Bài 11 trang 191 SGK Đại số và Giải tích 12 Nâng cao

Hỏi mỗi số sau đây là số thực hay số ảo (z là số phức tùy ý cho trước sao cho biểu thức xác định)?

Đề bài

Hỏi mỗi số sau đây là số thực hay số ảo (z là số phức tùy ý cho trước sao cho biểu thức xác định)?

\({z^2} + {\left( {\overline z } \right)^2}\);               \({{z – \overline z } \over {{z^3} + {{\left( {\overline z } \right)}^3}}}\);                     \({{{z^2} – {{\left( {\overline z } \right)}^2}} \over {1 + z\overline z }}\)

Phương pháp giải – Xem chi tiết

Sử dụng tính chất:

+) Số phức z là số thực khi và chỉ khi \(\overline z=z \)

+) “Số phức z là số ảo khi và chỉ khi \( \overline z=-z\)

Lời giải chi tiết

* Ta có:

\(\overline {{z^2} + {{\left( {\overline z } \right)}^2}}  \\= \overline {{z^2}}  + \overline {{{\left( {\overline z } \right)}^2}}  \\= {\left( {\overline z } \right)^2} + {\left( {\overline {\overline z } } \right)^2} \\= {\left( {\overline z } \right)^2} + {z^2}\)

\( \Rightarrow {z^2} + {\left( {\overline z } \right)^2}\)  là số thực.

Cách khác: Gọi \(z=a+bi\)

Ta có: \({z^2} + {\overline z ^2} = {\left( {a + bi} \right)^2} + {\left( {a – bi} \right)^2} \) \( = {a^2} + 2abi – {b^2} + {a^2} – 2abi – {b^2} \) \(= 2{a^2} – 2{b^2}\)

\(= 2\left( {{a^2} – {b^2}} \right)\) là số thực

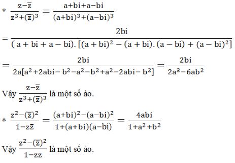
* \(\overline {\left( {{{z – \overline z } \over {{z^3} + {{\left( {\overline z } \right)}^3}}}} \right)}  \) \( = \frac{{\overline {z – \overline z } }}{{\overline {{z^3} + {{\left( {\overline z } \right)}^3}} }} \) \( = \frac{{\overline z  – \overline {\overline z } }}{{\overline {{z^3}}  + \overline {{{\left( {\overline z } \right)}^3}} }}  \) \(= \frac{{\overline z  – z}}{{{{\left( {\overline z } \right)}^3} + {{\left( {\overline {\overline z } } \right)}^3}}}  \) \(=  – \frac{{z – \overline z }}{{{{\left( {\overline z } \right)}^3} + {z^3}}}\)

\(\Rightarrow {{z – \overline z } \over {{z^3} + {({\overline z })^3}}}\) là số ảo.

*  \(\overline {\left( {{{{z^2} – {{\left( {\overline z } \right)}^2}} \over {1 + z\overline z }}} \right)}   \) \(= {{{({\overline z })^2} – {z^2}} \over {1 + \overline z z}}  \) \(=  – {{{z^2}-{({\overline z })^2}} \over {1 + \overline z .z}}  \)

\(\Rightarrow {{{z^2} – {{\left( {\overline z } \right)}^2}} \over {1 + z\overline z }}\) là số ảo.

Cách khác:

 Webgiaibaitap.com

TẢI APP ĐỂ XEM OFFLINE

GIẢI TÍCH – TOÁN 12 NÂNG CAO