng kết hợp. Gọi \({\Delta _1}\) và \({\Delta _2}\) là hai đường thẳng ở mặt chất lỏng cùng vuông góc với đoạn thẳng  \({S_1}\) \({S_2}\) và cách nhau 9 cm. Biết số điểm cục đại giao thoa trên \({\Delta _1}\)và \({\Delta _2}\) tương ứng là 7 và 3. Số điểm cực đại giao thoa trên đoạn thẳng \({S_1}{S_2}\) là

  • A.
    19
  • B.
    7
  • C.
    9
  • D.
    17

Đáp án : A

Phương pháp giải :

Khoảng cách giữa hai cực đại liên tiếp trên đường nối hai nguồn: \(\dfrac{\lambda }{2}\)

Số cực đại trên đường nối hai nguồn: \(n = 2\left[ {\dfrac{{{S_1}{S_2}}}{\lambda }} \right] + 1\)

Lời giải chi tiết :

Ta có hình vẽ:

 

Từ hình vẽ ta thấy, để trên \({\Delta _1}\) có 7 cực đại, tại điểm A là cực đại bậc 4 \( \Rightarrow IA = 4\dfrac{\lambda }{2} = 2\lambda \)

Trên \({\Delta _2}\) có 3 cực đại, tại điểm B là cực đại bậc 2 \( \Rightarrow IB = 2\dfrac{\lambda }{2} = \lambda \)

Khoảng cách giữa \({\Delta _1}\) và \({\Delta _2}\) là:

\(AB = 3\lambda  = 9\left( {cm} \right) \Rightarrow \lambda  = 3\left( {cm} \right)\)

Số điểm cực đại trên đoạn \({S_1}{S_2}\) là: \(n = 2\left[ {\dfrac{{{S_1}{S_2}}}{\lambda }} \right] + 1 = 2.\left[ {\dfrac{{28}}{3}} \right] + 1 = 19\) (cực đại)

Câu 20 :

Trên bề mặt chất lỏng có đặt hai nguồn kết hợp A, B cách nhau 46,25cm và dao động cùng pha. Sóng do mỗi nguồn phát ra có tần số f=40Hz, vận tốc truyền sóng là 5m/s. Trên mặt chất lỏng, gọi M là một điểm nằm trên đường thẳng vuông góc với AB tại A và dao động với biên độ cực tiểu. Đoạn BM có giá trị cực đại là

  • A.
    174,25cm
  • B.
     47,30cm
  • C.
    46,25cm
  • D.
    91,80cm

Đáp án : A

Phương pháp giải :

+ Sử dụng biểu thức: \(\lambda  = \dfrac{v}{f}\)

+ Sử dụng điều kiện cực tiểu dao động: \({d_2} – {d_1} = \left( {2k + 1} \right)\dfrac{\lambda }{2}\)

Lời giải chi tiết :

Ta có:

+ Bước sóng: \(\lambda  = \dfrac{v}{f} = \dfrac{5}{{40}} = 0,125m = 12,5cm\)

M dao động với biên độ cực tiểu \( \Rightarrow AM – BM = \left( {2k + 1} \right)\dfrac{\lambda }{2}\)

Để đoạn \(BM\) cực đại \( \Rightarrow M\) là cực tiểu ứng với \(k =  – 1\)

\( \Rightarrow AM – BM =  – \dfrac{\lambda }{2}\)

\(\begin{array}{l} \Leftrightarrow \sqrt {B{M^2} – A{B^2}}  – BM =  – \dfrac{\lambda }{2}\\ \Rightarrow \sqrt {B{M^2} – A{B^2}}  = BM – \dfrac{\lambda }{2}\\ \Rightarrow \left\{ \begin{array}{l}BM \ge \dfrac{\lambda }{2}\\B{M^2} – A{B^2} = B{M^2} – BM\lambda  + \dfrac{{{\lambda ^2}}}{4}\end{array} \right.\\ \Rightarrow BM = \dfrac{{A{B^2} + \dfrac{{{\lambda ^2}}}{4}}}{\lambda } = \dfrac{{46,{{25}^2} + \dfrac{{12,{5^2}}}{4}}}{{12,5}} = 174,25cm\end{array}\)

Câu 21 :

Trên mặt nước, hai nguồn kết hợp A, B cách nhau 40cm luôn dao động cùng pha, có bước sóng 6cm. Hai điểm CD nằm trên mặt nước mà ABCD là một hình chữ nhật, AD = 30cm. Số điểm cực đại và đứng yên trên đoạn CD lần lượt là

 

  • A.
     5 và 6           
  • B.
    13 và 12    
  • C.
     11 và 10        
  • D.
    7 và 6

Đáp án : D

Phương pháp giải :

Số điểm cực đại giao thoa trên đoạn CD bằng số giá trị k nguyên thoả mãn:

\(\dfrac{{\Delta {d_C}}}{\lambda } \le k \le \dfrac{{\Delta {d_D}}}{\lambda }\)

Số điểm đứng yên trên đoạn CD bằng số giá trị k nguyên thoả mãn:

\(\dfrac{{\Delta {d_C}}}{\lambda } – \dfrac{1}{2} \le k \le \dfrac{{\Delta {d_D}}}{\lambda } – \dfrac{1}{2}\)

Lời giải chi tiết :

 

Áp dụng định lí Pitago ta có: \(DB = CA = 50cm\)

+ Số điểm cực đại giao thoa trên đoạn CD bằng số giá trị k nguyên thoả mãn:

\(\begin{array}{l}\dfrac{{CB – CA}}{\lambda } \le k \le \dfrac{{DB – DA}}{\lambda } \Leftrightarrow \dfrac{{30 – 50}}{6} \le k \le \dfrac{{50 – 30}}{6}\\ \Leftrightarrow  – 3,3 \le k \le 3,3 \Rightarrow k =  – 3; – 2;…;3\end{array}\)

Có 7 giá trị của k nguyên thoả mãn nên có 7 cực đại giao thoa

+ Số điểm đứng yên trên đoạn CD bằng số giá trị k nguyên thoả mãn:

\(\begin{array}{l}\dfrac{{CB – CA}}{\lambda } – \dfrac{1}{2} \le k \le \dfrac{{DB – DA}}{\lambda } – \dfrac{1}{2}\\ \Leftrightarrow \dfrac{{30 – 50}}{6} – \dfrac{1}{2} \le k \le \dfrac{{50 – 30}}{6} – \dfrac{1}{2}\\ \Leftrightarrow  – 3,8 \le k \le 2,8 \Rightarrow k =  – 3; – 2;…;2\end{array}\)

Có 6 giá trị của k nguyên thoả mãn nên có 6 điểm đứng yên.

Câu 22 :

Trong thí nghiệm giao thoa sóng nước với hai nguồn kết hợp cùng pha và cùng biên độ, cùng bước sóng λ. Người ta thấy phần tử nước tại điểm M không dao động. Hiệu khoảng cách từ M đến hai nguồn có thể nhận giá trị nào sau đây?

  • A.
    \(\dfrac{\lambda }{4}\).
  • B.
  • C.
    λ
  • D.
    \(\dfrac{\lambda }{2}\).

Đáp án : D

Phương pháp giải :

Điểm đứng yên không dao động là điểm cực tiểu

Điều kiện có cực tiểu giao thoa: \({d_2} – {d_1} = \left( {k + \dfrac{1}{2}} \right)\lambda \)

Lời giải chi tiết :

Điểm M không dao động là điểm cực tiểu, có:

\({d_2} – {d_1} = \left( {k + \dfrac{1}{2}} \right)\lambda  = \dfrac{\lambda }{2}\)

Câu 23 :

Trong thí nghiệm giao thoa sóng nước, hai nguồn kết hợp A và B dao động cùng pha với tần số \(20 Hz.\) Người ta thấy điểm M dao động cực đại và giữa M với đường trung trực của AB có một đường không dao động. Điểm M thuộc cực đại ứng với

  • A.
     \(k = -4\)
  • B.
     \(k = 3\)
  • C.
     \(k = 1\)
  • D.
     \(k = 2\)

Đáp án : C

Phương pháp giải :

Điều kiện có cực đại giao thoa trong giao thoa sóng hai nguồn cùng pha : \({d_2} – {d_1} = k\lambda ;\,k \in Z\)

Lời giải chi tiết :

Ta có hình ảnh giao thoa sóng:

Giữa \(M\) và đường trung trực của \(AB\) có một đường không dao động

\( \Rightarrow \) Điểm \(M\) thuộc cực đại ứng với \(k = 1.\)

Câu 24 :

Đề thi THPT QG – 2020

Thí nghiệm giao thoa sóng ở mặt chất lỏng với hai nguồn kết hợp đặt tại AB cách nhau 10,6 cm dao động cùng pha theo phương thẳng đứng. Trên đoạn thẳng AB, khoảng cách từ A tới cực đại giao thoa xa A nhất là 10,0 cm. Biết số vân giao thoa cực đại nhiều hơn số vân giao thoa cực tiểu. Số vân giao thoa cực đại nhiều nhất là

  • A.
    11
  • B.
    7
  • C.
    5
  • D.
    9

Đáp án : B

Phương pháp giải :

+ Sử dụng điều kiện cực đại giao thoa: \({d_2} – {d_1} = k\lambda \)

+ Sử dụng phương pháp suy luận hình học.

Lời giải chi tiết :

Gọi C là vị trí cực đại xa A nhất.

Từ hình ta có: \(d + \frac{\lambda }{4} > AB \Rightarrow \lambda  > 4\left( {AB – d} \right) = 2,4cm\)  (1) \( \Rightarrow \frac{{AB}}{\lambda } < \frac{{AB}}{{2,4}} = 4,42\)

+ Xét trường hợp có 4 cực đại ở mỗi bên của đường trung trực của AB.

Điểm C phải thỏa mãn: \(CA – CB = 4\lambda \)

\( \Rightarrow \lambda  = \frac{{CA – CB}}{4} = \frac{{CA – \left( {AB – CA} \right)}}{4} = \frac{{2CA – AB}}{4} = 2,35cm\) trái với (1)\( \Rightarrow \) Loại

+ Xét trường hợp có 3 cực đại ở mỗi bên của trung trực của AB.

Điểm C phải thỏa mãn: \(CA – CB = 3\lambda \)

\( \Rightarrow \lambda  = \frac{{CA – CB}}{3} = \frac{{CA – \left( {AB – CA} \right)}}{3} = \frac{{2CA – AB}}{3} = 3,13cm\) thỏa mãn (1)

\( \Rightarrow \) Vậy có 7 cực đại tối đa trên AB

Câu 25 :

Đề thi thử THPT chuyên Lam Sơn – 2021

Ở mặt chất lỏng, tại hai điểm A và B có hai nguồn dao động cùng pha theo phương vuông góc với mặt chất lỏng phát ra hai sóng kết hợp với bước sóng \(\lambda \). Gọi C, D là hai điểm ở mặt chất lỏng sao cho ABCD là hình vuông. I là trung điểm của AB. M là một điểm nằm trong hình vuông ABCD xa I nhất mà phần tử chất lỏng tại đó dao động với biên độ cực đại và cùng pha với nguồn. Biết \(AB = 2,4\lambda \). Độ dài đoạn thẳng MI gần nhất giá trị nào sau đây?

  • A.
    \(2,93\lambda .\)
  • B.
    \(2,25\lambda .\)
  • C.
    \(1,60\lambda .\)
  • D.
    \(2,35\lambda .\)

Đáp án : B

Phương pháp giải :

+ Sử dụng điều kiện cực đại giao thoa của hai nguồn cùng pha: \({d_2} – {d_1} = k\lambda \)

+ Sử dụng công thức đường trung tuyến trong tam giác.

Lời giải chi tiết :

Chuẩn hóa, ta cho \(\lambda  = 1 \Rightarrow \left\{ \begin{array}{l}AB = 2,4\\AC = AB\sqrt 2  = 2,4\sqrt 2 \end{array} \right.\)

M dao động với biên độ cực đại, cùng pha với nguồn:

\(\left\{ \begin{array}{l}MA = {k_1}\lambda  = {k_1}\\MB = {k_2}\lambda  = {k_2}\end{array} \right.\) với \({k_1},{k_2}\) là số nguyên.

Ta có:

*\(CI\) là trung tuyến của \(\Delta CAB\) nên ta có: \(C{I^2} = \frac{{A{C^2} + B{C^2}}}{2} – \frac{{A{B^2}}}{4}\)

\( \Rightarrow CI = \sqrt {\frac{{{{\left( {2,4\sqrt 2 } \right)}^2} + 2,{4^2}}}{2} – \frac{{2,{4^2}}}{4}}  = \frac{{6\sqrt 5 }}{5}\)

* MI là trung tuyến của \(\Delta MAB\) nên ta có: \(M{I^2} = \frac{{M{A^2} + M{B^2}}}{2} – \frac{{A{B^2}}}{4}\)

Lại có M là 1 điểm nằm trong hình vuông ABCD nên:

+ \(MA < AC \Leftrightarrow {k_1} < 2,4\sqrt 2  = 3,39 \Rightarrow {k_1} \le 3\)

+ \(MI < CI \Leftrightarrow \frac{{M{A^2} + M{B^2}}}{2} – \frac{{A{B^2}}}{4} < B{C^2} + B{I^2}\)

\(\begin{array}{l} \Leftrightarrow \frac{{M{A^2} + M{B^2}}}{2} – \frac{{A{B^2}}}{4} < A{B^2} + \frac{{A{B^2}}}{4}\\ \Rightarrow \frac{{M{A^2} + M{B^2}}}{2} < \frac{3}{2}A{B^2} = \frac{3}{2}.2,{4^2} = 8,64\end{array}\)

\( \Rightarrow M{A^2} + M{B^2} < 17,28 \Rightarrow k_1^2 + k_2^2 < 17,28\,\,\,\,\left( 1 \right)\)

Lại có: \(M{B^2} + A{B^2} > M{A^2} \Rightarrow k_2^2 + 2,{4^2} > k_1^2\,\,\,\left( 2 \right)\)

Đặt \(MH = x\) \(\left( {x < 2,4} \right)\)\( \Rightarrow \sqrt {M{A^2} – {x^2}}  + \sqrt {M{B^2} – {x^2}}  = AB\)

\( \Rightarrow \sqrt {k_1^2 – {x^2}}  + \sqrt {k_2^2 – {x^2}}  = 2,4\,\,\,\,\,\left( 3 \right)\)

Xét các cặp \({k_1}\) và \({k_2}\) thỏa mãn (1), (2) và (3) ta tìm được \(\left\{ \begin{array}{l}{k_1} = 3\\{k_2} = 2\end{array} \right.\) \(\)

\( \Rightarrow MI = \sqrt {\frac{{k_1^2 + k_2^2}}{2} – \frac{{2,{4^2}}}{4}}  = 2,2494\)

Câu 26 :

Hai nguồn phát sóng kết hợp tại A, B trên mặt nước cách nhau 12cm phát ra hai dao động điều hòa cùng tần số 20Hz, cùng biên độ và cùng pha ban đầu. Xét điểm M trên mặt nước cách A, B những đoạn lần lượt là 4,2cm và 9cm. Tốc độ truyền sóng trên mặt nước là 32cm/s. Muốn M là một điểm dao động với biên độ cực tiểu thì phải dịch chuyển nguồn tại B dọc đường nối A, B từ vị trí ban đầu ra xa nguồn A một đoạn nhỏ nhất là:

  • A.
     0,53 cm.    
  • B.
     1,03 cm.          
  • C.
     0,23 cm.   
  • D.
     0,83 cm.

Đáp án : D

Phương pháp giải :

Bước sóng: \(\lambda  = \dfrac{v}{f}\)

Điều kiện có cực đại giao thoa: \({d_2} – {d_1} = k\lambda ;\,k \in Z\)

Điều kiện có cực tiểu giao thoa: \({d_2} – {d_1} = \left( {k + \dfrac{1}{2}} \right)\lambda ;\,k \in Z\)

Vẽ hình, sử dụng các định lí toán học: hàm số cos, định lí Pitago,….

Lời giải chi tiết :

Bước sóng: \(\lambda  = \dfrac{v}{f} = \dfrac{{32}}{{20}} = 1,6cm\)

Xét tỉ số: \(\dfrac{{{d_2} – {d_1}}}{\lambda } = \dfrac{{9 – 4,2}}{{1,6}} = 3\)

Vậy ban đầu M nằm trên cực đại bậc 3.

Dịch chuyển B ra xa một đoạn ∆d, để đoạn này là nhỏ nhất thì khi đó M phải nằm trên cực tiểu thứ 4 với:

\({d_2}’ – {d_1} = \left( {3 + \dfrac{1}{2}} \right)\lambda  = 3,5\lambda  = 3,5.1,6 = 5,6cm \Rightarrow {d_2}’ = 9,8cm\)

Áp dụng đinh lí hàm số cos cho tam giác MAB ta có:

\(\begin{array}{l}M{B^2} = M{A^2} + A{B^2} – 2.AM.AB.cosA\\ \Rightarrow cosA = \dfrac{{M{A^2} + A{B^2} – M{B^2}}}{{2.AM.AB}} = \dfrac{{4,{2^2} + {{12}^2} – {9^2}}}{{2.4,2.12}} = 0,8\end{array}\)

\( \Rightarrow \left\{ \begin{array}{l}AH = AM.\cos A = 4,2.0,8 = 3,36cm\\MH = AM.sinA = 4,2.0,6 = 2,52cm\end{array} \right.\)

Áp dụng định lí Pitago trong tam giác vuông MHB’ ta có:

\(HB’ = \sqrt {MB{‘^2} – M{H^2}}  = \sqrt {9,{8^2} – 2,{{52}^2}}  = 9,47cm\)

Đoạn dịch chuyển:

\(\begin{array}{l}BB’ = HB’ – HB = HB’ – \left( {AB – AH} \right)\\ \Rightarrow BB’ = 9,47 – \left( {12 – 3,36} \right) = 0,83cm\end{array}\)

TẢI APP ĐỂ XEM OFFLINE