4. Đề thi giữa học kì 2 – Đề số 4

Đề bài

Câu 1 :

Tìm phát biểu sai về điện trường?

  • A.
    Điện trường là môi trường bao quanh điện tích, gắn với điện tích và tác dụng lực điện lên các điện tích khác đặt trong nó.
  • B.
    Xung quanh một hệ hai điện tích điểm đặt gần nhau chỉ có điện trường do một điện tích gây ra.
  • C.
    Điện trường tác dụng lực điện lên các điện tích khác đặt trong nó.
  • D.
    Véctơ cường độ điện trường gây bởi điện tích điểm Q có chiều: hướng ra xa Q nếu Q dương, hướng về phía Q nếu Q âm.
Câu 2 :

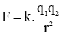
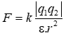
 Hai điện tích điểm bằng nhau được đặt trong nước ( ε = 81) cách nhau 3cm. Lực đẩy giữa chúng bằng 0,2.10-15 N. Hai điện tích đó là

  • A.
    4,472.10-8 C.        
  • B.
    4,472.10-9 C.        
  • C.
    4,025.10-8 C.        
  • D.
    4,025.10-9 C.
Câu 3 :

 Hai quả cầu nhỏ giống nhau, mỗi vật thừa một electron. Tìm khối lượng mỗi quả cầu để lực tĩnh điện bằng lực hấp dẫn giữa chúng. Cho G = 6,67.10-11 m3/kg.s

  • A.
    2,86.10-9 kg        
  • B.
    1,86.10-9 kg        
  • C.
    4,86.10-9 kg        
  • D.
    9,86.10-9 kg
Câu 4 :

 Tính lực tương tác điện, lực hấp dẫn giữa electron và hạt nhân trong nguyên tử Hyđrô, biết khoảng cách giữa chúng là 5.10-9 cm, khối lượng hạt nhân bằng 1836 lần khối lượng electron.

  • A.
    Fđ = 7,2.10-8 N, Fh = 34.10-48 N.        
  • B.
    Fđ = 9,2.10-8 N, Fh = 36.10-51 N.
  • C.
    Fđ = 9,2.10-8 N, Fh = 41.10-48 N.        
  • D.
    Fđ = 10,2.10-8 N, Fh = 51.10-51 N.
Câu 5 :

 Hai điện tích điểm nằm yên trong chân không chúng tương tác với nhau một lực F. Người ta thay đổi yếu tố q1, q2, r thấy lực tương tác đổi chiều nhưng độ lớn không đổi. Hỏi các yếu tố trên thay đổi như thế nào?

  • A.
    q1’ = -q1, q2’ = 2q2, r’ = r/2 .        
  • B.
    q1’ = q1/2, q2’ = -2q2, r’ = 2r.
  • C.
    q1’ = -2q1, q2’ = 2q2, r’ = 2r.        
  • D.
    Các yếu tố không đổi.
Câu 6 :

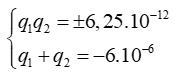
 Hai quả cầu kim loại nhỏ tích điện cách nhau 2,5 m trong không khí chúng tương tác với nhau bởi lực 9 mN. Cho hai quả cầu tiếp xúc nhau thì điện tích của mỗi quả cầu bằng -3 μC. Tìm điện tích của các quả cầu ban đầu:

  • A.
    q1 = -6,8 μC ; q2 = 3,8 μC.        
  • B.
    q1 = 4 μC ; q2 = -7 μC.
  • C.
    q1 = -1,34 μC ; q2 = -4,66 μC.        
  • D.
    q1 = 2,3 μC ; q2 = -5,3 μC.
Câu 7 :

 Hai điện tích đặt gần nhau, nếu giảm khoảng cách chúng đi 2 lần thì lực tương tác giữa hai vật sẽ:

  • A.
    tăng lên 2 lần.        
  • B.
    giảm đi 2 lần.        
  • C.
    tăng lên 4 lần.        
  • D.
    giảm đi 4 lần.
Câu 8 :

 Đặc điểm nào sau đây không phải đặc điểm của đường sức điện?

  • A.
      Qua mỗi điểm trong điện trường có một và chỉ một đường sức điện mà thôi.
  • B.
       Đường sức điện là những đường có hướng. Hướng của đường sức điện tại một điểm là hướng của vectơ cường độ điện trường tại điểm đó.
  • C.
    Ở chỗ cường độ điện trường lớn thì các đường sức điện sẽ thưa, còn ở chỗ cường độ điện trường nhỏ thì các đường sức điện sẽ mau.
  • D.
       Đường sức điện của điện trường tĩnh điện là đường không khép kín. Nó đi ra điện tích dương và kết thúc ở điện tích âm.
Câu 9 :

 Cường độ điện trường là đại lượng

  • A.
      vô hướng, có giá trị dương.
  • B.
      vô hướng, có giá trị dương hoặc âm.
  • C.
    véctơ, phương chiều trùng với phương chiều của lực điện tác dụng lên điện tích dương.
  • D.
      vectơ,có chiều luôn hướng vào điện tích.
Câu 10 :

 Cho một điện tích điểm – Q; điện trường tại một điểm mà nó gây ra có chiều

  • A.
      hướng ra xa nó.
  • B.
    hướng về phía nó.
  • C.
      phụ thuộc độ lớn của nó.
  • D.
      vào điện môi xung quanh
Câu 11 :

Cho một điện tích điểm + Q; điện trường tại một điểm mà nó gây ra có chiều

  • A.
      hướng về phía nó
  • B.
    hướng ra xa nó.
  • C.
      phụ thuộc độ lớn của nó.
  • D.
      phụ thuộc vào điện môi xung quanh
Câu 12 :

 Độ lớn cường độ điện trường tại một điểm gây bởi một điện tích điểm không phụ thuộc:

  • A.
    độ lớn điện tích thử.
  • B.
      độ lớn điện tích đó.
  • C.
      khoảng cách từ điểm đang xét đến điện tích đó
  • D.
      hằng số điện môi của của môi trường.
Câu 13 :

 Tại một điểm xác định trong điện trường tĩnh, nếu độ lớn của điện tích thử tăng 3 lần thì độ lớn cường độ điện trường

  • A.
    không đổi.
  • B.
      giảm 3 lần.
  • C.
       tăng 3 lần.
  • D.
      giảm 6 lần.
Câu 14 :

 Nếu khoảng cách từ điện tích nguồn đến điểm đang xét tăng 3 lần thì cường độ điện trường

  • A.
      giảm 3 lần.
  • B.
      tăng 3 lần.
  • C.
    giảm 9 lần.
  • D.
      tăng 9 lần.
Câu 15 :

 Công của lực điện trường dịch chuyển một điện tích – 5μC ngược chiều một đường sức trong một điện trường đều 1000 V/m trên quãng đường dài 1 m là

  • A.
    5000 J.            
  • B.
    – 5000 J.          
  • C.
    5 mJ.                         
  • D.
    – 5 mJ.
Câu 16 :

 Một điện tích q = 5.10-8 C di chuyển trong một điện trường đều có cường độ điện trường E = 1000 V/m theo một đường gấp khúc ABC. Đoạn AB dài 20 cm và vectơ độ dời AB làm với các đường sức điện một góc 300. Đoạn BC dài 40 cm và vectơ độ dời BC làm với các đường sức điện một góc 1200. Tính công của lực điện.

  • A.
    1,87.10-6 J.
  • B.
    -1,87.10-6 J.
  • C.
    1,3.10-6 J.
  • D.
    -1,3.10-6 J.
Câu 17 :

Ở sát mặt Trái Đất, vec tơ cường độ điện trường hướng thẳng đứng từ trên xuống dưới và có độ lớn vào khoảng 150 V/m. Tính hiệu điện thế giữa một điểm ở độ cao 5 m và mặt đất.

  • A.
    750 V
  • B.
    570 V  
  • C.
    710 V  
  • D.
    850 V
Câu 18 :

Một điện tích q = 4.10-8 C di chuyển trong một điện trường đều có cường độ điện trường E = 100 V/m theo một đường gấp khúc ABC. Đoạn AB dài 20 cm và vectơ độ dời AB làm với các đường sức điện một góc 30°. Đoạn BC dài 40 cm và vectơ độ dời BC làm với các đường sức điện một góc 120°. Tính công của lực điện.

  • A.
    0,108.10-6 J
  • B.
    -0,108.10-6 J  
  • C.
    1,492.10-6 J  
  • D.
    -1,492.10-6 J
Câu 19 :

Nối hai cực của nguồn điện không đổi có hiệu điện thế 50 V lên hai bản của tụ điện phẳng có khoảng cách giữa hai bản tụ bằng 5 cm. Trong vùng không gian giữa hai bản tụ, 1 proton có điện tích 1,6.10-19 C và khối lượng 1,67.10-27 kg chuyển động từ điểm M cách bản âm của tụ điện 6 cm đến điểm N cách bản âm của tụ 2 cm. Biết tốc độ của proton tại M bằng 105 m/s. Tốc độ của proton tại N bằng

  • A.
    1,33.105 m/s
  • B.
    3,57.105 m/s  
  • C.
    1,73.105 m/s  
  • D.
    1,57.106 m/s
Câu 20 :

Hiệu điện thế giữa hai bản tụ điện phẳng bằng U = 300 V. Một hạt bụi nằm cân bằng giữa hai bản tụ điện và cách bản dưới của tụ điện d1 = 0,8 cm. Hỏi trong bao nhiêu lâu hạt bụi sẽ rơi xuống mặt bản tụ, nếu hiệu điện thế giữa hai bản giảm đi một lượng ΔU = 60 V.

  • A.
    t = 0,9 s.
  • B.
    t = 0,19 s.  
  • C.
    t = 0,09 s.  
  • D.
    t = 0,29 s.
Câu 21 :

Một quả câu tích điện có khối lượng 0,1g nằm cân bằng giữa hai bản tụ điện phẳng đứng cạnh nhau d = 1 cm. Khi hai bản tụ được nối với hiệu điện thế U = 1000 V thì dây treo quả cầu lệch khỏi phương thẳng đứng một góc α = 10°. Điện tích của quả cầu bằng

  • A.
    q0 = 1,33.10-9 C.
  • B.
    q0 = 1,31.10-9 C.
  • C.
    q0 = 1,13.10-9 C.
  • D.
    q0 = 1,76.10-9 C.
Câu 22 :

Hai bản kim loại phẳng song song mang điện tích trái dấu, cách nhau 2cm, cường độ điện trường giữa hai bản là 3.103 V/m. Một hạt mang điện q = 1,5.10-2 C di chuyển từ bản dương sang bản âm với vận tốc ban đầu bằng 0, khối lượng của hạt mang điện là 4,5.10-6 g. Vận tốc của hạt mang điện khi đập vào bản âm là

  • A.
    4.104 m/s.
  • B.
    2.104 m/s.  
  • C.
    6.104 m/s.  
  • D.
    105 m/s.
Câu 23 :

Một electron chuyển động dọc theo đường sức của một điện trường đều. Cường độ điện trường có độ lớn bằng 100V/m. Vận tốc ban đầu của electron là 3.105 m/s, khối lượng của electron là 9,1.10-31kg. Từ lúc bắt đầu chuyển động đến khi có vận tốc bằng 0 thì electron đã đi được quãng đường

  • A.
    5,12 mm.
  • B.
    0,256 m.  
  • C.
    5,12 m.  
  • D.
    2,56 mm.
Câu 24 :

Di chuyển một điện tích q > 0 từ điểm M đến điểm N trong một điện trường. Công AMN của lực điện càng lớn nếu

  • A.
    đường đi MN càng dài.
  • B.
    đường đi MN càng ngắn.
  • C.
    hiệu điện thế UMN càng lớn.
  • D.
    hiệu điện thế UMN càng nhỏ.
Câu 25 :

Cho ba điểm M, N, P trong một điện trường đều. MN = 1 cm, NP = 3 cm, UMN = 1 V, UMP = 2 V. Gọi cường độ điện trường tại M, N, P là EM, EN, EP. Chọn phương án đúng.

  • A.
    EP = 2EN
  • B.
    EP = 3EN  
  • C.
    EP = EN  
  • D.
    EN > EM
Câu 26 :

 Đặt vào hai đầu tụ một hiệu điện thế 5 V thì tụ tích được một điện lượng 10-5 C. Điện dung của tụ là

  • A.
    2 μF.                
  • B.
    2 mF.               
  • C.
    2 F.                           
  • D.
    2 nF.
Câu 27 :

 Bộ tụ điện gồm ba tụ điện: C1 = 10 (μF), C2 = 15 (μF), C3 = 20 (μF) mắc song song với nhau. Điện dung của bộ tụ điện là:

  • A.
    5 (μF).
  • B.
    45 (μF).
  • C.
    0,21 (μF).
  • D.
    20 (μF).
Câu 28 :

 Hiệu điện thế giữa hai điểm M, N là UMN = 20V. Nhận xét nào sau đây đúng?

  • A.
    Điện thế tại điểm M là 20 V.
  • B.
    Điện thế tại điểm N là 0 V.
  • C.
    Điện thế ở M có giá trị dương, ở N có giá trị âm.
  • D.
    Điện thế ở M cao hơn điện thế ở N 40 V.
Câu 29 :

 Tính công mà lực điện tác dụng lên một điện tích 5 μC sinh ra nó khi nó chuyển động từ điểm A đến điểm B. Biết UAB = 1000 V

  • A.
    5000 J.            
  • B.
    – 5000 J           
  • C.
    5 mJ                
  • D.
    – 5 mJ
Câu 30 :

 Biết điện thế tại điểm M trong điện trường là 20V. Electron có điện tích e = -1,6.10-19 C đặt tại điểm M có thế năng là:

  • A.
    3,2.10-18 J.
  • B.
    -3,2.10-18 J.
  • C.
    1,6.1020 J.
  • D.
    -1,6.1020 J.

Lời giải và đáp án

Câu 1 :

Tìm phát biểu sai về điện trường?

  • A.
    Điện trường là môi trường bao quanh điện tích, gắn với điện tích và tác dụng lực điện lên các điện tích khác đặt trong nó.
  • B.
    Xung quanh một hệ hai điện tích điểm đặt gần nhau chỉ có điện trường do một điện tích gây ra.
  • C.
    Điện trường tác dụng lực điện lên các điện tích khác đặt trong nó.
  • D.
    Véctơ cường độ điện trường gây bởi điện tích điểm Q có chiều: hướng ra xa Q nếu Q dương, hướng về phía Q nếu Q âm.

Đáp án : B

Lời giải chi tiết :

Xung quanh một hệ hai điện tích điểm đặt gần nhau có điện trường do hai điện tích gây ra.

Đáp án: B

Câu 2 :

 Hai điện tích điểm bằng nhau được đặt trong nước ( ε = 81) cách nhau 3cm. Lực đẩy giữa chúng bằng 0,2.10-15 N. Hai điện tích đó là

  • A.
    4,472.10-8 C.        
  • B.
    4,472.10-9 C.        
  • C.
    4,025.10-8 C.        
  • D.
    4,025.10-9 C.

Đáp án : D

Lời giải chi tiết :

Do đó:

Chọn D.

Câu 3 :

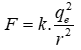
 Hai quả cầu nhỏ giống nhau, mỗi vật thừa một electron. Tìm khối lượng mỗi quả cầu để lực tĩnh điện bằng lực hấp dẫn giữa chúng. Cho G = 6,67.10-11 m3/kg.s

  • A.
    2,86.10-9 kg        
  • B.
    1,86.10-9 kg        
  • C.
    4,86.10-9 kg        
  • D.
    9,86.10-9 kg

Đáp án : B

Lời giải chi tiết :

Chọn B.

Câu 4 :

 Tính lực tương tác điện, lực hấp dẫn giữa electron và hạt nhân trong nguyên tử Hyđrô, biết khoảng cách giữa chúng là 5.10-9 cm, khối lượng hạt nhân bằng 1836 lần khối lượng electron.

  • A.
    Fđ = 7,2.10-8 N, Fh = 34.10-48 N.        
  • B.
    Fđ = 9,2.10-8 N, Fh = 36.10-51 N.
  • C.
    Fđ = 9,2.10-8 N, Fh = 41.10-48 N.        
  • D.
    Fđ = 10,2.10-8 N, Fh = 51.10-51 N.

Đáp án : C

Lời giải chi tiết :

Lực hấp dẫn giữa chúng là:

Chọn C.

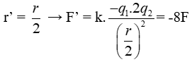
Câu 5 :

 Hai điện tích điểm nằm yên trong chân không chúng tương tác với nhau một lực F. Người ta thay đổi yếu tố q1, q2, r thấy lực tương tác đổi chiều nhưng độ lớn không đổi. Hỏi các yếu tố trên thay đổi như thế nào?

  • A.
    q1’ = -q1, q2’ = 2q2, r’ = r/2 .        
  • B.
    q1’ = q1/2, q2’ = -2q2, r’ = 2r.
  • C.
    q1’ = -2q1, q2’ = 2q2, r’ = 2r.        
  • D.
    Các yếu tố không đổi.

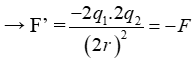
Đáp án : C

Lời giải chi tiết :

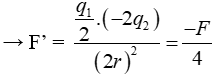
+) Xét q1’ = -q1, q2’ = 2q2,

+) Xét q1’ = q1/2, q2’ = -2q2, r’ = 2r

+) Xét q1’ = -2q1, q2’ = 2q2, r’ = 2r

Chọn C.

Câu 6 :

 Hai quả cầu kim loại nhỏ tích điện cách nhau 2,5 m trong không khí chúng tương tác với nhau bởi lực 9 mN. Cho hai quả cầu tiếp xúc nhau thì điện tích của mỗi quả cầu bằng -3 μC. Tìm điện tích của các quả cầu ban đầu:

  • A.
    q1 = -6,8 μC ; q2 = 3,8 μC.        
  • B.
    q1 = 4 μC ; q2 = -7 μC.
  • C.
    q1 = -1,34 μC ; q2 = -4,66 μC.        
  • D.
    q1 = 2,3 μC ; q2 = -5,3 μC.

Đáp án : C

Lời giải chi tiết :

Chọn C.

Câu 7 :

 Hai điện tích đặt gần nhau, nếu giảm khoảng cách chúng đi 2 lần thì lực tương tác giữa hai vật sẽ:

  • A.
    tăng lên 2 lần.        
  • B.
    giảm đi 2 lần.        
  • C.
    tăng lên 4 lần.        
  • D.
    giảm đi 4 lần.

Đáp án : C

Lời giải chi tiết :

Với r là khoảng cách giữa 2 điện tích điểm. Khi giảm khoảng cách 2 lần suy ra F tăng lên 4 lần. 

Chọn C.

Câu 8 :

 Đặc điểm nào sau đây không phải đặc điểm của đường sức điện?

  • A.
      Qua mỗi điểm trong điện trường có một và chỉ một đường sức điện mà thôi.
  • B.
       Đường sức điện là những đường có hướng. Hướng của đường sức điện tại một điểm là hướng của vectơ cường độ điện trường tại điểm đó.
  • C.
    Ở chỗ cường độ điện trường lớn thì các đường sức điện sẽ thưa, còn ở chỗ cường độ điện trường nhỏ thì các đường sức điện sẽ mau.
  • D.
       Đường sức điện của điện trường tĩnh điện là đường không khép kín. Nó đi ra điện tích dương và kết thúc ở điện tích âm.

Đáp án : C

Lời giải chi tiết :

Ở chỗ cường độ điện trường lớn thì các đường sức điện sẽ mau, còn ở chỗ cường độ điện trường nhỏ thì các đường sức điện sẽ thưa.

Đáp án: C

Câu 9 :

 Cường độ điện trường là đại lượng

  • A.
      vô hướng, có giá trị dương.
  • B.
      vô hướng, có giá trị dương hoặc âm.
  • C.
    véctơ, phương chiều trùng với phương chiều của lực điện tác dụng lên điện tích dương.
  • D.
      vectơ,có chiều luôn hướng vào điện tích.

Đáp án : C

Lời giải chi tiết :

Cường độ điện trường là đại lượng véctơ, phương chiều trùng với phương chiều của lực điện tác dụng lên điện tích dương.

Đáp án: C

Câu 10 :

 Cho một điện tích điểm – Q; điện trường tại một điểm mà nó gây ra có chiều

  • A.
      hướng ra xa nó.
  • B.
    hướng về phía nó.
  • C.
      phụ thuộc độ lớn của nó.
  • D.
      vào điện môi xung quanh

Đáp án : B

Lời giải chi tiết :

Một điện tích điểm – Q; điện trường tại một điểm mà nó gây ra có chiều hướng về phía nó.

Đáp án: B

Câu 11 :

Cho một điện tích điểm + Q; điện trường tại một điểm mà nó gây ra có chiều

  • A.
      hướng về phía nó
  • B.
    hướng ra xa nó.
  • C.
      phụ thuộc độ lớn của nó.
  • D.
      phụ thuộc vào điện môi xung quanh

Đáp án : B

Lời giải chi tiết :

Một điện tích điểm + Q; điện trường tại một điểm mà nó gây ra có chiều hướng ra xa nó.

Đáp án: B

Câu 12 :

 Độ lớn cường độ điện trường tại một điểm gây bởi một điện tích điểm không phụ thuộc:

  • A.
    độ lớn điện tích thử.
  • B.
      độ lớn điện tích đó.
  • C.
      khoảng cách từ điểm đang xét đến điện tích đó
  • D.
      hằng số điện môi của của môi trường.

Đáp án : A

Lời giải chi tiết :

Độ lớn cường độ điện trường tại một điểm gây bởi một điện tích điểm không phụ thuộc độ lớn điện tích thử.

Đáp án: A

Câu 13 :

 Tại một điểm xác định trong điện trường tĩnh, nếu độ lớn của điện tích thử tăng 3 lần thì độ lớn cường độ điện trường

  • A.
    không đổi.
  • B.
      giảm 3 lần.
  • C.
       tăng 3 lần.
  • D.
      giảm 6 lần.

Đáp án : A

Lời giải chi tiết :

Tại một điểm xác định trong điện trường tĩnh, nếu độ lớn của điện tích thử tăng 3 lần thì độ lớn cường độ điện trường không đổi vì độ lớn cường độ điện trường tại một điểm gây bởi một điện tích điểm không phụ thuộc độ lớn điện tích thử

Đáp án: A

Câu 14 :

 Nếu khoảng cách từ điện tích nguồn đến điểm đang xét tăng 3 lần thì cường độ điện trường

  • A.
      giảm 3 lần.
  • B.
      tăng 3 lần.
  • C.
    giảm 9 lần.
  • D.
      tăng 9 lần.

Đáp án : C

Lời giải chi tiết :

cường độ điện trường tỉ lệ nghịch với bình phương khoảng cách nên nếu khoảng cách từ điện tích nguồn đến điểm đang xét tăng 3 lần thì cường độ điện trường giảm 9 lần.

Đáp án: C

Câu 15 :

 Công của lực điện trường dịch chuyển một điện tích – 5μC ngược chiều một đường sức trong một điện trường đều 1000 V/m trên quãng đường dài 1 m là

  • A.
    5000 J.            
  • B.
    – 5000 J.          
  • C.
    5 mJ.                         
  • D.
    – 5 mJ.

Đáp án : C

Lời giải chi tiết :

A = qEd = qEscosα = -5.10-6.1000.1.cos1800 = 5.10-3 J. 

Đáp án:  C.

Câu 16 :

 Một điện tích q = 5.10-8 C di chuyển trong một điện trường đều có cường độ điện trường E = 1000 V/m theo một đường gấp khúc ABC. Đoạn AB dài 20 cm và vectơ độ dời AB làm với các đường sức điện một góc 300. Đoạn BC dài 40 cm và vectơ độ dời BC làm với các đường sức điện một góc 1200. Tính công của lực điện.

  • A.
    1,87.10-6 J.
  • B.
    -1,87.10-6 J.
  • C.
    1,3.10-6 J.
  • D.
    -1,3.10-6 J.

Đáp án : D

Lời giải chi tiết :

AAB = qEd1 = q.E.AB.cos300 = 8,7.10-6 J

ABC = qEd2 = q.E.BC.cos1200 = -10-5 J

Công của lực điện trường trên đường gấp khúc ABC là:

AABC = AAB +ABC = 8,7.10-6 -10-5 = -1,3.10-6 J

Đáp án:  D.

Câu 17 :

Ở sát mặt Trái Đất, vec tơ cường độ điện trường hướng thẳng đứng từ trên xuống dưới và có độ lớn vào khoảng 150 V/m. Tính hiệu điện thế giữa một điểm ở độ cao 5 m và mặt đất.

  • A.
    750 V
  • B.
    570 V  
  • C.
    710 V  
  • D.
    850 V

Đáp án : A

Lời giải chi tiết :

Chọn đáp án A

Hiệu điện thế giữa điểm ở độ cao 5 m và mặt đất là U = Ed = 150.5 = 750 V.

Câu 18 :

Một điện tích q = 4.10-8 C di chuyển trong một điện trường đều có cường độ điện trường E = 100 V/m theo một đường gấp khúc ABC. Đoạn AB dài 20 cm và vectơ độ dời AB làm với các đường sức điện một góc 30°. Đoạn BC dài 40 cm và vectơ độ dời BC làm với các đường sức điện một góc 120°. Tính công của lực điện.

  • A.
    0,108.10-6 J
  • B.
    -0,108.10-6 J  
  • C.
    1,492.10-6 J  
  • D.
    -1,492.10-6 J

Đáp án : B

Lời giải chi tiết :

Chọn đáp án B

Công của lực điện trường trên đường gấp khúc ABC là

\(\begin{array}{l}{A_{ABC}} = {A_{AB}} + {A_{BC}}\\{A_{AB}} = q.E.{d_1} = q.E.AB.\cos 30^\circ  = 0,{692.10^{ – 6}}J\end{array}\)

\({A_{BC}} = q.E.{d_2} = q.E.BC.\cos 120^\circ  =  – 0,{8.10^{ – 6}}J\)

\( \to {A_{ABC}} = 0,{692.10^{ – 6}} – 0,{8.10^{ – 6}} =  – 0,{108.10^{ – 6}}J\)

Câu 19 :

Nối hai cực của nguồn điện không đổi có hiệu điện thế 50 V lên hai bản của tụ điện phẳng có khoảng cách giữa hai bản tụ bằng 5 cm. Trong vùng không gian giữa hai bản tụ, 1 proton có điện tích 1,6.10-19 C và khối lượng 1,67.10-27 kg chuyển động từ điểm M cách bản âm của tụ điện 6 cm đến điểm N cách bản âm của tụ 2 cm. Biết tốc độ của proton tại M bằng 105 m/s. Tốc độ của proton tại N bằng

  • A.
    1,33.105 m/s
  • B.
    3,57.105 m/s  
  • C.
    1,73.105 m/s  
  • D.
    1,57.106 m/s

Đáp án : A

Lời giải chi tiết :

Chọn đáp án A

Ta có cường độ điện trường giữa hai bản tụ điện là

\(E = \frac{U}{d} = \frac{{50}}{{0,05}} = 1000V/m\).

⇨ Lực điện trường tác dụng lên điện tích là \(F = qE = 1,{6.10^{ – 19}}.1000 = 1,{6.10^{ – 16}}N\).

Định luật II Niuton có F = ma.

⇨ điện tích di chuyển trong điện trường với gia tốc \(a = \frac{F}{m} = \frac{{1,{{6.10}^{ – 16}}}}{{1,{{67.10}^{ – 27}}}} = 9,{58.10^{10}}m/{s^2}\)  

\( \Rightarrow v_N^2 – v_M^2 = 2as \Rightarrow {v_N} = \sqrt {2.9,{{58.10}^{10}}.0,04 + {{\left( {{{10}^5}} \right)}^2}}  = 1,{33.10^5}m/s\).

Câu 20 :

Hiệu điện thế giữa hai bản tụ điện phẳng bằng U = 300 V. Một hạt bụi nằm cân bằng giữa hai bản tụ điện và cách bản dưới của tụ điện d1 = 0,8 cm. Hỏi trong bao nhiêu lâu hạt bụi sẽ rơi xuống mặt bản tụ, nếu hiệu điện thế giữa hai bản giảm đi một lượng ΔU = 60 V.

  • A.
    t = 0,9 s.
  • B.
    t = 0,19 s.  
  • C.
    t = 0,09 s.  
  • D.
    t = 0,29 s.

Đáp án : C

Lời giải chi tiết :

Chọn đáp án C

Hạt bụi nằm cân bằng chịu tác dụng của trọng lực P và lực điện F: P = F

– Trước khi giảm U: \(P = mg.q.E = q.\frac{U}{d} \to m = \frac{{qU}}{{dg}}\)

– Sau khi giảm U: \({F_1} = \frac{{q\left( {U – \Delta U} \right)}}{d}\)

Hiệu lực \(F – {F_1}\)  gây ra gia tốc cho hạt bụi:

\(F – {F_1} = \frac{{q.\Delta U}}{d} = m.a\)  

\( \Rightarrow a = \frac{{\Delta U.g}}{U}\)

Ta có: \({d_1} = \frac{{a{t^2}}}{2} \to t = \sqrt {\frac{{2{d_1}}}{a}}  = \sqrt {\frac{{2{d_1}U}}{{\Delta U.g}}}  = 0,09s\)  

Câu 21 :

Một quả câu tích điện có khối lượng 0,1g nằm cân bằng giữa hai bản tụ điện phẳng đứng cạnh nhau d = 1 cm. Khi hai bản tụ được nối với hiệu điện thế U = 1000 V thì dây treo quả cầu lệch khỏi phương thẳng đứng một góc α = 10°. Điện tích của quả cầu bằng

  • A.
    q0 = 1,33.10-9 C.
  • B.
    q0 = 1,31.10-9 C.
  • C.
    q0 = 1,13.10-9 C.
  • D.
    q0 = 1,76.10-9 C.

Đáp án : D

Lời giải chi tiết :

Chọn đáp án D

Các lực tác dụng lên quả cầu \(\overrightarrow P ,\overrightarrow F ,\overrightarrow T \):

\(\overrightarrow P  + \overrightarrow F  + \overrightarrow T  = \overrightarrow 0 \)

Ta có: \(F = P\tan \alpha  = {q_0}.E = {q_0}.\frac{U}{d}\)

\( \Rightarrow {q_0} = \frac{{mgd\tan \alpha }}{U} = \frac{{0,{{1.10}^{ – 3}}.0,01.10.\tan 10^\circ }}{{1000}} = 1,{76.10^{ – 9}}C\)

Câu 22 :

Hai bản kim loại phẳng song song mang điện tích trái dấu, cách nhau 2cm, cường độ điện trường giữa hai bản là 3.103 V/m. Một hạt mang điện q = 1,5.10-2 C di chuyển từ bản dương sang bản âm với vận tốc ban đầu bằng 0, khối lượng của hạt mang điện là 4,5.10-6 g. Vận tốc của hạt mang điện khi đập vào bản âm là

  • A.
    4.104 m/s.
  • B.
    2.104 m/s.  
  • C.
    6.104 m/s.  
  • D.
    105 m/s.

Đáp án : B

Lời giải chi tiết :

Chọn đáp án B

Áp dụng bảo toàn cơ năng trong điện trường đều ta có:

\(qEd = \frac{1}{2}m{v^2} \Rightarrow v = \sqrt {\frac{{2qEd}}{m}}  = \sqrt {\frac{{2.1,{{5.10}^{ – 2}}{{.3.10}^3}.0,02}}{{4,{{5.10}^{ – 9}}}}}  = {2.10^4}m/s\).

Câu 23 :

Một electron chuyển động dọc theo đường sức của một điện trường đều. Cường độ điện trường có độ lớn bằng 100V/m. Vận tốc ban đầu của electron là 3.105 m/s, khối lượng của electron là 9,1.10-31kg. Từ lúc bắt đầu chuyển động đến khi có vận tốc bằng 0 thì electron đã đi được quãng đường

  • A.
    5,12 mm.
  • B.
    0,256 m.  
  • C.
    5,12 m.  
  • D.
    2,56 mm.

Đáp án : D

Lời giải chi tiết :

Chọn đáp án D

Áp dụng bảo toàn cơ năng trong điện trường đều ta có  

\(\begin{array}{l} \Rightarrow qEd =  – \frac{1}{2}mv_0^2\\ \Rightarrow d = \frac{1}{2}.\frac{{ – mv_0^2}}{{qE}} = \frac{1}{2}.\frac{{ – 9,{{1.10}^{ – 31}}.{{\left( {{{3.10}^5}} \right)}^2}}}{{ – 1,{{6.10}^{ – 19}}.100}} = 2,56mm\end{array}\)

Câu 24 :

Di chuyển một điện tích q > 0 từ điểm M đến điểm N trong một điện trường. Công AMN của lực điện càng lớn nếu

  • A.
    đường đi MN càng dài.
  • B.
    đường đi MN càng ngắn.
  • C.
    hiệu điện thế UMN càng lớn.
  • D.
    hiệu điện thế UMN càng nhỏ.

Đáp án : C

Lời giải chi tiết :

Chọn đáp án C

Công của lực điện trong điện trường đều là A = qEd = qU.

⇨ Công càng lớn nếu hiệu điện thế càng lớn.

Câu 25 :

Cho ba điểm M, N, P trong một điện trường đều. MN = 1 cm, NP = 3 cm, UMN = 1 V, UMP = 2 V. Gọi cường độ điện trường tại M, N, P là EM, EN, EP. Chọn phương án đúng.

  • A.
    EP = 2EN
  • B.
    EP = 3EN  
  • C.
    EP = EN  
  • D.
    EN > EM

Đáp án : C

Lời giải chi tiết :

Chọn đáp án C

Vì 3 điểm M,N,P nằm trong điện trường đều nên cường độ điện trường tại mọi điểm là như nhau  

\( \Rightarrow {E_P} = {E_N} = {E_M}\)

Câu 26 :

 Đặt vào hai đầu tụ một hiệu điện thế 5 V thì tụ tích được một điện lượng 10-5 C. Điện dung của tụ là

  • A.
    2 μF.                
  • B.
    2 mF.               
  • C.
    2 F.                           
  • D.
    2 nF.

Đáp án : A

Lời giải chi tiết :

\(C = \frac{Q}{U} = \frac{{{{10}^{ – 5}}}}{5}\)= 2.10-6 F = 2 μF.

Đáp án A.

Câu 27 :

 Bộ tụ điện gồm ba tụ điện: C1 = 10 (μF), C2 = 15 (μF), C3 = 20 (μF) mắc song song với nhau. Điện dung của bộ tụ điện là:

  • A.
    5 (μF).
  • B.
    45 (μF).
  • C.
    0,21 (μF).
  • D.
    20 (μF).

Đáp án : B

Lời giải chi tiết :

Cb =  C1 + C2 + C3 = 45 μF

Đáp án B.

Câu 28 :

 Hiệu điện thế giữa hai điểm M, N là UMN = 20V. Nhận xét nào sau đây đúng?

  • A.
    Điện thế tại điểm M là 20 V.
  • B.
    Điện thế tại điểm N là 0 V.
  • C.
    Điện thế ở M có giá trị dương, ở N có giá trị âm.
  • D.
    Điện thế ở M cao hơn điện thế ở N 40 V.

Đáp án : D

Lời giải chi tiết :

A, B, C – sai vì điện thế tại một điểm có giá trị tuỳ thuộc cách chọn mốc điện thế nên không thể xác định được điện thế tại M và N là bao nhiêu nếu chưa đủ dữ kiện.

D – đúng vì hiệu điện thế giữa hai điểm là UMN = VM – VN = 20V > 0 nên điện thế tại M cao hơn điện thế tại N.

Đáp án D.

Câu 29 :

 Tính công mà lực điện tác dụng lên một điện tích 5 μC sinh ra nó khi nó chuyển động từ điểm A đến điểm B. Biết UAB = 1000 V

  • A.
    5000 J.            
  • B.
    – 5000 J           
  • C.
    5 mJ                
  • D.
    – 5 mJ

Đáp án : C

Lời giải chi tiết :

Từ biểu thức:

\({U_{AB}} = \frac{{{A_{AB}}}}{q}\)⇒AAB=UAB.q=1000.5.10−6=5.10-3 J = 5mJ

Đáp án C.

Câu 30 :

 Biết điện thế tại điểm M trong điện trường là 20V. Electron có điện tích e = -1,6.10-19 C đặt tại điểm M có thế năng là:

  • A.
    3,2.10-18 J.
  • B.
    -3,2.10-18 J.
  • C.
    1,6.1020 J.
  • D.
    -1,6.1020 J.

Đáp án : B

Lời giải chi tiết :

WM = qVM. Thay số: WM = -1,6.10-19.20 = -3,2.10-18 J.

Đáp án B.

TẢI APP ĐỂ XEM OFFLINE