Bài 44 trang 97 SGK Đại số và Giải tích 12 Nâng cao

Chứng minh:

Đề bài

Chứng minh:

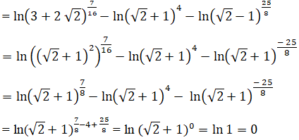
\({7 \over {16}}\ln \left( {3 + 2\sqrt 2 } \right) – 4\ln \left( {\sqrt 2  + 1} \right) – {{25} \over 8}\ln \left( {\sqrt 2  – 1} \right) = 0\)

Lời giải chi tiết

Ta có:

\(\begin{array}{l}
3 + 2\sqrt 2 = 2 + 2\sqrt 2 + 1\\
= {\left( {\sqrt 2 } \right)^2} + 2\sqrt 2 + {1^2} = {\left( {\sqrt 2 + 1} \right)^2}\\
\left( {\sqrt 2 – 1} \right)\left( {\sqrt 2 + 1} \right) = 2 – 1 = 1\\
\Rightarrow \sqrt 2 – 1 = \frac{1}{{\sqrt 2 + 1}}=(\sqrt 2 + 1)^{-1}
\end{array}\)

Do đó,

\({7 \over {16}}\ln \left( {3 + 2\sqrt 2 } \right) – 4\ln \left( {\sqrt 2  + 1} \right) – {{25} \over 8}\ln \left( {\sqrt 2  – 1} \right)\)

\( = {7 \over {16}}\ln {\left( {\sqrt 2  + 1} \right)^2} – 4\ln \left( {\sqrt 2  + 1} \right) – {{25} \over 8}\ln {(\sqrt 2 + 1)^{-1} }\)

\( = \frac{7}{{16}}.2\ln \left( {\sqrt 2  + 1} \right) – 4\ln \left( {\sqrt 2  + 1} \right) – \frac{{25}}{8}.\left( { – \ln \left( {\sqrt 2  + 1} \right)} \right)\)

\( = {7 \over 8}\ln \left( {\sqrt 2  + 1} \right) – 4\ln \left( {\sqrt 2  + 1} \right) + {{25} \over 8}\ln \left( {\sqrt 2  + 1} \right) = 0\)

Cách trình bày khác:

Webgiaibaitap.com

TẢI APP ĐỂ XEM OFFLINE

GIẢI TÍCH – TOÁN 12 NÂNG CAO