Bài 5 trang 190 SGK Đại số và Giải tích 12 Nâng cao

Hãy tính

Đề bài

Cho \(z =  – {1 \over 2} + {{\sqrt 3 } \over 2}i.\)

Hãy tính \({1 \over z}\); \(\overline z \); \({z^2}\); \({\left( {\overline z } \right)^3}\); \(1 + z + {z^2}\).

Phương pháp giải – Xem chi tiết

Sử dụng các công thức:

\(\dfrac{1}{z} = \dfrac{{\overline z }}{{{{\left| z \right|}^2}}}\)

Kết hợp các công thức cộng, trừ nhân số phức.

Lời giải chi tiết

Ta có \(z =  – \frac{1}{2} + \frac{{\sqrt 3 }}{2}i \) \(\Rightarrow \overline z  =  – \frac{1}{2} – \frac{{\sqrt 3 }}{2}i\)

\(\left| z \right| = \sqrt {{{\left( { – {1 \over 2}} \right)}^2} + {{\left( {{{\sqrt 3 } \over 2}} \right)}^2}}  = 1\)

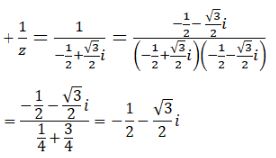
Nên \({1 \over z} = {{\overline z } \over {{{\left| z \right|}^2}}} = \overline z  =  – {1 \over 2} – {{\sqrt 3 } \over 2}i\)

\({z^2} = {\left( { – {1 \over 2} + {{\sqrt 3 } \over 2}i} \right)^2} \) \(= {1 \over 4} – {{\sqrt 3 } \over 2}i – {3 \over 4} =  – {1 \over 2} – {{\sqrt 3 } \over 2}i\)

\(\begin{array}{l}
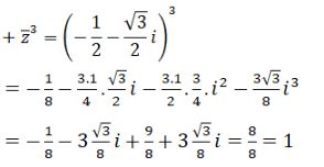
{\left( {\overline z } \right)^3} = \overline z .{\left( {\overline z } \right)^2}\\
= \left( { – \frac{1}{2} – \frac{{\sqrt 3 }}{2}i} \right){\left( { – \frac{1}{2} – \frac{{\sqrt 3 }}{2}i} \right)^2}\\
= \left( { – \frac{1}{2} – \frac{{\sqrt 3 }}{2}i} \right)\left( {\frac{1}{4} + \frac{{\sqrt 3 }}{2}i + \frac{3}{4}{i^2}} \right)\\
= \left( { – \frac{1}{2} – \frac{{\sqrt 3 }}{2}i} \right)\left( { – \frac{1}{2} + \frac{{\sqrt 3 }}{2}i} \right)\\
= {\left( { – \frac{1}{2}} \right)^2} – {\left( {\frac{{\sqrt 3 }}{2}i} \right)^2}\\
= \frac{1}{4} – \frac{3}{4}{i^2}\\
= \frac{1}{4} + \frac{3}{4} = 1
\end{array}\)

\(1 + z + {z^2}\) \( = 1 + \left( { – {1 \over 2} + {{\sqrt 3 } \over 2}i} \right) + \left( { – {1 \over 2} – {{\sqrt 3 } \over 2}i} \right)\) \( = 0\)

Chú ý:

Có thể tính \(\frac{1}{z}\) và \(\left( {\overline z } \right)^3\) như sau:

Webgiaibaitap.com

TẢI APP ĐỂ XEM OFFLINE

GIẢI TÍCH – TOÁN 12 NÂNG CAO