Bài 4 trang 76 SGK Đại số và Giải tích 12 Nâng cao

Thực hiện phép tính:

Lựa chọn câu để xem lời giải nhanh hơn

Thực hiện phép tính:

a) \({81^{ – 0,75}} + {\left( {{1 \over {125}}} \right)^{{{ – 1} \over 3}}} – {\left( {{1 \over {32}}} \right)^{{{ – 3} \over 5}}};\) 

b) \(0,{001^{{{ – 1} \over 3}}} – {\left( { – 2} \right)^{ – 2}}{.64^{{2 \over 3}}} – {8^{ – 1{1 \over 3}}}\) \( + {\left( {{9^0}} \right)^2};\)

c) \({27^{{2 \over 3}}} + {\left( {{1 \over {16}}} \right)^{ – 0,75}} – {25^{0,5}}\) 

d) \({\left( { – 0,5} \right)^{ – 4}} – {625^{0,25}} – {\left( {2{1 \over 4}} \right)^{ – 1{1 \over 2}}} \) \(+ 19{\left( { – 3} \right)^{ – 3}}\)

LG a

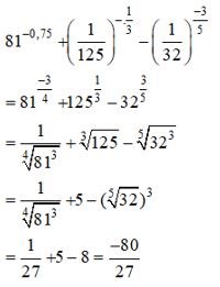
\({81^{ – 0,75}} + {\left( {{1 \over {125}}} \right)^{{{ – 1} \over 3}}} – {\left( {{1 \over {32}}} \right)^{{{ – 3} \over 5}}};\) 

Lời giải chi tiết:

\({81^{ – 0,75}} + {\left( {{1 \over {125}}} \right)^{{{ – 1} \over 3}}} – {\left( {{1 \over {32}}} \right)^{{{ – 3} \over 5}}} \)

\(= {\left( {{3^4}} \right)^{  {{ – 3} \over 4}}} + {\left( {{{\left( {{1 \over 5}} \right)}^3}} \right)^{{{ – 1} \over 3}}} – {\left( {{{\left( {{1 \over 2}} \right)}^5}} \right)^{{{ – 3} \over 5}}}\)

\(\, = {\left( 3 \right)^{ – 3}} + {\left( {{1 \over 5}} \right)^{ – 1}} – {\left( {{1 \over 2}} \right)^{ – 3}}\)

\(= {1 \over {27}} + 5 – 8 = {1 \over {27}} – 3 =  – {{80} \over {27}}\)

Cách khác:

LG b

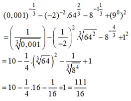
\(0,{001^{{{ – 1} \over 3}}} – {\left( { – 2} \right)^{ – 2}}{.64^{{2 \over 3}}} – {8^{ – 1{1 \over 3}}}\) \( + {\left( {{9^0}} \right)^2};\)

Lời giải chi tiết:

\(0,{001^{{{ – 1} \over 3}}} – {\left( { – 2} \right)^{ – 2}}{.64^{{2 \over 3}}} – {8^{ – 1{1 \over 3}}} + {\left( {{9^0}} \right)^2} \)

\(= {\left( {{{10}^{ – 3}}} \right)^{ – {1 \over 3}}} – {2^{ – 2}}.{\left( {{2^6}} \right)^{{2 \over 3}}} – {\left( {{2^3}} \right)^{ – {4 \over 3}}} + 1\)

\( = 10 – {2^2} – {2^{ – 4}} + 1 = 7 – {1 \over {16}} = {{111} \over {16}}\)

Cách khác:

LG c

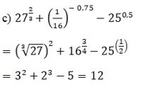
\({27^{{2 \over 3}}} + {\left( {{1 \over {16}}} \right)^{ – 0,75}} – {25^{0,5}}\)

Lời giải chi tiết:

\({27^{{2 \over 3}}} + {\left( {{1 \over {16}}} \right)^{ – 0,75}} – {25^{0,5}} \)

\(= {\left( {{3^3}} \right)^{{2 \over 3}}} + {\left( {{2^{ – 4}}} \right)^{ – {3 \over 4}}} – {\left( {{5^2}} \right)^{{1 \over 2}}} \)

\(= {3^2} + {2^3} – 5 = 12\)

Cách khác:

LG d

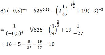
\({\left( { – 0,5} \right)^{ – 4}} – {625^{0,25}} – {\left( {2{1 \over 4}} \right)^{ – 1{1 \over 2}}} \) \(+ 19{\left( { – 3} \right)^{ – 3}}\)

Lời giải chi tiết:

\({\left( { – 0,5} \right)^{ – 4}} – {625^{0,25}} – {\left( {2{1 \over 4}} \right)^{ – 1{1 \over 2}}} \) \(+ 19{\left( { – 3} \right)^{ – 3}} \)

\(= {\left( {{{\left( { – 2} \right)}^{ – 1}}} \right)^{ – 4}} – {\left( {{5^4}} \right)^{{1 \over 4}}} – {\left( {{{\left( {{3 \over 2}} \right)}^2}} \right)^{ – {3 \over 2}}} \) \(+ {{19} \over { – 27}}\)

\( = {2^4} – 5 – {\left( {{3 \over 2}} \right)^{ – 3}} – {{19} \over {27}} \)

\(= 11 – {8 \over {27}} – {{19} \over {27}} = 10.\)

Cách khác:

 

Webgiaibaitap.com

TẢI APP ĐỂ XEM OFFLINE

GIẢI TÍCH – TOÁN 12 NÂNG CAO