Câu 17 trang 204 SGK Đại số và Giải tích 11 Nâng cao

Tìm đạo hàm của mỗi hàm số sau (a và b là hằng số)

Lựa chọn câu để xem lời giải nhanh hơn

Tìm đạo hàm của mỗi hàm số sau (a và b là hằng số

LG a

\(y = {x^5} – 4{x^3} + 2x – 3\sqrt x \)

Phương pháp giải:

Sử dụng công thức

+) \(\left( {{x^n}} \right)’ = n{x^{n – 1}}\)

+) \(\left( {\sqrt x } \right)’ = \dfrac{1}{{2\sqrt x }}\)

và các công thức đạo hàm của tổng, hiệu, tích một hàm số với một số thực.

Lời giải chi tiết:

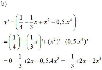
LG b

\(y = {1 \over 4} – {1 \over 3}x + {x^2} – 0,5{x^4}\)

Lời giải chi tiết:

LG c

 \(y = {{{x^4}} \over 4} – {{{x^3}} \over 3} + {{{x^2}} \over 2} – x + {a^3}\)

Lời giải chi tiết:

\(y’ = {x^3} – {x^2} + x – 1\)

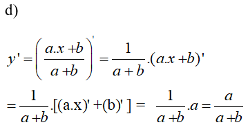
LG d

\(y = {{ax + b} \over {a + b}}\)

Lời giải chi tiết:

\(y = {a \over {a + b}}\)

Webgiaibaitap.com

TẢI APP ĐỂ XEM OFFLINE

ĐẠI SỐ VÀ GIẢI TÍCH – TOÁN 11 NÂNG CAO