Câu 19 trang 204 SGK Đại số và Giải tích 11 Nâng cao

Tìm đạo hàm của mỗi hàm số sau

Lựa chọn câu để xem lời giải nhanh hơn

Tìm đạo hàm của mỗi hàm số sau

LG a

 \(y = {\left( {x – {x^2}} \right)^{32}}\)

Phương pháp giải:

Công thức \(\left( {{u^n}} \right)’ = n{u^{n – 1}}u’\)

Lời giải chi tiết:

y’ = 32.(x- x2)31.(x – x2)’

= 32(x – x2)31.(1 – 2x)

Vậy \(y’ = 32{\left( {x – {x^2}} \right)^{31}}\left( {1 – 2x} \right)\)

LG b

\(y = {1 \over {x\sqrt x }}\)

Phương pháp giải:

Sử dụng công thức \(\left( {\frac{1}{u}} \right)’ = \frac{{ – u’}}{{{u^2}}}\)

Lời giải chi tiết:

\( \Rightarrow \left( {\frac{1}{{x\sqrt x }}} \right)’ = \frac{{ – \left( {x\sqrt x } \right)’}}{{{{\left( {x\sqrt x } \right)}^2}}} \) \(= \frac{{ – \frac{{3\sqrt x }}{2}}}{{{x^2}.x}} =  – \frac{3}{{2{x^2}\sqrt x }}\)

\(y’ = {{ – 3} \over {2{x^2}\sqrt x }}\)

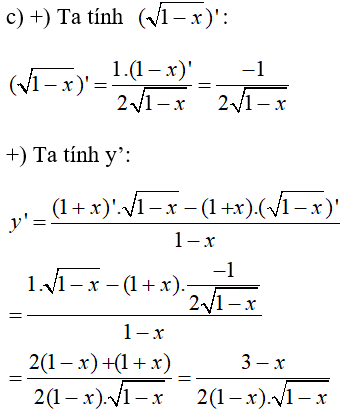
LG c

\(y = {{1 + x} \over {\sqrt {1 – x} }}\)

Phương pháp giải:

Công thức đạo hàm của một thương: \(\left( {\frac{u}{v}} \right)’ = \frac{{u’v – uv’}}{{{v^2}}}\)

Lời giải chi tiết:

\(y’  = {{3 – x} \over {2\sqrt {{{\left( {1 – x} \right)}^3}} }}\)

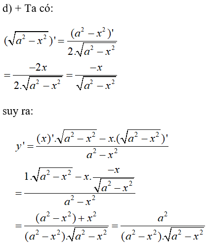
LG d

\(y = {x \over {\sqrt {{a^2} – {x^2}} }}\) (a là hằng số)

Phương pháp giải:

Công thức đạo hàm của một thương: \(\left( {\frac{u}{v}} \right)’ = \frac{{u’v – uv’}}{{{v^2}}}\).

Lời giải chi tiết:

\(\eqalign{  & y’ = {{{a^2}} \over {\sqrt {{{\left( {{a^2} – {x^2}} \right)}^3}} }} \cr} \)

Webgiaibaitap.com

TẢI APP ĐỂ XEM OFFLINE

ĐẠI SỐ VÀ GIẢI TÍCH – TOÁN 11 NÂNG CAO