3. Đề thi học kì 2 – Đề số 2

Đề bài

Trắc nghiệm nhiều đáp án
Câu 1 :

 Mối liên hệ giữa số chỉ của ampe kế với độ sáng của đèn được 4 học sinh phát biểu như sau. Hỏi phát biểu nào dưới đây là sai?

  • A.
    Đèn chưa sáng khi số chỉ ampe kế còn rất nhỏ.
  • B.
    Đèn sáng càng mạnh thì số chỉ của ampe kế càng lớn.
  • C.
    Số chỉ của ampe kế giảm đi thì độ sáng của đèn giảm đi.
  • D.
    Số chỉ của ampe kế và độ sáng của đèn không liên hệ gì với nhau.
Câu 2 :

 Ampe kế nào dưới đây là phù hợp nhất để đo cường độ dòng điện chạy qua bóng đèn pin (Cho phép dòng điện có cường độ lớn nhất là 0,35A).

  • A.
    Ampe kế có giới hạn đo 1 A.
  • B.
    Ampe kế có giới hạn đo 0,5 A
  • C.
    Ampe kế có giới hạn đo 100 mA
  • D.
    Ampe kế có giới hạn đo 2 A
Câu 3 :

 Ampe kế có giới hạn đo là 50 mA phù hợp để đo cường độ dòng điện nào dưới đây?

  • A.
    Dòng điện đi qua bóng đèn pin có cường độ là 0,35 A
  • B.
    Dòng điện đi qua đèn điôt phát quang có cường độ là 28 mA.
  • C.
    Dòng điện đi qua nam châm điện có cường độ là 0,8 A.Dòng điện đi qua bóng đèn xe máy có cường độ là 0,5 A.
  • D.
    Dòng điện đi qua bóng đèn xe máy có cường độ là 0,5 A.
Câu 4 :

Nếu tại một điểm có 2 điện trường gây bởi 2 điện tích điểm Q1 âm và Q2 dương thì hướng của cường độ điện trường tại điểm đó được xác định bằng

  • A.
      hướng của véc tơ cường độ điện trường gây bởi điện tích dương.
  • B.
      hướng của véc tơ cường độ điện trường gây bởi điện tích âm.
  • C.
    hướng của tổng 2 véc tơ cường độ điện trường điện trường thành phần.
  • D.
      hướng của véc tơ cường độ điện trường gây bởi điện tích ở gần điểm đang xét hơn.
Câu 5 :

 Cho 2 điện tích điểm nằm ở 2 điểm A và B và có cùng độ lớn, cùng dấu. Cường độ điện trường tại một điểm trên đường trung trực của AB thì có phương

  • A.
      trùng với đường nối của AB.
  • B.
    trùng với đường trung trực của AB.
  • C.
      tạo với đường nối AB góc 450.
  • D.
      vuông góc với đường trung trực của AB.
Câu 6 :

 Cho 2 điện tích điểm nằm ở 2 điểm A và B và có cùng độ lớn, cùng dấu. Điểm có điện trường tổng hợp bằng 0 là

  • A.
    trung điểm của AB.
  • B.
      tất cả các điểm trên trên đường trung trực của AB.
  • C.
      các điểm tạo với điểm A và điểm B thành một tam giác đều.
  • D.
      các điểm tạo với điểm A và điểm B thành một tam giác vuông cân.
Câu 7 :

 Hai điện tích điểm cách nhau một khoảng 2m đẩy nhau một lực 1,404 N. Tổng điện tích của hai vật bằng 5.10-5 C. Tính điện tích của mỗi vật:

  • A.
    q1 = 2,6.10-5 C, q2 = 2,4.10-5 C.        
  • B.
    q1 = 1,6.10-5 C, q2 = 3,4.10-5 C.
  • C.
    q1 = 4,6.10-5 C, q2 = 0,4.10-5 C.        
  • D.
    q1 = 3.10-5 C, q2 = 2.10-5 C.
Câu 8 :

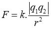
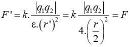
Hai điện tích điểm đặt cách nhau một khoảng r trong không khí thì hút nhau một lực F Đưa chúng vào trong dầu có hằng số điện môi ε = 4 chúng cách nhau một khoảng r’ = r/2 thì lực hút giữa chúng là:

  • A.
    F        
  • B.
    F/2        
  • C.
    2F        
  • D.
    F/4
Câu 9 :

 Trường hợp nào sau đây ta không có một tụ điện?

  • A.
    Giữa hai bản kim loại là sứ.
  • B.
    Giữa hai bản kim loại là không khí.
  • C.
    Giữa hai bản kim loại là nước tinh khiết.
  • D.
    Giữa hai bản kim loại là dung dịch NaOH.
Câu 10 :

 Một sợi dây đồng có điện trở 74 W ở 500 C, điện trở của sợi dây đó ở 1000 C là 90 W. Hệ số nhiệt điện trở của dây đồng là:

  • A.
    a = 4,1.10-3 K-1.
  • B.
    a = 4,4.10-3 K-1.
  • C.
    a = 4,9.10-3 K-1.
  • D.
    a = 4,3.10-3 K-1.
Câu 11 :

 Khi xảy ra hiện tượng siêu dẫn thì

  • A.
    điện trở suất của kim loại giảm.
  • B.
    điện trở suất của kim loại tăng.
  • C.
    điện trở suất không thay đổi.
  • D.
    điện trở suất tăng rồi lại giảm.
Câu 12 :

. Đặt vào hai đầu một điện trở R = 20 Ω một hiệu điện thế U = 2V trong khoảng thời gian t = 20 s. Lượng điện tích di chuyển qua điện trở là

  • A.
    q = 4 C
  • B.
    q = 1 C
  • C.
    q = 2 C
  • D.
    q = 5 mC.
Câu 13 :

 Nếu hiệu điện thế giữa hai bản tụ tăng 4 lần thì điện dung của tụ

  • A.
    tăng 2 lần.                
  • B.
    giảm 2 lần.                
  • C.
    tăng 4 lần.                 
  • D.
    không đổi.
Câu 14 :

 Biết điện thế tại điểm M trong điện trường là 20V. Electron có điện tích e = -1,6.10-19 C đặt tại điểm M có thế năng là:

  • A.
    3,2.10-18 J.
  • B.
    -3,2.10-18 J.
  • C.
    1,6.1020 J.
  • D.
    -1,6.1020 J.
Câu 15 :

. Công suất định mức của các dụng cụ điện là

  • A.
    công suất lớn nhất mà dụng cụ đó có thể đạt được.
  • B.
    công suất tối thiểu mà dụng cụ đó có thể đạt được.
  • C.
    công suất đạt được khi nó hoạt động bình thường.
  • D.
    công suất trung bình của dụng cụ đó.
Câu 16 :

 Công thức tính công suất điện của một đoạn mạch là

  • A.
    P=It
  • B.
     P=E It
  • C.
     P=E I
  • D.
     P=UI
Câu 17 :

 Công của lực điện trường dịch chuyển một điện tích 5.10-6 C ngược chiều một đường sức trong một điện trường đều 1000 V/m trên quãng đường dài 0,5 m là

  • A.
    -2,5.10-3 J. 
  • B.
    -5.10-3 J. 
  • C.
    2,5.10-3 J. 
  • D.
    5.10-3 J. 
Câu 18 :

Theo định luật Ôm cho toàn mạch thì cường độ dòng điện cho toàn mạch

  • A.
    tỉ lệ nghịch với suất điện động của nguồn.
  • B.
    tỉ lệ nghịch điện trở trong của nguồn.
  • C.
    tỉ lệ nghịch với điện trở ngoài của nguồn.
  • D.
    tỉ lệ nghịch với tổng điện trở trong và điện trở ngoài.
Trắc nghiệm đúng/sai
Câu 1 : Con hãy tích vào ô đúng hoặc sai cho mỗi câu (khẳng định) dưới đây.

Mắc hai đầu một biến trở R vào hai cực của một nguồn điện không đổi. Điều chỉnh giá trị biến trở R. Bỏ qua điện trở của các dây nối. Đồ thị biểu diễn sự phụ thuộc của công suất toả nhiệt trên biến trở P theo R như Hình 19.4.

a) Công suất toả nhiệt trên biến trở: \({\rm{P}} = \frac{{{{\rm{E}}^2}}}{{R + 2r + \frac{{{r^2}}}{R}}}\)

Đúng
Sai

b) Giá trị cực đại của P: \({{\rm{P}}_{{\rm{max}}}} = \frac{{{{\rm{E}}^2}}}{{4r}}\)

Đúng
Sai

c) Suất điện động của nguồn điện là \({\rm{E}} = 12\;V\)

Đúng
Sai

d) Khoảng thời gian giữa hai lần liên tiếp công suất Pđạt giá trị 5 W là \({\rm{\Delta }}t = 60{\rm{\;s}}\)

Đúng
Sai

Câu 2 : Con hãy tích vào ô đúng hoặc sai cho mỗi câu (khẳng định) dưới đây.

Hai nguồn điện giống hệt nhau được mắc thành bộ rồi nối hai cực của bộ nguồn với hai đầu của một điện trở thì kết quả là: cường độ dòng điện qua điện trở trong trường hợp hai nguồn mắc nối tiếp và hai nguồn mắc song song đều bằng nhau.

a) Trường hợp hai nguồn mắc nối tiếp: \({I_1} = \frac{{2{\rm{E}}}}{{R + 2r}}\)

Đúng
Sai

Đúng
Sai

c) Từ (1) và (2) cho I1=I2 ta được R=r

Đúng
Sai

d) Thay vào tính được hiệu suất tương ứng trong hai trường hợp: \({H_2} = \frac{r}{{r + 2r}} = \frac{1}{3}\) và \({H_1} = \frac{r}{{r + \frac{r}{2}}} = \frac{2}{3}\)

Đúng
Sai

Câu 3 : Con hãy tích vào ô đúng hoặc sai cho mỗi câu (khẳng định) dưới đây.

Một tụ điện A có điện dung 0,6μF được gắn vào hai đầu một nguồn điện không đổi có hiệu điện thế 50 V. Sau đó, tụ được ngắt tụ ra khỏi nguồn và ghép song song với với một tụ điện B có điện dung 0,4μF chưa tích điện. Trong quá trình nối có một tia lửa điện nhỏ được phát ra.

a) Năng lượng của tụ điện A trước khi được nối là: \(W = 7,{5.10^{ – 4}}{\rm{\;J}}\)

Đúng
Sai

b) Theo định luật bảo toàn điện tích, ta có: \(U’ = 30{\rm{\;V}}\)

Đúng
Sai

c) Năng lượng của tụ điện A và B sau khi được nối là: \(W’ = 4,{5.10^{ – 4}}{\rm{\;J}}\)

Đúng
Sai

d) Năng lượng của tia lửa điện phát ra khi nối hai tụ điện với nhau là: \({\rm{\Delta }}W = – {3.10^{ – 4}}{\rm{\;J}}\)

Đúng
Sai

Câu 4 : Con hãy tích vào ô đúng hoặc sai cho mỗi câu (khẳng định) dưới đây.

Trong một số bàn phím máy tính, mỗi nút bấm được gắn với một tụ điện phẳng hai bản song song (có mô hình minh hoạ như Hình 14.2).

Khi giá trị điện dung của tụ điện thay đổi, máy tính sẽ ghi nhận tín hiệu tương ứng với kí tự trên bàn phím. Bản kim loại phía trên của tụ được gắn chặt với nút bấm và có thể di chuyển mỗi khi nhấn nút. Tụ điện nói trên được nối với mạch điện ngoài nên hiệu điện thế giữa hai bản tụ được duy trì ở một giá trị không đổi U=5 V. Trước khi gõ phím, khoảng cách giữa hai bản tụ là 2 mm, khi đó tụ điện có điện dung là 0,81 pF. Biết rằng điện dung của tụ tỉ lệ nghịch với khoảng cách giữa hai bản tụ. Khi gõ nút bấm đi xuống một đoạn 1,5 mm thì

a) Điện tích của tụ điện trước khi gõ là: \({Q_1} \approx 5,{05.10^{ – 12}}{\rm{C}}\)

Đúng
Sai

b) Gọi điện dung của tụ điện sau khi gõ là C2. Vì điện dung của tụ điện tỉ lệ nghịch với khoảng cách giữa hai bản tụ nên: \(\frac{{{C_2}}}{{{C_1}}} = \frac{{{d_1}}}{{{d_2}}} \Rightarrow {C_2} = 3,24{\rm{pF}}\)

Đúng
Sai

c) Điện tích của tụ điện sau khi gõ là: \({Q_2} = 2,{62.10^{ – 11}}{\rm{C}}\)

Đúng
Sai

d) Điện tích của tụ điện tăng một lượng: \({\rm{\Delta }}Q = 1,{22.10^{ – 11}}{\rm{C}}\)

Đúng
Sai

Trắc nghiệm ngắn
Câu 1 :

Xét mạch điện như hình vẽ. Tính điện trở của đoạn mạch AB, biết các điện trở có giá trị bằng nhau và bằng 1\(\Omega \). Biết dây nối có điện trở không đáng kể.

Câu 2 :

Một dây đồng có 8,5.1028 electron tự do trong một mét khối. Dây có tiết diện thẳng là 1,2 mm2 và trong dây có cường độ dòng điện 2 A. Tính tốc độ chuyển động có hướng của các electron.

Câu 3 :

Cho mạch điện như hình vẽ. Suất điện động E của nguồn chưa biết. Bỏ qua điện trở của các dây nối. Tìm giá trị của E để nguồn 10 V được nạp điện.

Câu 4 :

Một electron chuyển động dọc theo đường sức của một điện trường đều. Cường độ điện trường E = 1000 V/m. Vận tốc ban đầu của electron là 3.105 m/s, khối lượng của elctron là 9,1.10-31kg. Tại lúc vận tốc bằng không thì nó đã đi được đoạn đường bao nhiêu, tính theo đơn vị mm)

Câu 5 :

Cho điện tích dịch chuyển giữa 2 điểm cố định trong một điện trường đều với cường độ điện trường 100 V/m thì công của lực điện trường là 50 mJ. Nếu cường độ điện trường là 200 V/m thì công của lực điện trường dịch chuyển điện tích giữa hai điểm đó là bao nhiêu?

Câu 6 :

Công của lực điện trường dịch chuyển một điện tích – 5μC ngược chiều một đường sức trong một điện trường đều 10000 V/m trên quãng đường dài 1 m là bao nhiêu?

Lời giải và đáp án

Trắc nghiệm nhiều đáp án
Câu 1 :

 Mối liên hệ giữa số chỉ của ampe kế với độ sáng của đèn được 4 học sinh phát biểu như sau. Hỏi phát biểu nào dưới đây là sai?

  • A.
    Đèn chưa sáng khi số chỉ ampe kế còn rất nhỏ.
  • B.
    Đèn sáng càng mạnh thì số chỉ của ampe kế càng lớn.
  • C.
    Số chỉ của ampe kế giảm đi thì độ sáng của đèn giảm đi.
  • D.
    Số chỉ của ampe kế và độ sáng của đèn không liên hệ gì với nhau.

Đáp án : D

Phương pháp giải :

Số chỉ của ampe kế và độ sáng của đèn không liên hệ gì với nhau là sai vì số chỉ của Ampe kế cho biết độ sáng mạnh yếu của đèn

Lời giải chi tiết :

Đáp án D

Câu 2 :

 Ampe kế nào dưới đây là phù hợp nhất để đo cường độ dòng điện chạy qua bóng đèn pin (Cho phép dòng điện có cường độ lớn nhất là 0,35A).

  • A.
    Ampe kế có giới hạn đo 1 A.
  • B.
    Ampe kế có giới hạn đo 0,5 A
  • C.
    Ampe kế có giới hạn đo 100 mA
  • D.
    Ampe kế có giới hạn đo 2 A

Đáp án : B

Phương pháp giải :

Ampe kế có giới hạn đo 0,5 A là phù hợp nhất để đo cường độ dòng điện chạy qua bóng đèn pin (Cho phép dòng điện có cường độ lớn nhất là 0,35A).

Lời giải chi tiết :

Đáp án B

Câu 3 :

 Ampe kế có giới hạn đo là 50 mA phù hợp để đo cường độ dòng điện nào dưới đây?

  • A.
    Dòng điện đi qua bóng đèn pin có cường độ là 0,35 A
  • B.
    Dòng điện đi qua đèn điôt phát quang có cường độ là 28 mA.
  • C.
    Dòng điện đi qua nam châm điện có cường độ là 0,8 A.Dòng điện đi qua bóng đèn xe máy có cường độ là 0,5 A.
  • D.
    Dòng điện đi qua bóng đèn xe máy có cường độ là 0,5 A.

Đáp án : B

Phương pháp giải :

Ampe kế có giới hạn đo là 50 mA phù hợp để đo cường độ dòng điện đi qua đèn điôt phát quang có cường độ là 28 mA

Lời giải chi tiết :

Đáp án B

Câu 4 :

Nếu tại một điểm có 2 điện trường gây bởi 2 điện tích điểm Q1 âm và Q2 dương thì hướng của cường độ điện trường tại điểm đó được xác định bằng

  • A.
      hướng của véc tơ cường độ điện trường gây bởi điện tích dương.
  • B.
      hướng của véc tơ cường độ điện trường gây bởi điện tích âm.
  • C.
    hướng của tổng 2 véc tơ cường độ điện trường điện trường thành phần.
  • D.
      hướng của véc tơ cường độ điện trường gây bởi điện tích ở gần điểm đang xét hơn.

Đáp án : C

Lời giải chi tiết :

Nếu tại một điểm có 2 điện trường gây bởi 2 điện tích điểm Q1 âm và Q2 dương thì hướng của cường độ điện trường tại điểm đó được xác định bằng hướng của tổng 2 véc tơ cường độ điện trường điện trường thành phần.

Đáp án: C

Câu 5 :

 Cho 2 điện tích điểm nằm ở 2 điểm A và B và có cùng độ lớn, cùng dấu. Cường độ điện trường tại một điểm trên đường trung trực của AB thì có phương

  • A.
      trùng với đường nối của AB.
  • B.
    trùng với đường trung trực của AB.
  • C.
      tạo với đường nối AB góc 450.
  • D.
      vuông góc với đường trung trực của AB.

Đáp án : B

Lời giải chi tiết :

Cho 2 điện tích điểm nằm ở 2 điểm A và B và có cùng độ lớn, cùng dấu. Cường độ điện trường tại một điểm trên đường trung trực của AB thì có phương trùng với đường trung trực của AB.

Đáp án: B

Câu 6 :

 Cho 2 điện tích điểm nằm ở 2 điểm A và B và có cùng độ lớn, cùng dấu. Điểm có điện trường tổng hợp bằng 0 là

  • A.
    trung điểm của AB.
  • B.
      tất cả các điểm trên trên đường trung trực của AB.
  • C.
      các điểm tạo với điểm A và điểm B thành một tam giác đều.
  • D.
      các điểm tạo với điểm A và điểm B thành một tam giác vuông cân.

Đáp án : A

Lời giải chi tiết :

Cho 2 điện tích điểm nằm ở 2 điểm A và B và có cùng độ lớn, cùng dấu. Điểm có điện trường tổng hợp bằng 0 là trung điểm của AB.

Đáp án: A

Câu 7 :

 Hai điện tích điểm cách nhau một khoảng 2m đẩy nhau một lực 1,404 N. Tổng điện tích của hai vật bằng 5.10-5 C. Tính điện tích của mỗi vật:

  • A.
    q1 = 2,6.10-5 C, q2 = 2,4.10-5 C.        
  • B.
    q1 = 1,6.10-5 C, q2 = 3,4.10-5 C.
  • C.
    q1 = 4,6.10-5 C, q2 = 0,4.10-5 C.        
  • D.
    q1 = 3.10-5 C, q2 = 2.10-5 C.

Đáp án : A

Lời giải chi tiết :

Ta có: q1 + q2 = 5.10-5 C.

Vì 2 điện tích đẩy nhau nên chúng cùng dấu suy ra q1q2 = 6,24.10-10

Khi đó q1, q2 là nghiệm của PT: q2 – 5.10-5q + 6,24.10-10  = 0

→ q1 = 2,6.10-5 C, q2 = 2,4.10-5 C. 

Chọn A.

Câu 8 :

Hai điện tích điểm đặt cách nhau một khoảng r trong không khí thì hút nhau một lực F Đưa chúng vào trong dầu có hằng số điện môi ε = 4 chúng cách nhau một khoảng r’ = r/2 thì lực hút giữa chúng là:

  • A.
    F        
  • B.
    F/2        
  • C.
    2F        
  • D.
    F/4

Đáp án : A

Lời giải chi tiết :

Chọn A.

Câu 9 :

 Trường hợp nào sau đây ta không có một tụ điện?

  • A.
    Giữa hai bản kim loại là sứ.
  • B.
    Giữa hai bản kim loại là không khí.
  • C.
    Giữa hai bản kim loại là nước tinh khiết.
  • D.
    Giữa hai bản kim loại là dung dịch NaOH.

Đáp án : D

Lời giải chi tiết :

NaOH là chất dẫn điện, mà tụ điện là hệ thống gồm hai vật dẫn đặt gần nhau và ngăn cách nhau bằng một lớp cách điện.

Đáp án D.

Câu 10 :

 Một sợi dây đồng có điện trở 74 W ở 500 C, điện trở của sợi dây đó ở 1000 C là 90 W. Hệ số nhiệt điện trở của dây đồng là:

  • A.
    a = 4,1.10-3 K-1.
  • B.
    a = 4,4.10-3 K-1.
  • C.
    a = 4,9.10-3 K-1.
  • D.
    a = 4,3.10-3 K-1.

Đáp án : C

Lời giải chi tiết :

Đáp án C

Câu 11 :

 Khi xảy ra hiện tượng siêu dẫn thì

  • A.
    điện trở suất của kim loại giảm.
  • B.
    điện trở suất của kim loại tăng.
  • C.
    điện trở suất không thay đổi.
  • D.
    điện trở suất tăng rồi lại giảm.

Đáp án : A

Lời giải chi tiết :

là hiện tượng điện trở suất của vật liệu giảm đột ngột xuống bằng 0 khi khi nhiệt độ của vật liệu giảm xuống thấp hơn một giá trị Tc nhất định. Giá trị Tc này phụ thuộc vào bản thân vật liệu.

Đáp án A

Câu 12 :

. Đặt vào hai đầu một điện trở R = 20 Ω một hiệu điện thế U = 2V trong khoảng thời gian t = 20 s. Lượng điện tích di chuyển qua điện trở là

  • A.
    q = 4 C
  • B.
    q = 1 C
  • C.
    q = 2 C
  • D.
    q = 5 mC.

Đáp án : C

Lời giải chi tiết :

Áp dụng định luật Ôm cho đoạn mạch: \(I = \frac{U}{R} = \frac{2}{{20}} = 0,1\) (A).

Lượng điện tích di chuyển qua điện trở trong 20 s là q = I.t = 0,1.20 = 2 C.

Đáp án C.

Câu 13 :

 Nếu hiệu điện thế giữa hai bản tụ tăng 4 lần thì điện dung của tụ

  • A.
    tăng 2 lần.                
  • B.
    giảm 2 lần.                
  • C.
    tăng 4 lần.                 
  • D.
    không đổi.

Đáp án : D

Lời giải chi tiết :

Điện dung của tụ điện không phụ thuộc vào hiệu điện thế giữa hai bản tụ nên nếu hiệu điện thế giữa hai bản tụ tăng 2 lần thì điện dung của tụ không đổi.

Đáp án D

Câu 14 :

 Biết điện thế tại điểm M trong điện trường là 20V. Electron có điện tích e = -1,6.10-19 C đặt tại điểm M có thế năng là:

  • A.
    3,2.10-18 J.
  • B.
    -3,2.10-18 J.
  • C.
    1,6.1020 J.
  • D.
    -1,6.1020 J.

Đáp án : B

Lời giải chi tiết :

WM = qVM. Thay số: WM = -1,6.10-19.20 = -3,2.10-18 J.

Đáp án B.

Câu 15 :

. Công suất định mức của các dụng cụ điện là

  • A.
    công suất lớn nhất mà dụng cụ đó có thể đạt được.
  • B.
    công suất tối thiểu mà dụng cụ đó có thể đạt được.
  • C.
    công suất đạt được khi nó hoạt động bình thường.
  • D.
    công suất trung bình của dụng cụ đó.

Đáp án : C

Lời giải chi tiết :

Công suất định mức là công suất đạt được khi nó hoạt động bình thường.

Đáp án C.

Câu 16 :

 Công thức tính công suất điện của một đoạn mạch là

  • A.
    P=It
  • B.
     P=E It
  • C.
     P=E I
  • D.
     P=UI

Đáp án : D

Lời giải chi tiết :

Công thức công suất điện của một đoạn mạch là P=UI

Đáp án D.

Câu 17 :

 Công của lực điện trường dịch chuyển một điện tích 5.10-6 C ngược chiều một đường sức trong một điện trường đều 1000 V/m trên quãng đường dài 0,5 m là

  • A.
    -2,5.10-3 J. 
  • B.
    -5.10-3 J. 
  • C.
    2,5.10-3 J. 
  • D.
    5.10-3 J. 

Đáp án : A

Lời giải chi tiết :

A = qEd = qEscosα = 5.10-6.1000.0,5.cos1800 = -2,5.10-3 J. 

Đáp án:  A.

Câu 18 :

Theo định luật Ôm cho toàn mạch thì cường độ dòng điện cho toàn mạch

  • A.
    tỉ lệ nghịch với suất điện động của nguồn.
  • B.
    tỉ lệ nghịch điện trở trong của nguồn.
  • C.
    tỉ lệ nghịch với điện trở ngoài của nguồn.
  • D.
    tỉ lệ nghịch với tổng điện trở trong và điện trở ngoài.

Đáp án : D

Lời giải chi tiết :

Biểu thức định luật Ôm đối với toàn mạch là \(I = \frac{E}{{r + R}}\), vậy cường độ dòng điện trong toàn mạch tỉ lệ nghịch với tổng điện trở trong và điện trở ngoài.

Đáp án D

Trắc nghiệm đúng/sai
Câu 1 : Con hãy tích vào ô đúng hoặc sai cho mỗi câu (khẳng định) dưới đây.

Mắc hai đầu một biến trở R vào hai cực của một nguồn điện không đổi. Điều chỉnh giá trị biến trở R. Bỏ qua điện trở của các dây nối. Đồ thị biểu diễn sự phụ thuộc của công suất toả nhiệt trên biến trở P theo R như Hình 19.4.

a) Công suất toả nhiệt trên biến trở: \({\rm{P}} = \frac{{{{\rm{E}}^2}}}{{R + 2r + \frac{{{r^2}}}{R}}}\)

Đúng
Sai

b) Giá trị cực đại của P: \({{\rm{P}}_{{\rm{max}}}} = \frac{{{{\rm{E}}^2}}}{{4r}}\)

Đúng
Sai

c) Suất điện động của nguồn điện là \({\rm{E}} = 12\;V\)

Đúng
Sai

d) Khoảng thời gian giữa hai lần liên tiếp công suất Pđạt giá trị 5 W là \({\rm{\Delta }}t = 60{\rm{\;s}}\)

Đúng
Sai

Đáp án

a) Công suất toả nhiệt trên biến trở: \({\rm{P}} = \frac{{{{\rm{E}}^2}}}{{R + 2r + \frac{{{r^2}}}{R}}}\)

Đúng
Sai

b) Giá trị cực đại của P: \({{\rm{P}}_{{\rm{max}}}} = \frac{{{{\rm{E}}^2}}}{{4r}}\)

Đúng
Sai

c) Suất điện động của nguồn điện là \({\rm{E}} = 12\;V\)

Đúng
Sai

d) Khoảng thời gian giữa hai lần liên tiếp công suất Pđạt giá trị 5 W là \({\rm{\Delta }}t = 60{\rm{\;s}}\)

Đúng
Sai

Lời giải chi tiết :

a) Ta có, công suất toả nhiệt trên biến trở: \({\rm{P}} = R{I^2} = R\frac{{{{\rm{E}}^2}}}{{{{\left( {R + r} \right)}^2}}} = \frac{{{{\rm{E}}^2}}}{{R + 2r + \frac{{{r^2}}}{R}}}\)

Đúng

b) Áp dụng bất đẳng thức Cauchy ta có: \(R + \frac{{{r^2}}}{R} \ge 2r\) Dấu “=” của biểu thức này ( R = r) tương ứng với giá trị cực đại của P: \({{\rm{P}}_{{\rm{max}}}} = \frac{{{{\rm{E}}^2}}}{{4r}}\)

Đúng

c) Từ đồ thị, ta có: r=4Ωvà Pmax=9 W.

Thay vào: \({{\rm{P}}_{\max }} = \frac{{{{\rm{E}}^2}}}{{4r}} \Rightarrow 9 = \frac{{{{\rm{E}}^2}}}{{4.4}} \Rightarrow {\rm{E}} = 12\;V\)

Đúng

d) Với P=5 W ta thấy trên đồ thị có một giá trị tương ứng là R2=20Ω. Giá trị R1 còn lại thoả điều kiện R1R2=r2⇒R1⋅20=42⇒R1=0,8Ω

Từ đề bài, ta có: R=0,32t(Ω), (t tính bằng s). Từ đó, thời gian cần tìm là:

\({\rm{\Delta }}t = \frac{{20 – 0,8}}{{0,32}} = 60{\rm{\;s}}\)

Đúng

Câu 2 : Con hãy tích vào ô đúng hoặc sai cho mỗi câu (khẳng định) dưới đây.

Hai nguồn điện giống hệt nhau được mắc thành bộ rồi nối hai cực của bộ nguồn với hai đầu của một điện trở thì kết quả là: cường độ dòng điện qua điện trở trong trường hợp hai nguồn mắc nối tiếp và hai nguồn mắc song song đều bằng nhau.

a) Trường hợp hai nguồn mắc nối tiếp: \({I_1} = \frac{{2{\rm{E}}}}{{R + 2r}}\)

Đúng
Sai

Đúng
Sai

c) Từ (1) và (2) cho I1=I2 ta được R=r

Đúng
Sai

d) Thay vào tính được hiệu suất tương ứng trong hai trường hợp: \({H_2} = \frac{r}{{r + 2r}} = \frac{1}{3}\) và \({H_1} = \frac{r}{{r + \frac{r}{2}}} = \frac{2}{3}\)

Đúng
Sai

Đáp án

a) Trường hợp hai nguồn mắc nối tiếp: \({I_1} = \frac{{2{\rm{E}}}}{{R + 2r}}\)

Đúng
Sai

Đúng
Sai

c) Từ (1) và (2) cho I1=I2 ta được R=r

Đúng
Sai

d) Thay vào tính được hiệu suất tương ứng trong hai trường hợp: \({H_2} = \frac{r}{{r + 2r}} = \frac{1}{3}\) và \({H_1} = \frac{r}{{r + \frac{r}{2}}} = \frac{2}{3}\)

Đúng
Sai

Phương pháp giải :

Vận dụng công thức mắc nguồn thành bộ

Lời giải chi tiết :

a) Trường hợp hai nguồn mắc nối tiếp: \({I_1} = \frac{{{{\rm{E}}_{nt}}}}{{R + {r_{nt}}}} = \frac{{2{\rm{E}}}}{{R + 2r}}\)

Đúng

b) Trường hợp hai nguồn mắc song song: \({I_2} = \frac{{{{\rm{E}}_{//}}}}{{R + {r_{//}}}} = \frac{{\rm{E}}}{{R + \frac{r}{2}}}\)

Đúng

c) Từ (1) và (2) cho I1=I2 ta được R=r

Đúng

d) Thay vào tính được hiệu suất tương ứng trong hai trường hợp: 

\({H_1} = \frac{r}{{r + 2r}} = \frac{1}{3}\) và \({H_2} = \frac{r}{{r + \frac{r}{2}}} = \frac{2}{3}\)

Sai

Câu 3 : Con hãy tích vào ô đúng hoặc sai cho mỗi câu (khẳng định) dưới đây.

Một tụ điện A có điện dung 0,6μF được gắn vào hai đầu một nguồn điện không đổi có hiệu điện thế 50 V. Sau đó, tụ được ngắt tụ ra khỏi nguồn và ghép song song với với một tụ điện B có điện dung 0,4μF chưa tích điện. Trong quá trình nối có một tia lửa điện nhỏ được phát ra.

a) Năng lượng của tụ điện A trước khi được nối là: \(W = 7,{5.10^{ – 4}}{\rm{\;J}}\)

Đúng
Sai

b) Theo định luật bảo toàn điện tích, ta có: \(U’ = 30{\rm{\;V}}\)

Đúng
Sai

c) Năng lượng của tụ điện A và B sau khi được nối là: \(W’ = 4,{5.10^{ – 4}}{\rm{\;J}}\)

Đúng
Sai

d) Năng lượng của tia lửa điện phát ra khi nối hai tụ điện với nhau là: \({\rm{\Delta }}W = – {3.10^{ – 4}}{\rm{\;J}}\)

Đúng
Sai

Đáp án

a) Năng lượng của tụ điện A trước khi được nối là: \(W = 7,{5.10^{ – 4}}{\rm{\;J}}\)

Đúng
Sai

b) Theo định luật bảo toàn điện tích, ta có: \(U’ = 30{\rm{\;V}}\)

Đúng
Sai

c) Năng lượng của tụ điện A và B sau khi được nối là: \(W’ = 4,{5.10^{ – 4}}{\rm{\;J}}\)

Đúng
Sai

d) Năng lượng của tia lửa điện phát ra khi nối hai tụ điện với nhau là: \({\rm{\Delta }}W = – {3.10^{ – 4}}{\rm{\;J}}\)

Đúng
Sai

Phương pháp giải :

Áp dụng công thức tính năng lượng của tụ điện

Lời giải chi tiết :

a) Năng lượng của tụ điện A trước khi được nối là: \(W = \frac{1}{2}{C_1}{U^2} = \frac{1}{2}.0,{6.10^{ – 6}}{.50^2} = 7,{5.10^{ – 4}}{\rm{\;J}}\)

Đúng

b) Theo định luật bảo toàn điện tích, ta có: \(Q = {Q_1} + {Q_2} \Rightarrow {C_1}U = {C_1}U’ + {C_2}U’ \Rightarrow U’ = \frac{{{C_1}U}}{{{C_1} + {C_2}}} = \frac{{0,{{6.10}^{ – 6}}.50}}{{0,{{6.10}^{ – 6}} + 0,{{4.10}^{ – 6}}}} = 30{\rm{\;V}}\)

Đúng

c) Năng lượng của tụ điện A và B sau khi được nối là: \(W’ = \frac{1}{2}{C_1}{U^{{\rm{‘}}2}} + \frac{1}{2}{C_2}{U^{{\rm{‘}}2}} = \frac{1}{2}.0,{6.10^{ – 6}}{.30^2} + \frac{1}{2}.0,{4.10^{ – 6}}{.30^2} = 4,{5.10^{ – 4}}{\rm{\;J}}\)

Đúng

d) Năng lượng của tia lửa điện phát ra khi nối hai tụ điện với nhau là:

\({\rm{\Delta }}W = W – W’ = 7,{5.10^{ – 4}} – 4,{5.10^{ – 4}} = {3.10^{ – 4}}{\rm{\;J}}\)

Sai

Câu 4 : Con hãy tích vào ô đúng hoặc sai cho mỗi câu (khẳng định) dưới đây.

Trong một số bàn phím máy tính, mỗi nút bấm được gắn với một tụ điện phẳng hai bản song song (có mô hình minh hoạ như Hình 14.2).

Khi giá trị điện dung của tụ điện thay đổi, máy tính sẽ ghi nhận tín hiệu tương ứng với kí tự trên bàn phím. Bản kim loại phía trên của tụ được gắn chặt với nút bấm và có thể di chuyển mỗi khi nhấn nút. Tụ điện nói trên được nối với mạch điện ngoài nên hiệu điện thế giữa hai bản tụ được duy trì ở một giá trị không đổi U=5 V. Trước khi gõ phím, khoảng cách giữa hai bản tụ là 2 mm, khi đó tụ điện có điện dung là 0,81 pF. Biết rằng điện dung của tụ tỉ lệ nghịch với khoảng cách giữa hai bản tụ. Khi gõ nút bấm đi xuống một đoạn 1,5 mm thì

a) Điện tích của tụ điện trước khi gõ là: \({Q_1} \approx 5,{05.10^{ – 12}}{\rm{C}}\)

Đúng
Sai

b) Gọi điện dung của tụ điện sau khi gõ là C2. Vì điện dung của tụ điện tỉ lệ nghịch với khoảng cách giữa hai bản tụ nên: \(\frac{{{C_2}}}{{{C_1}}} = \frac{{{d_1}}}{{{d_2}}} \Rightarrow {C_2} = 3,24{\rm{pF}}\)

Đúng
Sai

c) Điện tích của tụ điện sau khi gõ là: \({Q_2} = 2,{62.10^{ – 11}}{\rm{C}}\)

Đúng
Sai

d) Điện tích của tụ điện tăng một lượng: \({\rm{\Delta }}Q = 1,{22.10^{ – 11}}{\rm{C}}\)

Đúng
Sai

Đáp án

a) Điện tích của tụ điện trước khi gõ là: \({Q_1} \approx 5,{05.10^{ – 12}}{\rm{C}}\)

Đúng
Sai

b) Gọi điện dung của tụ điện sau khi gõ là C2. Vì điện dung của tụ điện tỉ lệ nghịch với khoảng cách giữa hai bản tụ nên: \(\frac{{{C_2}}}{{{C_1}}} = \frac{{{d_1}}}{{{d_2}}} \Rightarrow {C_2} = 3,24{\rm{pF}}\)

Đúng
Sai

c) Điện tích của tụ điện sau khi gõ là: \({Q_2} = 2,{62.10^{ – 11}}{\rm{C}}\)

Đúng
Sai

d) Điện tích của tụ điện tăng một lượng: \({\rm{\Delta }}Q = 1,{22.10^{ – 11}}{\rm{C}}\)

Đúng
Sai

Phương pháp giải :

Áp dụng công thức tính điện tích của tụ

Lời giải chi tiết :

a) Điện tích của tụ điện trước khi gõ là: \({Q_1} = {C_1}{U_1} = \left( {0,{{81.10}^{ – 12}}} \right).5 \approx 4,{05.10^{ – 12}}{\rm{C}}\)

Sai

b) Gọi điện dung của tụ điện sau khi gõ là C2. Vì điện dung của tụ điện tỉ lệ nghịch với khoảng cách giữa hai bản tụ nên: \(\frac{{{C_2}}}{{{C_1}}} = \frac{{{d_1}}}{{{d_2}}} \Rightarrow {C_2} = {C_1}.\frac{{{d_1}}}{{{d_2}}} = 0,81.\frac{2}{{2 – 1,5}} = 3,24{\rm{pF}}\)

Đúng

c) Điện tích của tụ điện sau khi gõ là: \({Q_2} = {C_2}{U_2} = \left( {3,{{24.10}^{ – 12}}} \right).5 \approx 1,{62.10^{ – 11}}{\rm{C}}\)

Sai

d) Điện tích của tụ điện tăng một lượng: \({\rm{\Delta }}Q = {Q_2} – {Q_1} = 1,{62.10^{ – 11}} – 4,{05.10^{ – 12}} \approx 1,{22.10^{ – 11}}{\rm{C}}\)

Đúng

Trắc nghiệm ngắn
Câu 1 :

Xét mạch điện như hình vẽ. Tính điện trở của đoạn mạch AB, biết các điện trở có giá trị bằng nhau và bằng 1\(\Omega \). Biết dây nối có điện trở không đáng kể.

Lời giải chi tiết :

\(\begin{array}{l}{R_{23}} = \frac{{{R_2}{R_3}}}{{{R_2} + {R_3}}} = \frac{R}{2} = 0,5\Omega \\{R_{234}} = {R_4} + {R_{23}} = \frac{{3R}}{2} = 1,5\Omega \\{R_{AB}} = \frac{{{R_{234}}{R_1}}}{{{R_{234}} + {R_1}}} = \frac{{3R}}{5} = 0,6\Omega \end{array}\)

Câu 2 :

Một dây đồng có 8,5.1028 electron tự do trong một mét khối. Dây có tiết diện thẳng là 1,2 mm2 và trong dây có cường độ dòng điện 2 A. Tính tốc độ chuyển động có hướng của các electron.

Lời giải chi tiết :

\(v = \frac{I}{{Sne}} = \frac{2}{{1,{{2.10}^{ – 6}}.8,{{5.10}^{28}}.1,{{6.10}^{ – 19}}}} = 1,{2.10^{ – 4}}m/s = 0,12mm/s\)

Câu 3 :

Cho mạch điện như hình vẽ. Suất điện động E của nguồn chưa biết. Bỏ qua điện trở của các dây nối. Tìm giá trị của E để nguồn 10 V được nạp điện.

Lời giải chi tiết :

Nguồn 10 V được nạp khi E có giá trị đủ lớn để triệt tiêu dòng điện do nguồn 10 V tạo ra. Nghĩa là dòng điện chạy qua nguồn 10 V bằng 0 . Khi đó hiệu điện thế giữa hai đầu điện trở 2,5 ôm bằng 10 V. Suy ra dòng điện chạy do nguồn phát bằng 4 A. Từ đó, định luật Ohm cho toàn mạch kín

\(4 = \frac{E}{{3,5}} \Rightarrow E = 14V\)

Câu 4 :

Một electron chuyển động dọc theo đường sức của một điện trường đều. Cường độ điện trường E = 1000 V/m. Vận tốc ban đầu của electron là 3.105 m/s, khối lượng của elctron là 9,1.10-31kg. Tại lúc vận tốc bằng không thì nó đã đi được đoạn đường bao nhiêu, tính theo đơn vị mm)

Lời giải chi tiết :

Công của lực điện trường là A = qEd = – eEd = ΔW

Theo định lý biến thiên động năng ta có:

Câu 5 :

Cho điện tích dịch chuyển giữa 2 điểm cố định trong một điện trường đều với cường độ điện trường 100 V/m thì công của lực điện trường là 50 mJ. Nếu cường độ điện trường là 200 V/m thì công của lực điện trường dịch chuyển điện tích giữa hai điểm đó là bao nhiêu?

Lời giải chi tiết :

Ta có:

\(A = qEd\) nên \(\frac{{{A_1}}}{{{A_2}}} = \frac{{{E_1}}}{{{E_2}}} \Rightarrow \frac{{50}}{{{A_2}}} = \frac{{100}}{{200}} \Rightarrow {A_2} = 100mJ\)

Câu 6 :

Công của lực điện trường dịch chuyển một điện tích – 5μC ngược chiều một đường sức trong một điện trường đều 10000 V/m trên quãng đường dài 1 m là bao nhiêu?

Lời giải chi tiết :

A = qEd = qEscosα = -5.10-6.10000.1.cos1800 = 5.10-2 J. 

TẢI APP ĐỂ XEM OFFLINE