Câu 23 trang 205 SGK Đại số và Giải tích 11 Nâng cao

Tính đạo hàm của mỗi hàm số sau

Lựa chọn câu để xem lời giải nhanh hơn

Tính đạo hàm của mỗi hàm số sau

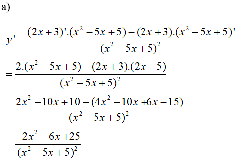
LG a

\(y = {{2x + 3} \over {{x^2} – 5x + 5}}\)

Phương pháp giải:

Đạo hàm của thương \(\left( {\frac{u}{v}} \right)’ = \frac{{u’v – uv’}}{{{v^2}}}\)

Lời giải chi tiết:

\(y’ = {{ – 2{x^2} – 6x + 25} \over {{{\left( {{x^2} – 5x + 5} \right)}^2}}}\)

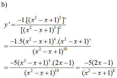
LG b

\(y = {1 \over {{{\left( {{x^2} – x + 1} \right)}^5}}}\)

Lời giải chi tiết:

\(y’  = {{ – 5\left( {2x – 1} \right)} \over {{{\left( {{x^2} – x + 1} \right)}^6}}}\)

LG c

\(y = {x^2} + x\sqrt x  + 1\)

Lời giải chi tiết:

\(y’  = 2x + {3 \over 2}\sqrt x \)

LG d

\(y = \left( {x + 1} \right){\left( {x + 2} \right)^2}{\left( {x + 3} \right)^3}\)

Lời giải chi tiết:

\(\eqalign{  & y’ = 2\left( {x + 2} \right){\left( {x + 3} \right)^2}\left( {3{x^2} + 11x + 9} \right) \cr} \)

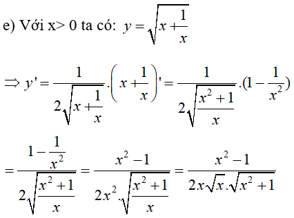
LG e

\(y = \sqrt {{{{x^2} + 1} \over x}} \)

Phương pháp giải:

Sử dụng công thức \(\left( {\sqrt u } \right)’ = \frac{{u’}}{{2\sqrt u }}\)

Lời giải chi tiết:

Webgiaibaitap.com

TẢI APP ĐỂ XEM OFFLINE

ĐẠI SỐ VÀ GIẢI TÍCH – TOÁN 11 NÂNG CAO