2. Đề kiểm tra giữa kì 2 Toán 12 – đề số 2

Đáp án và lời giải chi tiết Đề kiểm tra giữa kì 2 Toán 12

Đề bài

Câu 1 . Trong không gian Oxyz, cho \(A\left( {1;1; – 1} \right),B\left( { – 1;2;0} \right),C\left( {3; – 1; – 2} \right)\). Giả sử \(M\left( {a;b;c} \right)\) thuộc mặt cầu \(\left( S \right):{\left( {x – 1} \right)^2} + {y^2} + {\left( {z + 1} \right)^2} = 861\) sao cho \(P = 2M{A^2} – 7M{B^2} + 4M{C^2}\) đạt giá trị nhỏ nhất. Giá trị \(T = \left| a \right| + \left| b \right| + \left| c \right|\) bằng

A. \(T = 47\).   B. \(T = 55\)                               

C. \(T = 51\)    D. \(T = 49\).

Câu 2 Tìm nguyên hàm của hàm số \(f(x) = 3{x^2} + 8\sin x\).

A. \(\int {f\left( x \right){\rm{d}}x} {\rm{\;}} = 6x – 8\cos x + C\).  

B. \(\int {f\left( x \right){\rm{d}}x} {\rm{\;}} = 6x + 8\cos x + C\).

C. \(\int {f\left( x \right){\rm{d}}x} {\rm{\;}} = {x^3} – 8\cos x + C\).         

D. \(\int {f\left( x \right){\rm{d}}x} {\rm{\;}} = {x^3} + 8\cos x + C\).

Câu 3 Cho tứ diện đều ABCD có cạnh bằng 4. Hình trụ \(\left( T \right)\) có một đường tròn đáy là đường tròn nội tiếp tam giác BCD và chiều cao bằng chiều cao của tứ diện ABCD. Diện tích xung quanh của \(\left( T \right)\) bằng:

A. \(\dfrac{{16\sqrt 2 \pi }}{3}.\)              B. \(8\sqrt 2 \pi .\)           

C. \(\dfrac{{16\sqrt 3 \pi }}{3}.\)              D. \(8\sqrt 3 \pi .\)

Câu 4 Tập nghiệm của bất phương trình \({\log _{\dfrac{1}{3}}}\dfrac{{1 – 2x}}{x} > 0\) có dạng \(\left( {a;b} \right)\). Tính \(T = 3a – 2b.\)

A. \(T = 0.\)            B. \(T = {\rm{\;}} – 1.\)   

C. \(T = 1.\)             D. \(T = \dfrac{{ – 2}}{3}.\)

Câu 5 Cho hình chóp S.ABCD có đáy là hình thoi, tam giác SAB đều và nằm trong mặt phẳng vuông góc với mặt phẳng \(\left( {ABCD} \right)\). Biết \(AC = 2a,{\mkern 1mu} {\mkern 1mu} BD = 4a\). Tính theo \(a\) khoảng cách giữa hai đường thẳng AD và SC.

A. \(\dfrac{{a\sqrt {15} }}{2}\).                    B. \(\dfrac{{2a\sqrt 5 }}{5}\).  

C. \(\dfrac{{2{a^3}\sqrt {15} }}{3}\).                  D. \(\dfrac{{4a\sqrt {1365} }}{{91}}\).

Câu 6 Cho hàm số \(y = {x^3} – 3m{x^2} + 4{m^3}.\) Với giá trị nào của \(m\) để hàm số có 2 điểm cực trị A,B sao cho \(AB = \sqrt {20} .\)

A. \(m = 1;{\mkern 1mu} {\mkern 1mu} m = 2\)

B. \(m = 1\)    

C. \(m = {\rm{\;}} \pm 1\)     

D. \(m = {\rm{\;}} \pm 2\)

Câu 7 Biết rằng \(\int\limits_1^2 {\dfrac{{{x^3} – 1}}{{{x^2} + x}}dx = a + b\ln 3 + c\ln 2} \) với \(a,{\mkern 1mu} {\mkern 1mu} b,{\mkern 1mu} {\mkern 1mu} c\) là các số hữu tỉ. Tính \(2a + 3b – 4c.\)

A. \( – 5\)            B. \( – 19\)         C. \(5\)             D. 19

Câu 8 . Tìm giá trị cực đại của hàm số \(y = {\rm{\;}} – {x^3} + 3{x^2} + 1\)

A. \(2\)        B. \(5\)             C.  \(1\)            D. \(0\)

Câu 9 . Cho hàm số \(y = f\left( x \right)\) liên tục trên \(\mathbb{R}\) thỏa mãn \(\int\limits_0^7 {f\left( x \right)dx} {\rm{\;}} = 10\) và \(\int\limits_0^3 {f\left( x \right)dx} {\rm{\;}} = 6\). Tính \(I = \int\limits_{ – 2}^3 {f\left| {3 – 2x} \right|dx} \).

A. 16             B. \(3\)            C. 15          D. \(8\)

Câu 10 . Cho bất phương trình \({\log _{\dfrac{1}{3}}}\left( {{x^2} – 2x + 6} \right) \le {\rm{\;}} – 2\). Mệnh đề nào sau đây là đúng?

A. Tập nghiệm của bất phương trình là nửa khoảng.

B. Tập nghiệm của bất phương trình là một đoạn.

C. Tập nghiệm của bất phương trình là hợp của hai đoạn.

D. Tập nghiệm của bất phương trình là hợp của hai nửa khoảng.

Câu 11 . Ngày 20/01/2020, bà T gửi 100 triệu đồng vào ngân hàng theo hình thức lãi kép và lãi suất 0,7% mỗi tháng. Ngày 20/5/2020, lãi suất ngân hàng thay đổi với lãi suất mới là 0,75% mỗi tháng. Hỏi đến ngày 20/8/2020, số tiền bà T nhận về (cả vốn và lãi) gần nhất với số nào sau đây?

A. 105.160.500 đồng          B. 105.212.812 đồng     

C. 105.160.597 đồng          D. 104.429.590 đồng

Câu 12 .Cho hình chóp tứ giác S.ABCD có đáy ABCD là hình vuông cạnh bằng \(\sqrt 2 a\). Tam giác SAD cân tại \(S\) và mặt bên \(\left( {SAD} \right)\)  vuông góc với mặt phẳng đáy. Biết thể tích khối chóp S.ABCD bằng \(\dfrac{4}{3}{a^3}\). Tính khoảng cách h từ \(B\)  đến mặt phẳng \(\left( {SCD} \right)\).

A. \(h = \dfrac{2}{3}a\)                 B. \(h = \dfrac{4}{3}a\)  

C. \(h = \dfrac{8}{3}a\)                  D. \(h = \dfrac{3}{4}a\)

Câu 13 . Cho hàm số \(y = f\left( x \right)\) liên tục trên \(\mathbb{R}\) và có đồ thị như hình vẽ bên. Số nghiệm của phương trình \(f\left( {1 – f\left( x \right)} \right) = 2\) là:

 

A. \(2\)     B. \(3\)                 C. \(5\)          D. \(4\)

Câu 14 . Cho hàm số \(y = a{x^3} + b{x^2} + cx + d\) có đồ thị như hình bên dưới.

 

Trong các số \(a,{\mkern 1mu} {\mkern 1mu} b,{\mkern 1mu} {\mkern 1mu} c,{\mkern 1mu} {\mkern 1mu} d\) có bao nhiêu số dương?

A. \(1\)        B. \(0\)           C. \(2\)              D. \(3\)

Câu 15. Đường thẳng nào dưới đây là tiệm cận đứng của đồ thị hàm số \(y = \dfrac{2}{{ – x + 3}}\).

A. \(y = 0\)     B. \(y = {\rm{\;}} – 2\)

C. \(x = 3\)            D. \(x = {\rm{\;}} – 2\)

Câu 16 . Cho \(\int\limits_0^1 {\dfrac{{dx}}{{\sqrt {x + 1} {\rm{\;}} + \sqrt x }} = \dfrac{2}{3}\left( {\sqrt a {\rm{\;}} – b} \right)} \) với a,b là các số nguyên dương. Giá trị của biểu thức \(T = a + b\) là:

A. 10        B. \(7\)               C. \(6\)             D. \(8\)

Câu 17 . Tìm số nghiệm \(x\) thuộc \(\left[ {0;100} \right]\) của phương trình sau :

\({2^{\cos \pi x – 1}} + \dfrac{1}{2} = \cos \pi x + {\log _4}\left( {3\cos \pi x – 1} \right)\)

A. 51                B. 49               C. 50                 D. 52

Câu 18 . Cho hàm số \(y = f\left( x \right).\) Đồ thị hàm số \(y = f’\left( x \right)\) như hình bên dưới. Hàm số \(g\left( x \right) = f\left( {2 + {e^x}} \right)\)nghịch biến trên khoảng nào trong các khoảng sau đây?

 

A. \(\left( { – 1;3} \right)\)                 B. \(\left( { – \infty ;0} \right)\)

C. \(\left( {0; + \infty } \right)\)                   D. \(\left( { – 2;1} \right)\)

Câu 19. Cho hình chóp \(S.ABCD\) có đáy là hình chữ nhật, tam giác \(SAB\) đều và nằm trong mặt phẳng vuông góc với đáy, \(AB = a;\,\,AD = a\sqrt 3 \). Thể tích khối chóp S.ABCD bằng

A. \(\dfrac{{3{a^2}}}{2}.\)                 B. \({a^3}\)                 

C. \(\dfrac{{{a^3}}}{6}.\)               D. \(\dfrac{{{a^3}}}{2}\)

Câu 20 .Viết phương trình tiếp tuyến của đồ thị hàm số \(y = \dfrac{{2x – 1}}{{x – 2}}\), biết tiếp tuyến có hệ số góc \(k = {\rm{\;}} – 3\).

A. \(y = {\rm{\;}} – 3x – 14,{\mkern 1mu} {\mkern 1mu} y = {\rm{\;}} – 3x – 2\)   

B. \(y = {\rm{\;}} – 3x – 4\)

C. \(y = {\rm{\;}} – 3x + 4\)                

D. \(y = {\rm{\;}} – 3x + 14;{\mkern 1mu} {\mkern 1mu} y = {\rm{\;}} – 3x + 2\)

Câu 21 . Cho ba điểm \(A\left( {2;1; – 1} \right),\)\(B\left( { – 1;0;4} \right),\)\(C\left( {0; – 2; – 1} \right)\). Mặt phẳng đi qua \(A\) và vuông góc với BC có phương trình là

A. \(x – 2y – 5z + 5 = 0\)         

B. \(x – 2y – 5z – 5 = 0\)          

C. \(2x – y + 5z + 5 = 0\)        

D. \(x – 2y – 5z = 0\)

Câu 22 . Tính thể tích \(V\) của khối nón có độ dài đường sinh \(l = 5a\) và bán kính của đường tròn đáy là \(r = 3a\)

A. \(V = 36\pi {a^3}\)       B. \(V = 12\pi {a^3}\)      

C. \(V = 15\pi {a^3}\)             D. \(V = 45\pi {a^3}\)

Câu 23 . Diện tích hình phẳng giới hạn bơi đường thẳng \(y = x + 3\) và parabol \(y = 2{x^2} – x – 1\) bằng:

A. \(9\)      B. \(\dfrac{{13}}{6}\)              C. \(\dfrac{{13}}{3}\)              D. \(\dfrac{9}{2}\)

Câu 24 . Họ nguyên hàm của hàm số \(f\left( x \right) = {x^2} + 2x\) là:

A. \(\dfrac{1}{3}{x^3} + 2x + C\)            B. \(2x + 2 + C\)  

C. \({x^3} + {x^2} + C\)                  D. \(\dfrac{1}{3}{x^3} + {x^2} + C\)

Câu 25 .Tính thể tích của khối tròn xoay khi cho hình phẳng giới hạn bởi đường thẳng \(3x – 2\) và đồ thị hàm số \(y = {x^2}\) quanh quanh trục Ox.

A. \(\dfrac{1}{6}\)             B. \(\dfrac{\pi }{6}\)                C. \(\dfrac{4}{5}\)                  D. \(\dfrac{{4\pi }}{5}\)

Câu 26 . Cho khối lăng trụ tứ giác đều ABCD.A’B’C’D’ có cạnh đáy bằng a và mặt phăng (DBC’) hợp với mặt đáy (ABCD) một góc \({60^0}\). Tính theo a thể tích của khối lăng trụ ABCD.A’B’C’D’.

A. \(\dfrac{{\sqrt 6 {a^3}}}{2}\)            B. \(\sqrt 6 {a^3}\)       C. \(\dfrac{{\sqrt 6 {a^3}}}{6}\)                   D. \(\dfrac{{\sqrt 6 {a^3}}}{3}\)

Câu 27 . Giá trị nhỏ nhất của hàm số \(f\left( x \right) = {x^4} – 12{x^2} – 4\) trên đoạn \(\left[ {0;9} \right]\) bằng:

A. \( – 39\)                   B. \( – 40\)               C. \( – 36\)                     D. \( – 4\)

Câu 28 . Làng gốm truyền thống Bát Tràng dự kiến làm một bức tranh gồm hình vuông cạnh \(4{\mkern 1mu} {\mkern 1mu} \left( m \right)\), thiết kế có 4 đường parabol chung đỉnh tại tâm của hình vuông, tạo nên bốn cánh hoa (tham khảo hình vẽ). Phần diện tích cánh hoa (phần tô đậm) sẽ được tráng một lớp men đặc biệt. Chi phí tráng lớp men đó có đơn giá là 24 triệu đồng/\({m^2}\). Tính số tiền phải trả để tráng men cho 4 cánh hoa.

 

A. 132 triệu    

B. 96 triệu      

C. 32 triệu      

D. 128 triệu

Câu 29 . Có bao nhiêu giá trị nguyên dương của \(m\) không vượt quá 2021 để phương trình \({4^{x – 1}} – m{.2^{x – 2}} + 1 = 0\) có nghiệm?

A. 2019                  B. 2018             C. 2021           D. 2017

Câu 30 . Có bao nhiêu cặp số nguyên dương \(\left( {x;y} \right)\) thỏa mãn \(x < y\) và \({4^x} + {4^y} = 32y – 32x + 48\).

A. \(5\)         B. \(4\)              C. \(2\)          D. \(1\)

Câu 31. Trong không gian Oxyz, cho mặt phẳng \(\left( P \right):2x – y + 2z + 1 = 0\) và hai điểm \(A\left( {1;0; – 2} \right),\)\(B\left( { – 1; – 1;3} \right)\). Mặt phẳng \(\left( Q \right)\) đi qua hai điểm A, B và vuông góc với mặt phẳng \(\left( P \right)\) có phương trình là

A. \(3x + 14y + 4z – 5 = 0.\)      

B. \(2x – y + 2z – 2 = 0.\)        

C. \(2x – y + 2z + 2 = 0.\)

D. \(3x + 14y + 4z + 5 = 0.\)

Câu 32 . Trong không gian Oxyz, cho hai điểm \(A\left( {1;1;2} \right),B\left( {2;0;1} \right)\). Mặt phẳng đi qua A và vuông góc với đường thẳng AB có phương trình là:

A. \(x + y – z = 0\).

B. \(x – y – z – 2 = 0\). 

C. \(x + y + z – 4 = 0\).           

D. \(x – y – z + 2 = 0\).

Câu 33 . Nghiệm của phương trình \({3^{x – 1}} = 9\) là

A. \(x = {\rm{\;}} – 2\).                 B. \(x = 3\).

C. \(x = 2\).              D. \(x = {\rm{\;}} – 3\).

Câu 34 . Cho hình chóp S.ABC có đáy là tam giác cân tại \(A\), mặt bên \(\left( {SBC} \right)\) là tam giác đều và nằm trong mặt phẳng vuông góc với đáy. Gọi \(\left( {\alpha {\rm{\;}}} \right)\) là mặt phẳng đi qua điểm \(B\) và vuông góc với SC, chia khối chóp thành hai phần. Tính tỉ số thể tích của hai phần đó.

A. \(\dfrac{1}{2}\)             B. \(\dfrac{1}{3}\)                     C. \(\dfrac{2}{3}\)                D. \(\dfrac{1}{4}\)

Câu 35 . Trong một lô hàng có 12 sản phẩm khác nhau, trong đó có đúng 2 phế phẩm. Lấy ngẫu nhiên 6 sản phẩm từ lô hàng đó. Hãy tính xác suất để trong 6 sản phẩm được lấy ra có không quá một phế phẩm?

A. \(P = \dfrac{{17}}{{21}}\)          B. \(P = \dfrac{{22}}{{24}}\)     

C. \(P = \dfrac{{21}}{{50}}\)          D. \(P = \dfrac{{17}}{{22}}\)

Câu 36 . Trong không gian Oxyz, cho đường thẳng \(d:\dfrac{{x – 3}}{4} = \dfrac{{y + 1}}{{ – 2}} = \dfrac{{z + 2}}{3}\). Vectơ nào dưới đây là một vectơ chỉ phương của d?

A. \(\overrightarrow {{u_3}} {\rm{\;}} = \left( {3; – 1; – 2} \right)\).          

B. \(\overrightarrow {{u_4}} {\rm{\;}} = \left( {4;2;3} \right)\).     

C. \(\overrightarrow {{u_2}} {\rm{\;}} = \left( {4; – 2;3} \right)\).  

D. \(\overrightarrow {{u_1}} {\rm{\;}} = \left( {3;1;2} \right)\).

Câu 37. Họ nguyên hàm của hàm số\(y = x\sin x\) là

A. \( – x\cos x – \sin x + C\)    

B. \(x\cos x – \sin 2x + C\)     

C. \( – x\cos x + \sin x + C\)   

D. \(x\cos x – \sin x + C\)

Câu 38 . Nghiệm của phương trình \(\sin x = 1\) là:

A. \(x = {\rm{\;}} – \dfrac{\pi }{2} + k2\pi \)       B. \(x = \dfrac{\pi }{2} + k\pi \)   

C. \(x = k\pi \)                 D. \(x = \dfrac{\pi }{2} + k2\pi \)

Câu 39 . Viết phương trình mặt phẳng vuông góc với \(\left( P \right):{\mkern 1mu} {\mkern 1mu} x – z + y = 0\) và chứa giao tuyến của hai mặt phẳng \(\left( Q \right):{\mkern 1mu} {\mkern 1mu} 2x + 2y – z + 1 = 0\) và \(\left( R \right):{\mkern 1mu} {\mkern 1mu} x + 2y – 2z + 2 = 0\).

A. \(x + z – 1 = 0\)      

B. \(x + y – z – 1 = 0\) 

C. \(x + z = 0\)           

D. \(x + z + 1 = 0\)

Câu 40 . Trong không gian Oxyz, mặt phẳng \(\left( P \right)\) chứa hai đường thẳng \({d_1}:{\mkern 1mu} {\mkern 1mu} \dfrac{{x – 2}}{2} = \dfrac{{y + 3}}{{ – 1}} = \dfrac{{z – 5}}{{ – 3}}\) và \({d_2}:{\mkern 1mu} {\mkern 1mu} \dfrac{{x + 1}}{{ – 2}} = \dfrac{{y + 3}}{1} = \dfrac{{z – 2}}{3}.\) Khi đó phương trình mặt phẳng \(\left( P \right)\) là:

A. \(x – 5y – z + 18 = 0\)         

B. \(x – 5y + z – 22 = 0\)

C. \(x + 5y – z + 18 = 0\)

D. \(x + 3y – z + 12 = 0\)

Câu 41 . Cho 2 đường thẳng song song \({d_1},{\mkern 1mu} {d_2}\). Trên \({d_1}\) có 6 điểm phân biệt được tô màu đỏ. Trên \({d_2}\) có 4 điểm phân biệt được tô màu xanh. Xét tất cả các tam giác được tạo thành khi nối các điểm đó với nhau. Chọn ngẫu nhiên 1 tam giác, khi đó xác suất để thu được tam giác có 2 đỉnh màu đỏ là:

A.  \(\dfrac{5}{9}.\)            B.  \(\dfrac{5}{{32}}.\)           C.  \(\dfrac{5}{8}.\)         D. \(\dfrac{5}{7}.\)

Câu 42 . Có bao nhiêu giá trị nguyên của \(m\) để hàm số \(y = \dfrac{{mx + 4}}{{x + m}}\) nghịch biến trên khoảng \(\left( { – 1;{\mkern 1mu} {\mkern 1mu} 1} \right)?\)

A. \(4\)             B. \(2\)         C. \(5\)             D. \(0\)

Câu 43 . Cho một khối lập phương biết rằng khi tăng độ dài cạnh của khối lập phương thêm \(2{\mkern 1mu} {\mkern 1mu} cm\) thì thể tích của nó tăng thêm \(98{\mkern 1mu} {\mkern 1mu} c{m^3}\). Hỏi cạnh của khối lập phương đã cho bằng:

A. \(3{\mkern 1mu} {\mkern 1mu} cm\)                  B. \(4{\mkern 1mu} {\mkern 1mu} cm\)              C. \(6{\mkern 1mu} {\mkern 1mu} cm\)             D. \(5{\mkern 1mu} {\mkern 1mu} cm\)

Câu 44 . Cho số tự nhiên \(n\) thỏa mãn \(C_n^0 + C_n^1 + C_n^2 = 11.\) Số hạng chứa \({x^7}\) trong khai triển của \({\left( {{x^3} – \dfrac{1}{{{x^2}}}} \right)^n}\) bằng:

A. \( – 4\)                   B. (9{x^2}               C. \( – 4{x^7}\)        D. \( – 12{x^7}\)

Câu 45 .Trong không gian Oxyz phương trình đường thẳng đi qua hai điểm \(A\left( { – 3;1;2} \right)\), \(B\left( {1; – 1;0} \right)\) có dạng:

A. \(\dfrac{{x + 3}}{2} = \dfrac{{y – 1}}{1} = \dfrac{{z – 2}}{{ – 1}}\)         

B. \(\dfrac{{x – 1}}{{ – 2}} = \dfrac{{y + 1}}{{ – 1}} = \dfrac{z}{1}\)           

C. \(\dfrac{{x – 1}}{2} = \dfrac{{y + 1}}{{ – 1}} = \dfrac{z}{{ – 1}}\)           

D. \(\dfrac{{x + 3}}{2} = \dfrac{{y – 1}}{{ – 1}} = \dfrac{{z – 2}}{{ – 1}}\)

Câu 46 . Cho hàm số \(f(x) = a{x^3} + b{x^2} + cx + d\) có đồ thị như hình vẽ bên.

 

Hỏi đồ thị hàm số  \(g(x) = \dfrac{{({x^2} – 3x + 2)\sqrt {x – 1} }}{{x\left[ {{f^2}(x) – f(x)} \right]}}\) có bao nhiêu tiệm cận đứng?

A. \(4\)        B. \(3\)                C. \(5\)            D. \(2\)

Câu 47. Trong không gian với hệ tọa độ Oxyz, cho \(A\left( { – 3;0;0} \right),{\mkern 1mu} B\left( {0;0;3} \right),C\left( {0; – 3;0} \right)\). Điểm \(M\left( {a;b;c} \right)\) nằm trên mặt phẳng Oxy sao cho \(M{A^2} + M{B^2} – M{C^2}\) nhỏ nhất. Tính \({a^2} + {b^2} – {c^2}\). 

A. 18         B. 0                C. 9                     D. -9

Câu 48 . Tìm khoảng đồng biến của hàm số \(y = {\rm{\;}} – {x^3} + 3{x^2} – 1\).

A. \(\left( {0{\mkern 1mu} ;{\mkern 1mu} 2} \right)\).               B. \(\left( {0{\mkern 1mu} ;{\mkern 1mu} 3} \right)\).     

C. \(\left( { – 1{\mkern 1mu} ;{\mkern 1mu} 3} \right)\).         D. \(\left( { – 2{\mkern 1mu} ;{\mkern 1mu} 0} \right)\).

Câu 49 . Trong không gian Oxyz, cho \(A\left( {0;0;2} \right),{\mkern 1mu} {\mkern 1mu} B\left( {1;1;0} \right)\) và mặt cầu \(\left( S \right):{\mkern 1mu} {\mkern 1mu} {x^2} + {y^2} + {\left( {z – 1} \right)^2} = \dfrac{1}{4}\). Xét điểm \(M\) thay đổi thuộc \(\left( S \right)\). Giá trị nhỏ nhất của biểu thức \(M{A^2} + 2M{B^2}\) bằng:

A. \(\dfrac{1}{2}\)          B. \(\dfrac{3}{4}\)       C. \(\dfrac{{21}}{4}\)             D. \(\dfrac{{19}}{4}\)

Câu 50 . Hàm số \(y = 2{x^3} – 3\left( {m + 1} \right){x^2} + 6mx + 1\) nghịch biến trên khoảng \(\left( {1;3} \right)\) khi và chỉ khi:

A. \(m \ge 1\)       B. \(1 < m < 3\)            C. \(m > 3\)                 D. \(m \ge 3\)

Lời giải chi tiết

1.A 2.C 3.A 4.D 5.D
6.C 7.D 8.B 9.D 10.D
11.C 12.B 13.D 14.C 15.A
16.A 17.A 18.B 19.D 20.D
21.B 22.B 23.A 24.A 25.D
26.A 27.B 28.D 29.B 30.D
31.D 32.D 33.B 34.A 35.D
36.C 37.C 38.D 39.A 40.C
41.C 42.B 43.A 44.C 45.C
46.B 47.A 48.A 49.D 50.D

Lời giải chi tiết

Câu 1 (VD):

Cách giải:

Giả sử \(I\left( {{x_0};{y_0};{z_0}} \right)\) là điểm thỏa mãn: 

\(2\overrightarrow {IA} {\rm{\;}} – 7\overrightarrow {IB} {\rm{\;}} + 4\overrightarrow {IC} {\rm{\;}} = \vec 0{\rm{\;}} \Leftrightarrow \left\{ {\begin{array}{*{20}{l}}{2\left( {1 – {x_0}} \right) – 7\left( { – 1 – {x_0}} \right) + 4\left( {3 – {x_0}} \right) = 0}\\{2\left( {1 – {y_0}} \right) – 7\left( {2 – {y_0}} \right) + 4\left( { – 1 – {y_0}} \right) = 0}\\{2\left( { – 1 – {z_0}} \right) – 7\left( { – {z_0}} \right) + 4\left( { – 2 – {z_0}} \right) = 0}\end{array}} \right.\)\( \Leftrightarrow \left\{ {\begin{array}{*{20}{l}}{{x_0} = {\rm{\;}} – 21}\\{{y_0} = 16}\\{{z_0} = 10}\end{array}} \right.\)

\( \Rightarrow I\left( { – 21;16;10} \right) \in \left( S \right)\), (do \({\left( { – 21 – 1} \right)^2} + {16^2} + {\left( {10 + 1} \right)^2} = 861\))

Khi đó,

\(P = 2M{A^2} – 7M{B^2} + 4M{C^2} = 2{\overrightarrow {MA} ^2} – 7{\overrightarrow {MB} ^2} + 4{\overrightarrow {MC} ^2}\)

\( = 2{\left( {\overrightarrow {MI} {\rm{\;}} + \overrightarrow {IA} } \right)^2} – 7{\left( {\overrightarrow {MI} {\rm{\;}} + \overrightarrow {IB} } \right)^2} + 4{\left( {\overrightarrow {MI} {\rm{\;}} + \overrightarrow {IC} } \right)^2}\)

\( = {\rm{\;}} – M{I^2} + 2.\overrightarrow {MI} .\left( {2\overrightarrow {IA} {\rm{\;}} – 7\overrightarrow {IB} {\rm{\;}} + 4\overrightarrow {IC} } \right) + 2I{A^2} – 7I{B^2} + 4I{C^2}\)

\( = {\rm{\;}} – M{I^2} + 2I{A^2} – 7I{B^2} + 4I{C^2}\)

Để \(P = 2M{A^2} – 7M{B^2} + 4M{C^2}\) đạt GTNN thì MI có độ dài lớn nhất

\( \Leftrightarrow MI\) là đường kính \( \Leftrightarrow M\) là điểm đối xứng của \(I\left( { – 21;16;10} \right)\) qua tâm \(T\left( {1;0; – 1} \right)\) của (S)

\( \Leftrightarrow \left\{ {\begin{array}{*{20}{l}}{{x_M} – 21 = 2}\\{{y_M} + 16 = 0}\\{{z_M} + 10 = {\rm{\;}} – 2}\end{array}} \right. \Rightarrow M\left( {23; – 16; – 12} \right) \Rightarrow \)\(T = \left| a \right| + \left| b \right| + \left| c \right| = 23 + 16 + 12 = 51\).

Chọn C.

Câu 2 (NB):

Phương pháp:

Áp dụng công thức tính nguyên hàm cơ bản: \(\int {{x^n}dx} {\rm{\;}} = \dfrac{{{x^{n + 1}}}}{{n + 1}} + C\); \(\int {\sin xdx} {\rm{\;}} = {\rm{\;}} – \cos x + C\).

Cách giải:

Ta có

\(\begin{array}{*{20}{l}}{f\left( x \right) = 3{x^2} + 8\sin x}\\{ \Rightarrow \int {f\left( x \right)dx = \int {3{x^2}dx + \int {8\sin xdx} } } }\\{ \Rightarrow \int {f\left( x \right)dx} {\rm{\;}} = {x^3} – 8\cos x + C.}\end{array}\)

Chọn C.

Câu 3 (VD):

Phương pháp:

– Tìm bán kính đáy của hình trụ là bán kính đường tròn nội tiếp tam giác BCD.

– Tìm chiều cao hình trụ chính là chiều cao hình chóp ABCD.

– Áp dụng công thức tính diện tích xung quanh hình trụ: \(S = 2\pi Rh\)

Cách giải:

Tam giác BCD là tam giác đều cạnh 4\( \Rightarrow \left\{ {\begin{array}{*{20}{l}}{{S_{BCD}} = 4\sqrt 3 }\\{p = 12}\end{array}} \right.\)

 Áp dụng cồn thức tính bán kính đường tròn nội tiếp ta có:\(R = \dfrac{{2S}}{p} = \dfrac{{2\sqrt 3 }}{3}\)

Gọi O là tâm của tam giác đều BCD

\( \Rightarrow AO \bot \left( {BCD} \right) \Rightarrow \Delta ABO\) vuông tại O có \(BO = \dfrac{{4\sqrt 3 }}{3};AB = 4 \Rightarrow AO = h = \dfrac{{4\sqrt 6 }}{3}\)

Khi đó diện tích xung quanh hình trụ có \(h = \dfrac{{4\sqrt 6 }}{3};R = \dfrac{{2\sqrt 3 }}{3}\) là \(S = 2\pi Rh = \dfrac{{16\sqrt 2 \pi }}{3}\)

Chọn A.

Câu 4 (TH):

Phương pháp:

– Giải bất phương trình logarit: \({\log _a}f\left( x \right) > b \Leftrightarrow 0 < f\left( x \right) < {a^b}{\mkern 1mu} {\mkern 1mu} \left( {khi{\mkern 1mu} {\mkern 1mu} 0 < a < 1} \right)\).

– Giải bất phương trình tìm \(x\), từ đó kết luận tập nghiệm của bất phương trình và suy ra \(a,{\mkern 1mu} {\mkern 1mu} b\).

– Thay \(a,{\mkern 1mu} {\mkern 1mu} b\) vừa tìm được để tính giá trị biểu thức \(T = 3a – 2b\).

Cách giải:

Ta có:

\(\begin{array}{*{20}{l}}{{{\log }_{\dfrac{1}{3}}}\dfrac{{1 – 2x}}{x} > 0{\rm{\;}} \Leftrightarrow 0 < \dfrac{{1 – 2x}}{x} < 1}\\{ \Leftrightarrow \left\{ {\begin{array}{*{20}{l}}{0 < \dfrac{{1 – 2x}}{x}}\\{\dfrac{{1 – 2x}}{x} < 1}\end{array}} \right. \Leftrightarrow \left\{ {\begin{array}{*{20}{l}}{0 < x < \dfrac{1}{2}}\\{\dfrac{{1 – 3x}}{x} < 0}\end{array}} \right.}\\{ \Leftrightarrow \left\{ {\begin{array}{*{20}{l}}{0 < x < \dfrac{1}{2}}\\{0 < x < \dfrac{1}{3}}\end{array}} \right. \Leftrightarrow 0 < x < \dfrac{1}{3}}\end{array}\).

\( \Rightarrow \) Tập nghiệm của bất phương trình là \(\left( {0;\dfrac{1}{3}} \right)\) \( \Rightarrow a = 0;{\mkern 1mu} {\mkern 1mu} b = \dfrac{1}{3}\).

Vậy \(T = 3a – 2b = 3.0 – 2.\dfrac{1}{3} = {\rm{\;}} – \dfrac{2}{3}\).

Chọn D.

Câu 5 (VD):

Phương pháp:

Tính khoảng cách giữa 2 đường thẳng bằng cách tìm mặt phẳng chứa đường  thẳng này và song song với đường thẳng kia.

Cách giải:

 

Gọi \(I\) là trung điểm của AB \( \Rightarrow SI \bot AB\) (do tam giác SAB đều).

Ta có: \(\left\{ {\begin{array}{*{20}{l}}{\left( {SAB} \right) \bot \left( {ABCD} \right)}\\{\left( {SAB} \right) \cap \left( {ABCD} \right) = AB}\\{\left( {SAB} \right) \supset SI \bot AB}\end{array}} \right.\) \( \Rightarrow SI \bot \left( {ABCD} \right)\).

+) Ta thấy \(AD\parallel BC{\mkern 1mu} {\mkern 1mu} \left( {gt} \right) \Rightarrow d\left( {AD;SC} \right)\)

\( = d\left( {AD;\left( {SBC} \right)} \right) = d\left( {A;\left( {SBC} \right)} \right)\).

Mà \(AI \cap \left( {SBC} \right) = B \Rightarrow \dfrac{{d\left( {A;\left( {SBC} \right)} \right)}}{{d\left( {I;\left( {SBC} \right)} \right)}} = \dfrac{{AB}}{{IB}} = 2\).

\( \Rightarrow d\left( {A;\left( {SBC} \right)} \right) = 2d\left( {I;\left( {SBC} \right)} \right)\)

\( \Rightarrow d\left( {AD;SC} \right) = 2d\left( {I;\left( {SBC} \right)} \right)\).

Trong \(\left( {ABCD} \right)\), kẻ \(IH \bot BC{\mkern 1mu} {\mkern 1mu} \left( {H \in BC} \right)\). Trong \(\left( {SIH} \right)\) kẻ \(IK \bot SH{\mkern 1mu} {\mkern 1mu} \left( {K \in SH} \right)\) ta có:

\(\left\{ {\begin{array}{*{20}{l}}{BC \bot IH}\\{BC \bot SI{\mkern 1mu} {\mkern 1mu} \left( {SI \bot \left( {ABCD} \right)} \right)}\end{array}} \right.\) \( \Rightarrow BC \bot \left( {SIH} \right) \Rightarrow BC \bot IK\).

Ta có: \(\left\{ {\begin{array}{*{20}{l}}{IK \bot SH}\\{IK \bot BC}\end{array}} \right. \Rightarrow IK \bot \left( {SBC} \right)\)\( \Rightarrow d\left( {I;\left( {SBC} \right)} \right) = IK\).

Gọi \(O = AC \cap BD\) ta có \(AC \bot BD\) tại \(O\) và \(O\) là trung điểm của \(AC,{\mkern 1mu} {\mkern 1mu} BD\).

+) Tam giác AOB vuông tại \(O\) có \(AO = \dfrac{{AC}}{2} = a;{\mkern 1mu} {\mkern 1mu} {\mkern 1mu} BO = \dfrac{{BD}}{2} = 2a\).

\( \Rightarrow AB = \sqrt {O{A^2} + O{B^2}} \) \( = \sqrt {{a^2} + {{\left( {2a} \right)}^2}} {\rm{\;}} = a\sqrt 5 {\rm{\;}} = BC\) (Định lí Pytago).

Ta có \({S_{ABCD}} = \dfrac{1}{2}AC.BD = \dfrac{1}{2}.2a.4a = 4{a^2}\).

\( \Rightarrow {S_{ABC}} = \dfrac{1}{2}{S_{ABCD}} = 2{a^2}\)\( \Rightarrow {S_{IBC}} = \dfrac{1}{2}{S_{ABC}} = {a^2}\).

Mặt khác \({S_{IBC}} = \dfrac{1}{2}IH.BC \Rightarrow IH = \dfrac{{2{S_{IBC}}}}{{BC}}\)\( = \dfrac{{2{a^2}}}{{a\sqrt 5 }} = \dfrac{{2a\sqrt 5 }}{5}\).

+) Tam giác SAB đều cạnh \(a\sqrt 5 \)\( \Rightarrow SI = \dfrac{{\sqrt 3 }}{2}.a\sqrt 5 {\rm{\;}} = \dfrac{{a\sqrt {15} }}{2}\).

+) Áp dụng hệ thức lượng trong tam giác vuông SIH ta có:

\(IK = \dfrac{{SI.IH}}{{\sqrt {S{I^2} + I{H^2}} }} = \dfrac{{\dfrac{{a\sqrt {15} }}{2}.\dfrac{{2a\sqrt 5 }}{5}}}{{\sqrt {{{\left( {\dfrac{{a\sqrt {15} }}{2}} \right)}^2} + {{\left( {\dfrac{{2a\sqrt 5 }}{5}} \right)}^2}} }}\)\( = \dfrac{{2a\sqrt {1365} }}{{91}}\).

Vậy \(d\left( {AD;SC} \right) = 2IK = \dfrac{{4a\sqrt {1365} }}{{91}}\).

Chọn D.

Câu 6 (VD):

Phương pháp:

– Giải phương trình \(y’ = 0\) tìm 2 điểm cực trị của đồ thị hàm số theo \(m\).

– Sử dụng công thức \(AB = \sqrt {{{\left( {{x_B} – {x_A}} \right)}^2} + {{\left( {{y_B} – {y_A}} \right)}^2}} \), giải phương trình tìm \(m\).

Cách giải:

+ Điều kiện tồn tại cực trị:

     \(y’ = 3{x^2} – 6mx = 0\) có 2 nghiệm phân biệt \({x_1};{x_2}\)

     \( \Leftrightarrow 3x\left( {x – 2m} \right) = 0\) có 2 nghiệm phân biệt \({x_1};{x_2}\)

     \( \Leftrightarrow \left[ {\begin{array}{*{20}{l}}{{x_1} = 0}\\{{x_2} = 2m \ne 0 \Leftrightarrow m \ne 0}\end{array}} \right.\)

+ Khi đó \(\left\{ {\begin{array}{*{20}{l}}{A\left( {0;4{m^3}} \right)}\\{B\left( {2m;0} \right)}\end{array}} \right. \Rightarrow A{B^2} = {\left( {{x_B} – {x_A}} \right)^2} + {\left( {{y_B} – {y_A}} \right)^2} \Leftrightarrow 4{m^2} + 16{m^6} = 20\)

     \(\begin{array}{*{20}{l}}{ \Leftrightarrow 4{m^6} + {m^2} – 5 = 0}\\{ \Leftrightarrow {m^2} = 1}\\{ \Leftrightarrow m = {\rm{\;}} \pm 1}\end{array}\)

Chọn C.

Câu 7 (TH):

Phương pháp:

– Chia tử cho mẫu để đưa biểu thức dưới dấu tích phân về dạng đa thức + phân thức hữu tỉ có bậc tử nhỏ hơn bậc mẫu.

– Phân tích mẫu thành nhân tử, biến đổi để xuất hiện các tích phân dạng \(\int\limits_1^2 {\dfrac{k}{{ax + b}}dx} \).

– Tính tích phân và tìm \(a,{\mkern 1mu} {\mkern 1mu} b,{\mkern 1mu} {\mkern 1mu} c\)

Cách giải:

Ta có:

\(\begin{array}{*{20}{l}}{\int\limits_1^2 {\dfrac{{{x^3} – 1}}{{{x^2} + x}}dx} {\rm{\;}} = \int\limits_1^2 {\left( {x – 1 + \dfrac{{x – 1}}{{{x^2} + x}}} \right)dx} }\\{ = \int\limits_1^2 {\left( {x – 1} \right)dx} {\rm{\;}} + \int\limits_1^2 {\dfrac{{x – 1}}{{x\left( {x + 1} \right)}}dx} }\\{ = \dfrac{1}{2} + I}\end{array}\)

Giả sử \(\dfrac{{x – 1}}{{x\left( {x + 1} \right)}} = \dfrac{B}{x} + \dfrac{C}{{x + 1}}\)

\(\begin{array}{*{20}{l}}{ \Leftrightarrow \dfrac{{x – 1}}{{x\left( {x + 1} \right)}} = \dfrac{{B\left( {x + 1} \right) + Cx}}{{x\left( {x + 1} \right)}}}\\{ \Leftrightarrow \dfrac{{x – 1}}{{x\left( {x + 1} \right)}} = \dfrac{{\left( {B + C} \right)x + B}}{{x\left( {x + 1} \right)}}}\\{ \Rightarrow \left\{ {\begin{array}{*{20}{l}}{B + C = 1}\\{B = {\rm{\;}} – 1}\end{array}} \right. \Leftrightarrow \left\{ {\begin{array}{*{20}{l}}{B = {\rm{\;}} – 1}\\{C = 2}\end{array}} \right.}\end{array}\)

Khi đó ta có

\(\begin{array}{*{20}{l}}{I = \int\limits_1^2 {\dfrac{{x – 1}}{{x\left( {x + 1} \right)}}dx} {\rm{\;}} = \int\limits_1^2 {\dfrac{{ – 1}}{x}dx} {\rm{\;}} + \int\limits_1^2 {\dfrac{2}{{x + 1}}dx} }\\{{\mkern 1mu} {\mkern 1mu} {\mkern 1mu} {\mkern 1mu}  = \left. { – \ln \left| x \right|} \right|_1^2 + \left. {2\ln \left| {x + 1} \right|} \right|_1^2}\\{{\mkern 1mu} {\mkern 1mu} {\mkern 1mu} {\mkern 1mu}  = {\rm{\;}} – \ln 2 + 2\ln 3 – 2\ln 2}\\{{\mkern 1mu} {\mkern 1mu} {\mkern 1mu} {\mkern 1mu}  = 2\ln 3 – 3\ln 2}\end{array}\)

\( \Rightarrow \int\limits_1^2 {\dfrac{{{x^3} – 1}}{{{x^2} + x}}dx} {\rm{\;}} = \dfrac{1}{2} + 2\ln 3 – 3\ln 2\) \( \Rightarrow \left\{ {\begin{array}{*{20}{l}}{a = \dfrac{1}{2}}\\{b = 2}\\{c = {\rm{\;}} – 3}\end{array}} \right.\).

Vậy \(2a + 3b – 4c = 2.\dfrac{1}{2} + 3.2 – 4.\left( { – 3} \right) = 19\).

Chọn D.

Câu 8 (NB):

Phương pháp:

– Tính y’.

– Giải phương trình \(y’ = 0\) tìm nghiệm.

– Lập BBT, từ đó suy ra các điểm cực trị và giá trị cực trị tương ứng.

Cách giải:

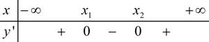
Ta có: \(y = {\rm{\;}} – {x^3} + 3{x^2} + 1 \Rightarrow y’ = {\rm{\;}} – 3{x^2} + 6x\).

\(y’ = 0 \Leftrightarrow {\rm{\;}} – 3{x^2} + 6x = 0 \Leftrightarrow \left[ {\begin{array}{*{20}{l}}{x = 0 \Rightarrow y = 1}\\{x = 2 \Rightarrow y = 5}\end{array}} \right.\)

BBT :

 

Từ BBT ta suy ra giá trị cực đại \({y_{CD}} = 5\).

Chọn B.

Câu 9 (VD):

Phương pháp:

– Tính tích phân bằng phương pháp đổi biến, đặt \(t = 3 – 2x\).

– Sử dụng tính chất: \(\int\limits_a^b {f\left( x \right)dx} {\rm{\;}} + \int\limits_b^c {f\left( x \right)dx} {\rm{\;}} = \int\limits_a^c {f\left( x \right)dx} \), chia cận phù hợp để phá trị tuyệt đối.

Cách giải:

Đặt \(t = 3 – 2x \Rightarrow dt = {\rm{\;}} – 2dx\). Đổi cận \(\left\{ {\begin{array}{*{20}{l}}{x = {\rm{\;}} – 2 \Rightarrow t = 7}\\{x = 3 \Rightarrow t = {\rm{\;}} – 3}\end{array}} \right.\).

Khi đó ta có:

\(\begin{array}{*{20}{l}}{I =  – \dfrac{1}{2}\int\limits_7^{ – 3} {f\left( {\left| t \right|} \right)dt}  = \dfrac{1}{2}\int\limits_{ – 3}^7 {f\left( {\left| t \right|} \right)dt} }\\{{\mkern 1mu} {\mkern 1mu} {\mkern 1mu} {\mkern 1mu}  = \dfrac{1}{2}\left( {\int\limits_{ – 3}^0 {f\left( { – t} \right)dt}  + \int\limits_0^7 {f\left( t \right)dt} } \right)}\\{{\mkern 1mu} {\mkern 1mu} {\mkern 1mu} {\mkern 1mu}  = \dfrac{1}{2}\left( { – \int\limits_3^0 {f\left( x \right)dx}  + \int\limits_0^7 {f\left( x \right)dx} } \right)}\\{{\mkern 1mu} {\mkern 1mu} {\mkern 1mu} {\mkern 1mu}  = \dfrac{1}{2}\left( {\int\limits_0^3 {f\left( x \right)dx}  + \int\limits_0^7 {f\left( x \right)dx} } \right)}\\{{\mkern 1mu} {\mkern 1mu} {\mkern 1mu} {\mkern 1mu}  = \dfrac{1}{2}\left( {6 + 10} \right) = 8}\end{array}\)

Chọn D.

Câu 10 (TH):

Phương pháp:

Giải bất phương trình \({\log _a}f\left( x \right) \le b \Leftrightarrow \left\{ {\begin{array}{*{20}{l}}{0 < a < 1}\\{f\left( x \right) \ge {a^b}}\end{array}} \right.\).

Cách giải:

Ta có:

\(\begin{array}{*{20}{l}}{{{\log }_{\dfrac{1}{3}}}\left( {{x^2} – 2x + 6} \right) \le {\rm{\;}} – 2}\\{ \Leftrightarrow {x^2} – 2x + 6 \ge {{\left( {\dfrac{1}{3}} \right)}^{ – 2}}}\\{ \Leftrightarrow {x^2} – 2x – 3 \ge 0}\\{ \Leftrightarrow \left[ {\begin{array}{*{20}{l}}{x \ge 3}\\{x \le {\rm{\;}} – 1}\end{array}} \right.}\end{array}\)

Vậy tập nghiệm của bất phương trình là \(\left( { – \infty ; – 1} \right] \cup \left[ {3; + \infty } \right)\).

Chọn D.

Câu 11 (TH):

Phương pháp:

Sử dụng công thức lãi kép: \({A_n} = A{\left( {1 + r} \right)^n}\) trong đó:

\({A_n}\): số tiền nhận được cả gốc lẫn lãi sau \(n\) kì hạn.

\(A\): số tiền gửi ban đầu.

\(r\): lãi suất 1 kì hạn.

\(n\): số kì hạn.

Cách giải:

Từ 20/01/2020 đến 20/05/2020 (4 tháng), bà T nhận được số tiền cả gốc lẫn lãi là:

\({A_1} = 100.{\left( {1 + 0,7\% } \right)^4}\) (triệu đồng)

Từ 20/05/2020 đến 20/08/2020 (3 tháng), bà T nhận được số tiền cả gốc lẫn lãi là:

\({A_1} = {A_1}.{\left( {1 + 0,75\% } \right)^3} = 100.{\left( {1 + 0,7\% } \right)^4}.{\left( {1 + 0,75\% } \right)^3} \approx 105,160598\) (triệu đồng).

Chọn C.

Câu 12 (VD):

Cách giải:

 

Kẻ \(SH \bot AD \Rightarrow H\) là trung điểm của AD\((\)\Delta SAD cân tại \(S\)).

Kéo dài \(BH \cap CD = E\).

\(\left\{ {\begin{array}{*{20}{l}}{\left( {SAD} \right) \bot \left( {ABCD} \right)}\\{SH \supset \left( {SAD} \right)}\end{array}} \right. \Rightarrow SH \bot \left( {ABCD} \right)\).

Xét tam giác EBC có: \(\left\{ {\begin{array}{*{20}{l}}{HD\parallel BC}\\{HD = \dfrac{1}{2}BC}\end{array}} \right. \Rightarrow HD\) là đường trung bình của tam giác EBC.

\( \Rightarrow H\) là trung điểm của BE.

\({V_{S.ABCD}} = \dfrac{1}{3}SH.{S_{ABCD}} \Leftrightarrow \dfrac{4}{3}{a^3} = \dfrac{1}{3}SH.2{a^2} \Leftrightarrow SH = 2a\).

Kẻ \(HK \bot SD \Rightarrow d\left( {H;\left( {SCD} \right)} \right) = HK\).

Có \(\dfrac{{d\left( {H;\left( {SCD} \right)} \right)}}{{d\left( {B;\left( {SCD} \right)} \right)}} = \dfrac{{HE}}{{BE}} = \dfrac{1}{2}\).

Xét tam giác SHD vuông tại \(H\) có: \(\dfrac{1}{{H{K^2}}} = \dfrac{1}{{S{H^2}}} + \dfrac{1}{{S{D^2}}} = \dfrac{1}{{4{a^2}}} + \dfrac{1}{{\dfrac{{{a^2}}}{2}}} = \dfrac{9}{{4{a^2}}} \Rightarrow HK = \dfrac{{2a}}{3}\).

\(d\left( {B;\left( {SCD} \right)} \right) = 2d\left( {H;\left( {SCD} \right)} \right) = 2HK = 2\dfrac{{2a}}{3} = \dfrac{{4a}}{3}\).

Chọn B.

Câu 13 (VD):

Phương pháp:

– Đặt \(t = 1 – f\left( x \right)\), đưa phương trình về dạng phương trình ẩn \(t\).

– Tìm số nghiệm của phương trình thông qua số giao điểm của đồ thị hàm số.

– Từ nghiệm \(t\) tìm được thay lại phương trình \(f\left( x \right) = 1 – t\) để tìm số nghiệm \(x\), tiếp tục áp dụng phương pháp tương giao.

Cách giải:

Đặt \(t = 1 – f\left( x \right)\), phương trình trở thành \(f\left( t \right) = 2\).

Số nghiệm của phương trình là số giao điểm của đồ thị hàm số \(y = f\left( t \right)\) và đường thẳng \(y = 2\).

 

Dựa vào đồ thị hàm số ta thấy \(f\left( t \right) = 2 \Leftrightarrow \left[ {\begin{array}{*{20}{l}}{t = 1}\\{t = {\rm{\;}} – 2}\end{array}} \right.\) \( \Leftrightarrow \left[ {\begin{array}{*{20}{l}}{1 – f\left( x \right) = 1}\\{1 – f\left( x \right) = {\rm{\;}} – 2}\end{array}} \right. \Leftrightarrow \left[ {\begin{array}{*{20}{l}}{f\left( x \right) = 0{\mkern 1mu} {\mkern 1mu} {\mkern 1mu} \left( 1 \right)}\\{f\left( x \right) = 3{\mkern 1mu} {\mkern 1mu} {\mkern 1mu} \left( 2 \right)}\end{array}} \right.\).

+ Số nghiệm của phương trình (1) là số giao điểm của đồ thị hàm số \(y = f\left( x \right)\) và đường thẳng \(y = 0\) nên phương trình (1) có 3 nghiệm phân biệt.

+ Số nghiệm của phương trình (2) là số giao điểm của đồ thị hàm số \(y = f\left( x \right)\) và đường thẳng \(y = 3\) nên phương trình (1) có 1 nghiệm duy nhất.

Vậy phương trình đã cho có tất cả 4 nghiệm.

Chọn D.

Câu 14 (TH):

Phương pháp:

– Dựa vào chiều của nhánh cuối cùng suy ra dấu của hệ số \(a\).

– Dựa vào giao điểm của đồ thị hàm số với trục tung suy ra dấu của hệ số \(d\).

– Dựa vào các điểm cực trị suy ra dấu của hệ số \(b,{\mkern 1mu} {\mkern 1mu} c\).

Cách giải:

Vì đồ thị hàm số có nhánh cuối cùng đi xuống nên \(a < 0\).

Vì giao điểm của đồ thị hàm số và trục tung nằm phía dưới trục hoành nên \(d < 0\).

Dựa vào đồ thị hàm số ta thấy: Hàm số có 2 điểm cực trị trái dấu, và tổng 2 cực trị là số dương.

Ta có \(y’ = 3a{x^2} + 2bx + c\), do đó \(\left\{ {\begin{array}{*{20}{l}}{ac < 0}\\{\dfrac{{ – 2b}}{{3a}} > 0}\end{array}} \right. \Leftrightarrow \left\{ {\begin{array}{*{20}{l}}{c > 0}\\{b > 0}\end{array}} \right.\).

Vậy có 2 số dương là \(b,{\mkern 1mu} {\mkern 1mu} c\).

Chọn C.

Câu 15 (NB):

Phương pháp:

Đồ thị hàm số \(y = \dfrac{{ax + b}}{{cx + d}}\) có TCN \(y = \dfrac{a}{c}\).

Cách giải:

Đồ thị hàm số \(y = \dfrac{2}{{ – x + 3}}\) có TCN \(y = 0\).

Chọn A.

Câu 16 (VD):

Phương pháp:

– Nhân cả tử và mẫu với biểu thức liên hợp của mẫu.

– Sử dụng công thức tính nguyên hàm: \(\int {\sqrt {ax + b} dx} {\rm{\;}} = \dfrac{2}{{3a}}{\left( {\sqrt {ax + b} } \right)^3} + C\).

Cách giải:

Ta có

\(\begin{array}{*{20}{l}}{\int\limits_0^1 {\dfrac{{dx}}{{\sqrt {x + 1} {\rm{\;}} + \sqrt x }}} {\rm{\;}} = \int\limits_0^1 {\dfrac{{\sqrt {x + 1} {\rm{\;}} – \sqrt x }}{{x + 1 – x}}} dx}\\{ = \int\limits_0^1 {\left( {\sqrt {x + 1} {\rm{\;}} – \sqrt x } \right)dx} {\rm{\;}} = \left. {\dfrac{2}{3}\left[ {{{\left( {\sqrt {x + 1} } \right)}^3} – {{\left( {\sqrt x } \right)}^3}} \right]} \right|_0^1}\\{ = \dfrac{2}{3}\left[ {\left( {\sqrt 8 {\rm{\;}} – 1} \right) – \left( {1 – 0} \right)} \right] = \dfrac{2}{3}\left( {\sqrt 8 {\rm{\;}} – 2} \right)}\end{array}\)

Khi đó \(a = 8;{\mkern 1mu} {\mkern 1mu} b = 2.\)

Vậy \(T = a + b = 8 + 2 = 10.\)

Chọn A.

Câu 17 (VDC):

Phương pháp:

– Đặt \(t = \cos \pi x\), tìm ĐK của \(t\).

– Sử dụng phương pháp hàm số giải phương trình ẩn \(t\).

– Từ đó suy ra \(x\).

Cách giải:

ĐK : \(3\cos \pi x – 1 > 0 \Leftrightarrow \cos \pi x > \dfrac{1}{3}\)

Đặt \(t = \cos \pi x\)\( \Rightarrow \dfrac{1}{3} < \cos \pi x \le 1 \Rightarrow \dfrac{1}{3} < t \le 1\)

Phương trình trở thành \({2^{t – 1}} + \dfrac{1}{2} = t + {\log _4}\left( {3t – 1} \right)\)\( \Leftrightarrow {2^{t – 1}} + \dfrac{1}{2} – t – {\log _4}\left( {3t – 1} \right) = 0\)

Xét hàm số \(f\left( t \right) = {2^{t – 1}} + \dfrac{1}{2} – t – {\log _4}\left( {3t – 1} \right)\) trên \(\left( {\dfrac{1}{3};1} \right]\) có: \(f’\left( t \right) = {2^{t – 1}}\ln 2 – 1 – \dfrac{3}{{\left( {3t – 1} \right)\ln 4}}\)

Do \(t \le 1 \Rightarrow \left\{ {\begin{array}{*{20}{l}}{{2^{t – 1}} \le 1}\\{3t – 1 \le 2}\end{array}} \right.\)\( \Rightarrow f’\left( t \right) < 1.\ln 2 – 1 – \dfrac{3}{{2.\ln 4}} < 0\) với mọi \(t \in \left( {\dfrac{1}{3};1} \right]\).

Do đó hàm số \(f\left( t \right)\) nghịch biến trên \(\left( {\dfrac{1}{3};1} \right]\).

Dễ thất \(f\left( 1 \right) = {2^{1 – 1}} + \dfrac{1}{2} – 1 – {\log _4}2 = 0\) nên phương trình \(f\left( t \right) = 0\) có nghiệm duy nhất \(t = 1\).

\( \Rightarrow \cos \pi x = 1 \Leftrightarrow \pi x = k2\pi {\rm{\;}} \Leftrightarrow x = 2k\).

Mà \(0 \le x \le 100 \Leftrightarrow 0 \le 2k \le 100 \Leftrightarrow 0 \le k \le 50\) .

Vậy có 51 giá trị nguyên của k ứng với 51 nghiệm.

Chọn A.

Câu 18 (VD):

Phương pháp:

Sử dụng hàm số \(y = f\left( x \right)\) có \(f’\left( x \right) \le 0\) với mọi \(x \in K\) và \(y’ = 0\) xảy ra tại hữu hạn điểm thì \(y = f\left( x \right)\) nghịch biến trên K.

Cách giải:

Từ đồ thị hàm số \(y = f’\left( x \right)\) ta thấy \(f’\left( x \right) \le 0 \Leftrightarrow x \le 3\).

Xét hàm số \(y = f\left( {2 + {e^x}} \right)\)ta có \(y’ = {e^x}.f’\left( {2 + {e^x}} \right)\).

Xét \(y’ < 0 \Leftrightarrow {e^x}.f’\left( {2 + {e^x}} \right) < 0 \Leftrightarrow f’\left( {2 + {e^x}} \right) < 0\) (do \({e^x} > 0{\mkern 1mu} {\mkern 1mu} \forall x\))

\( \Leftrightarrow 2 + {e^x} < 3 \Leftrightarrow {e^x} < 1 \Leftrightarrow x < 0\).

Vậy hàm số nghịch biến trên \(\left( { – \infty ;0} \right)\).

Chọn B.

Câu 19 (TH):

Phương pháp:

– Gọi \(H\) là trung điểm của AB, chứng minh \(SH \bot \left( {ABCD} \right)\).

– Tính thể tích khối chóp \({V_{S.ABCD}} = \dfrac{1}{3}SH.{S_{ABCD}}\).

Cách giải:

 

Gọi \(H\) là trung điểm của AB, vì \(\Delta SAB\) đều có \(AB = a\) nên \(SH \bot AB\) và \(SH = \dfrac{{a\sqrt 3 }}{2}\).

Ta có: \(\left\{ {\begin{array}{*{20}{l}}{\left( {SAB} \right) \bot \left( {ABCD} \right) = AB}\\{SH \subset \left( {SAB} \right);{\mkern 1mu} {\mkern 1mu} SH \bot AB}\end{array}} \right.\) \( \Rightarrow SH \bot \left( {ABCD} \right)\).

Ta có: \({S_{ABCD}} = AB.AD = a.a\sqrt 3 {\rm{\;}} = {a^2}\sqrt 3 \).

Vậy \({V_{S.ABCD}} = \dfrac{1}{3}SH.{S_{ABCD}} = \dfrac{1}{3}.\dfrac{{a\sqrt 3 }}{2}.{a^2}\sqrt 3 {\rm{\;}} = \dfrac{{{a^3}}}{2}\).

Chọn D.

Câu 20 (TH):

Phương pháp:

– Viết phương trình tiếp tuyến của đồ thị hàm số \(y = f\left( x \right)\) tại điểm có hoành độ \(x = {x_0}\) là:

\(y = f’\left( {{x_0}} \right)\left( {x – {x_0}} \right) + {y_0}\)

– Giải phương trình \(f’\left( {{x_0}} \right) = k\) để tìm \({x_0}\).

Cách giải:

Lấy \(M\left( {{x_0};\dfrac{{2{x_0} – 1}}{{{x_0} – 2}}} \right) \in \) đồ thị hàm số \(y = \dfrac{{2x – 1}}{{x – 2}}\) \(\left( {{x_0} \ne 2} \right)\).

Hệ số góc của tiếp tuyến của đồ thị hàm số tại \(M\) là \(k = y’\left( {{x_0}} \right) = \dfrac{{ – 3}}{{{{\left( {{x_0} – 2} \right)}^2}}}\).

Theo bài ra ta có: \(\dfrac{{ – 3}}{{{{\left( {{x_0} – 2} \right)}^2}}} = {\rm{\;}} – 3 \Leftrightarrow {\left( {{x_0} – 2} \right)^2} = 1 \Leftrightarrow \left[ {\begin{array}{*{20}{l}}{{x_0} – 2 = 1}\\{{x_0} – 2 = {\rm{\;}} – 1}\end{array}} \right. \Leftrightarrow \left[ {\begin{array}{*{20}{l}}{{x_0} = 3 \Rightarrow {y_0} = 5}\\{{x_0} = 1 \Rightarrow {y_0} = {\rm{\;}} – 1}\end{array}} \right.\).

Vậy có 2 tiếp tuyến thỏa mãn yêu cầu bài toán là \(\left[ {\begin{array}{*{20}{l}}{y = {\rm{\;}} – 3\left( {x – 3} \right) + 5 \Leftrightarrow y = {\rm{\;}} – 3x + 14}\\{y = {\rm{\;}} – 3\left( {x – 1} \right) – 1 \Leftrightarrow y = {\rm{\;}} – 3x + 2}\end{array}} \right.\).

Chọn D.

Câu 21 (NB):

Phương pháp:

– Mặt phẳng vuông góc với BC thì nhận \(\overrightarrow {BC} \) làm VTPT.

– Phương trình mặt phẳng đi qua \(M\left( {{x_0};{y_0};{z_0}} \right)\) và có 1 VTPT \(\vec n\left( {A;B;C} \right)\) là

\(A\left( {x – {x_0}} \right) + B\left( {y – {y_0}} \right) + C\left( {z – {z_0}} \right) = 0\).

Cách giải:

Ta có : \(\overrightarrow {BC} {\rm{\;}} = \left( {1; – 2; – 5} \right)\).

Mặt phẳng đi qua \(A\) và vuông góc với BC nên nhận \(\overrightarrow {BC} \) làm VTPT.

Vậy phương trình mặt phẳng là: \(1\left( {x – 2} \right) – 2\left( {y – 1} \right) – 5\left( {z + 1} \right) = 0\)\( \Leftrightarrow x – 2y – 5z – 5 = 0\).

Chọn B.

Câu 22 (NB):

Phương pháp:

– Tính chiều cao \(h\) theo công thức \({l^2} = {h^2} + {r^2}\).

– Sử dụng công thức tính thể tích khối nón \(V = \dfrac{1}{3}\pi {r^2}h\).

Cách giải:

Ta có: \({l^2} = {h^2} + {r^2} \Rightarrow h = \sqrt {{l^2} – {r^2}} {\rm{\;}} = \sqrt {{{\left( {5a} \right)}^2} – \left( {3{a^2}} \right)} {\rm{\;}} = 4a\).

Vậy thể tích khối nón là: \(V = \dfrac{1}{3}\pi {r^2}h = \dfrac{1}{3}\pi .{\left( {3a} \right)^2}.4a = 12\pi {a^3}\).

Chọn B.

Câu 23 (TH):

Phương pháp:

– Xét phương trình hoành độ tìm 2 đường giới hạn \(x = a,{\mkern 1mu} {\mkern 1mu} x = b\).

– Diện tích hình phẳng giới hạn bởi đồ thị hàm số \(y = f\left( x \right),{\mkern 1mu} {\mkern 1mu} y = g\left( x \right)\), đường thẳng \(x = a,{\mkern 1mu} x = b\) là \(S = \int\limits_a^b {\left| {f\left( x \right) – g\left( x \right)} \right|dx} \).

Cách giải:

Xét phương trình hoành độ giao điểm: \(x + 3 = 2{x^2} – x – 1 \Leftrightarrow \left[ {\begin{array}{*{20}{l}}{x = 2}\\{x = {\rm{\;}} – 1}\end{array}} \right.\).

Vậy diện tích hình phẳng cần tính là \(S = \int\limits_{ – 1}^2 {\left| {x + 3 – 2{x^2} + x + 1} \right|dx} {\rm{\;}} = 9\).

Chọn A.

Câu 24 (NB):

Phương pháp:

Sử dụng công thức tính nguyên hàm: \(\int {{x^n}dx} {\rm{\;}} = \dfrac{{{x^{n + 1}}}}{{n + 1}} + C\).

Cách giải:

\(\int {f\left( x \right)dx} {\rm{\;}} = \int {\left( {{x^2} + 2x} \right)dx} {\rm{\;}} = \dfrac{1}{3}{x^3} + {x^2} + C\).

Chọn A.

Câu 25 (TH):

Phương pháp:

Thể tích của khối tròn xoay khi cho hình phẳng giới hạn bởi đường thẳng \(y = f\left( x \right)\); đồ thị hàm số \(y = g\left( x \right)\); đường thẳng \(x = a;{\mkern 1mu} {\mkern 1mu} x = b\) quanh quanh trục Ox là \(V = \int\limits_a^b {\left| {{f^2}\left( x \right) – {g^2}\left( x \right)} \right|dx} \).

Cách giải:

Xét phương trình hoành độ giao điểm \(3x – 2 = {x^2} \Leftrightarrow \left[ {\begin{array}{*{20}{l}}{x = 1}\\{x = 2}\end{array}} \right.\).

Vậy thể tích của khối tròn xoay khi cho hình phẳng giới hạn bởi đường thẳng \(3x – 2\) và đồ thị hàm số \(y = {x^2}\) quanh quanh trục Ox là \(V = \pi \int\limits_1^2 {\left| {{{\left( {3x – 2} \right)}^2} – {x^4}} \right|dx} {\rm{\;}} = \dfrac{{4\pi }}{5}\).

Chọn D.

Câu 26 (TH):

Phương pháp:

– Xác định góc giữa (DBC’) và (ABCD) là góc giữa hai đường thẳng lần lượt thuộc hai mặt phẳng và cùng vuông góc với giao tuyến.

– Sử dụng tỉ số lượng giác của góc nhọn trong tam giác vuông tính chiều cao khối lăng trụ.

– Tính thể tích khối lăng trụ bằng chiều cao nhân diện tích đáy.

Cách giải:

 

Vì ABCD.A’B’C’D’ là lăng trụ tứ giác đều nên ABCD là hình vuông cạnh a \( \Rightarrow AC \bot BD\) tại O.

Ta có: \(\left\{ {\begin{array}{*{20}{l}}{BD \bot CO}\\{BD \bot CC’}\end{array}} \right. \Rightarrow BD \bot \left( {C’CO} \right) \Rightarrow BD \bot C’O\).

\(\left\{ {\begin{array}{*{20}{l}}{\left( {DBC’} \right) \cap \left( {ABCD} \right) = BD}\\{C’O \subset \left( {DBC’} \right);{\mkern 1mu} {\mkern 1mu} C’O \bot BD{\mkern 1mu} {\mkern 1mu} \left( {cmt} \right)}\\{CO \subset \left( {ABCD} \right);{\mkern 1mu} {\mkern 1mu} CO \bot BD}\end{array}} \right.\)  \( \Rightarrow \angle \left( {\left( {DBC’} \right);\left( {ABCD} \right)} \right) = \angle \left( {\left( {C’O;CO} \right)} \right) = \angle C’OC = {60^0}\).

Vì ABCD là hình vuông cạnh a nên \(AC = a\sqrt 2 {\rm{\;}} \Rightarrow CO = \dfrac{{a\sqrt 2 }}{2}\).

Xét tam giác vuông C’CO có \(CC’ = CO.\tan {60^0} = \dfrac{{a\sqrt 2 }}{2}.\sqrt 3 {\rm{\;}} = \dfrac{{a\sqrt 6 }}{2}\).

Vậy \({V_{ABCD.A’B’C’D’}} = CC’.{S_{ABCD}} = \dfrac{{a\sqrt 6 }}{2}.{a^2} = \dfrac{{\sqrt 6 {a^3}}}{2}\).

Chọn A.

Câu 27 (TH):

Cách giải:

Xét hàm số \(f\left( x \right) = {x^4} – 12{x^2} – 4\) trên đoạn \(\left[ {0;9} \right]\), ta có:

\(f’\left( x \right) = 4{x^3} – 24x = 4x\left( {{x^2} – 6} \right);f’\left( x \right) = 0 \Leftrightarrow \left[ {\begin{array}{*{20}{c}}{x = 0 \in \left[ {0;9} \right]}\\{x = \sqrt 6 {\rm{\;}} \in \left[ {0;9} \right]}\\{x = {\rm{\;}} – \sqrt 6 {\rm{\;}} \notin \left[ {0;9} \right]}\end{array}} \right.\)

Và \(f\left( 0 \right) = {\rm{\;}} – 4{\mkern 1mu} {\mkern 1mu} ,{\mkern 1mu} {\mkern 1mu} f\left( {\sqrt 6 } \right) = {\rm{\;}} – 40{\mkern 1mu} {\mkern 1mu} ;{\mkern 1mu} {\mkern 1mu} f\left( 9 \right) = 5585\).

Vậy \(\mathop {\min }\limits_{\left[ {0;9} \right]} f\left( x \right) = \left( {\sqrt 6 } \right) = {\rm{\;}} – 40\).

Chọn B.

Câu 28 (VD):

Phương pháp:

– Gắn hệ tọa độ vào hình vẽ đã cho.

– Viết phương trình đường parabol tạo thành cánh hoa.

– Áp dụngứng dụng tích phân để tính diện tích hình phẳng để tính diện tích phần tráng men.

Cách giải:

 

Gắn hệ trục tọa độ như hình vẽ.

Parbol đi qua gốc tọa độ và điểm \(A,{\mkern 1mu} {\mkern 1mu} B\) có phương trình \(y = \dfrac{{{x^2}}}{2}\).

Parbol đi qua gốc tọa độ và điểm \(B,{\mkern 1mu} {\mkern 1mu} C\) có phương trình \(x = \dfrac{{{y^2}}}{2} \Leftrightarrow {y^2} = 2x \Leftrightarrow y = \sqrt {2x} {\mkern 1mu} {\mkern 1mu} \left( {x \ge 0} \right)\).

Diện tích 1 cánh hoa là diện tích hình phẳng giới hạn bởi parabol \(y = \dfrac{{{x^2}}}{2}\);\(y = \sqrt {2x} \), đường thẳng \(x = 2;{\mkern 1mu} {\mkern 1mu} x = 0\) là \({S_1} = \int\limits_0^2 {\left( {\sqrt {2x} {\rm{\;}} – \dfrac{{{x^2}}}{2}} \right)dx} {\rm{\;}} = \dfrac{4}{3}\).

\( \Rightarrow \) Diện tích phần tráng men là: \(S = 4{S_1} = \dfrac{{16}}{3}{\mkern 1mu} {\mkern 1mu} \left( {{m^2}} \right)\).

Vậy số tiền cần phải trả là \(T = 24.\dfrac{{16}}{3} = 128\) triệu.

Chọn D.

Câu 29 (TH):

Phương pháp:

– Đặt ẩn phụ \(t = {2^{x – 2}} > 0\).

– Cô lập \(m\), đưa phương trình về dạng \(m = g\left( t \right){\mkern 1mu} {\mkern 1mu} \left( {t > 0} \right)\).

– Lập BBT của hàm số \(g\left( t \right)\) khi \(t > 0\).

– Dựa vào BBT tìm giá trị của \(m\) để phương trình có nghiệm.

Cách giải:

Ta có \({4^{x – 1}} – m{.2^{x – 2}} + 1 = 0 \Leftrightarrow 4.{\left( {{2^{x – 2}}} \right)^2} – m{.2^{x – 2}} + 1 = 0\).

Đặt \(t = {2^{x – 2}} > 0\), phương trình đã cho trở thành \(4{t^2} – mt + 1 = 0 \Leftrightarrow m = \dfrac{{4{t^2} + 1}}{t} = g\left( t \right){\mkern 1mu} {\mkern 1mu} \left( {t > 0} \right)\).

Xét hàm số \(g\left( t \right) = \dfrac{{4{t^2} + 1}}{t} = 4t + \dfrac{1}{t}\) có \(g’\left( t \right) = 4 – \dfrac{1}{{{t^2}}} = 0 \Leftrightarrow t = \dfrac{1}{2}\).

BBT:

 

Dựa vào BBT ta thấy phương trình có nghiệm \(t > 0 \Leftrightarrow m \ge 4\).

Kết hợp điều kiện \(\left\{ {\begin{array}{*{20}{l}}{m \in {\mathbb{Z}^ + }}\\{m \le 2021}\end{array}} \right. \Rightarrow m \in \left\{ {4;5;6;…;2020;2021} \right\}\).

Vậy có 2018 giá trị của m thỏa mãn yêu cầu bài toán.

Chọn B.

Câu 30 (VDC):

Cách giải:

Theo bài ra ta có: \({4^x} + {4^y} = 32y – 32x + 48 \Leftrightarrow {4^x} + 32x = 32y – {4^y} + 48\).

Vì \(x,{\mkern 1mu} {\mkern 1mu} y \in {\mathbb{N}^*},{\mkern 1mu} {\mkern 1mu} x < y\) nên ta thử các TH sau:

+ Với \(x = 1,{\mkern 1mu} {\mkern 1mu} y = 2\) ta có: \(4 + 32 = 64 – 16 + 48 \Leftrightarrow 36 = 96\) (Vô lí).

\( \Rightarrow x \ge 2 \Rightarrow VT = {4^x} + 32x \ge 80{\mkern 1mu} {\mkern 1mu} \left( 1 \right)\).

Xét hàm số \(f\left( y \right) = 32y – {4^y} + 48\) ta có \(f’\left( y \right) = 32 – {4^y}\ln 4 = 0 \Leftrightarrow y = {\log _4}\dfrac{{32}}{{\ln 4}}\).

BBT:

 

Vì \(y \in {\mathbb{N}^*}\) nên \(f\left( y \right) = 32y – {4^y} + 48 \in {\mathbb{N}^*}\), dựa vào BBT \( \Rightarrow f\left( y \right) \le 97{\mkern 1mu} {\mkern 1mu} \left( 2 \right)\).

Từ (1) và (2)

\(\begin{array}{*{20}{l}}{ \Rightarrow 80 \le f\left( y \right) \le 97 \Rightarrow 80 \le VP \le 97 \Rightarrow 80 \le VT \le 97}\\{ \Rightarrow 80 \le {4^x} + 32x \le 97{\mkern 1mu} {\mkern 1mu} \left( * \right)}\end{array}\).

Hàm số \(g\left( x \right) = {4^x} + 32x\) đồng biến trên \(\mathbb{R}\), do đó từ (*) ta suy ra \(x = 2\).

Với \(x = 2\) ta có \(80 = 32y – {4^y} + 48 \Leftrightarrow 32y – {4^y} = 32\), sử dụng MODE7 ta tìm được \(y = 3\).

Vậy có 1 cặp số \(\left( {x;y} \right)\) thỏa mãn là \(\left( {x;y} \right) = \left( {2;3} \right)\).

Chọn D.

Câu 31 (TH):

Phương pháp:

– \(\left\{ {\begin{array}{*{20}{l}}{AB \subset \left( Q \right)}\\{\left( Q \right) \bot \left( P \right)}\end{array}} \right. \Rightarrow \overrightarrow {{n_Q}} {\rm{\;}} = \left[ {\overrightarrow {AB} ;\overrightarrow {{n_P}} } \right]\) với \(\overrightarrow {{n_P}} ,{\mkern 1mu} {\mkern 1mu} \overrightarrow {{n_Q}} \) lần lượt là 1 VTPT của \(\left( P \right),{\mkern 1mu} {\mkern 1mu} \left( Q \right)\).

– Mặt phẳng đi qua \(M\left( {{x_0};{y_0};{z_0}} \right)\) và có 1 VTPT là \(\vec n\left( {A;B;C} \right)\) là \(A\left( {x – {x_0}} \right) + B\left( {y – {y_0}} \right) + C\left( {z – {z_0}} \right) = 0\).

Cách giải:

Mặt phẳng \(\left( P \right)\) có 1 VTPT là \(\overrightarrow {{n_P}} {\rm{\;}} = \left( {2; – 1;2} \right)\).

Ta có: \(A\left( {1;0; – 2} \right);B\left( { – 1; – 1;3} \right)\)\( \Rightarrow \overrightarrow {AB} {\rm{\;}} = \left( { – 2; – 1;5} \right).\)

\( \Rightarrow \left[ {\overrightarrow {{n_P}} ;\overrightarrow {AB} } \right] = \left( { – 3; – 14; – 4} \right).\).

Gọi \(\overrightarrow {{n_Q}} \) là 1 VTPT của mặt phẳng \(\left( Q \right)\) ta có: \(\left\{ {\begin{array}{*{20}{l}}{AB \subset \left( Q \right)}\\{\left( Q \right) \bot \left( P \right)}\end{array}} \right. \Rightarrow \overrightarrow {{n_Q}} {\rm{\;}} = \left[ {\overrightarrow {AB} ;\overrightarrow {{n_P}} } \right] = \left( { – 3; – 14; – 4} \right)\) là 1 VTPT của mặt phẳng \(\left( Q \right)\).

Vậy phương trình mặt phẳng \(\left( Q \right)\) là:

\( – 3\left( {x – 1} \right) – 14\left( {y – 0} \right) – 4\left( {z + 2} \right) = 0\) \( \Leftrightarrow 3x + 14y + 4z + 5 = 0\)

Chọn D.

Câu 32 (TH):

Phương pháp:

Phương trình mặt phẳng đi qua \({M_0}\left( {{x_0};{y_0};{z_0}} \right)\) và có 1 VTPT \(\vec n\left( {a;b;c} \right) \ne \vec 0\) là:

\(a\left( {x – {x_0}} \right) + b\left( {y – {y_0}} \right) + c\left( {z – {z_0}} \right) = 0\).

Cách giải:

\(\overrightarrow {AB} {\rm{\;}} = \left( {1; – 1; – 1} \right)\). Mặt phẳng đi qua A và vuông góc với đường thẳng AB có phương trình là:

\(1.\left( {x – 1} \right) – 1\left( {y – 1} \right) – 1\left( {z – 2} \right) = 0 \Leftrightarrow x – y – z + 2 = 0\).

Chọn D.

Câu 33 (NB):

Phương pháp:

Sử dụng công thức \({a^m} = {a^n} \Leftrightarrow m = n\).

Cách giải:

\(\begin{array}{*{20}{l}}{{3^{x – 1}} = 9 \Leftrightarrow {3^{x – 1}} = {3^2}}\\{ \Leftrightarrow x – 1 = 2 \Leftrightarrow x = 3}\end{array}\)

Chọn B.

Câu 34 (VD):

Phương pháp:

– Gọi D là trung điểm của BC. Chứng minh \(AD \bot SC\). Từ đó, dựng mặt phẳng \(\left( {\alpha {\rm{\;}}} \right)\) với chú ý \(\left( {\alpha {\rm{\;}}} \right)//AD\).

– Sử dụng tỉ số thể tích khối chóp \(\dfrac{{{V_{S.A’B’C’}}}}{{{V_{S.ABC}}}} = \dfrac{{SA’}}{{SA}}.\dfrac{{SB’}}{{SB}}.\dfrac{{SC’}}{{SC}}\)

Cách giải:

 

Gọi D là trung điểm của BC ta có \(AD \bot BC\)

Mà \(\left( {SBC} \right) \bot \left( {ABC} \right),AD \subset \left( {ABC} \right)\) nên \(AD \bot \left( {SBC} \right)\)\( \Rightarrow AD \bot SC\)

Lại có \(\left( {\alpha {\rm{\;}}} \right) \bot SC \Rightarrow \left( {\alpha {\rm{\;}}} \right)//AD\)

Gọi E là trung điểm của SC thì \(BE \bot SC \Rightarrow BE \subset \left( {\alpha {\rm{\;}}} \right)\)

Trong mp(SBC), gọi G là giao điểm của BE và AD thì \(G \in BE \subset \left( {\alpha {\rm{\;}}} \right)\)

Tròn mp(SAD), qua G kẻ GF//AD (\(F \in SA\)) ta được (BEF) chính là mặt phẳng \(\left( {\alpha {\rm{\;}}} \right)\).

Dễ thấy G là trọng tâm tam giác SBC nên \(\dfrac{{SG}}{{SD}} = \dfrac{2}{3}\).

Mà GF//AD nên theo Ta let \(\dfrac{{SF}}{{SA}} = \dfrac{{SG}}{{SD}} = \dfrac{2}{3}\)

Vậy \(\dfrac{{{V_{S.BEF}}}}{{{V_{S.BCA}}}} = \dfrac{{SB}}{{SB}}.\dfrac{{SE}}{{SC}}.\dfrac{{SF}}{{SA}} = 1.\dfrac{1}{2}.\dfrac{2}{3} = \dfrac{1}{3}\).

\(\begin{array}{*{20}{l}}{ \Rightarrow {V_{S.BEF}} = \dfrac{1}{3}{V_{S.ABC}}}\\{ \Rightarrow {V_{B.ACEF}} = {V_{S.ABC}} – {V_{S.BEF}}}\\{ = {V_{S.ABC}} – \dfrac{1}{3}{V_{S.ABC}} = \dfrac{2}{3}{V_{S.ABC}}}\\{ \Rightarrow \dfrac{{{V_{S.BEF}}}}{{{V_{B.ACEF}}}} = \dfrac{{\dfrac{1}{3}{V_{S.ABC}}}}{{\dfrac{2}{3}{V_{S.ABC}}}} = \dfrac{1}{2}}\end{array}\)

Chọn A.

Câu 35 (TH):

Cách giải:

+) Gọi KGM là “Lấy ngẫu nhiên 6 sản phẩm từ 12 sản phẩm” \( \Rightarrow {n_\Omega } = C_{12}^6 = 924\)

+) Gọi A là biến cố: “6 sản phẩm được lấy ra không quá 1 phế phẩm”

TH1: Số cách lấy được 6 sản phẩm trong đó 5 sản phầm và 1 phế phẩm \( \Rightarrow C_{10}^5.C_2^1 = 504\)cách

TH2: Số cách lấy được 6 sản phẩm trong đó 6 sản phẩm và 0 phế phẩm \( \Rightarrow C_{10}^5.C_2^1 = 504\)cách

\(\begin{array}{*{20}{l}}{ \Rightarrow {n_{\left( A \right)}} = 504 + 210 = 714}\\{ \Rightarrow {P_{\left( A \right)}} = \dfrac{{714}}{{924}} = \dfrac{{17}}{{22}}}\end{array}\)             

Chọn D.

Câu 36 (NB):

Phương pháp:

Đường thẳng \(d:\dfrac{{x – {x_0}}}{a} = \dfrac{{y – {y_0}}}{b} = \dfrac{{z – {z_0}}}{c}\)  có 1 VTCP là \(\vec u{\rm{\;}} = \left( {a;b;c} \right)\)

Cách giải:

Đường thẳng \(d:\dfrac{{x – 3}}{4} = \dfrac{{y + 1}}{{ – 2}} = \dfrac{{z + 2}}{3}\) có một vectơ chỉ phương là \(\overrightarrow {{u_2}} {\rm{\;}} = \left( {4; – 2;3} \right)\).

Chọn C.

Câu 37 (TH):

Phương pháp:

Nguyên hàm từng phần \(\int {udv} {\rm{\;}} = uv – \int {vdu} \).

Cách giải:

Đặt \(\left\{ {\begin{array}{*{20}{l}}{u = x \Rightarrow du = dx}\\{dv = \sin xdx \Rightarrow v = {\rm{\;}} – \cos x}\end{array}} \right..\)

\(\begin{array}{*{20}{l}}{ \Rightarrow \int {x\sin xdx = {\rm{\;}} – x\cos x – \int { – \cos xdx} } }\\{{\mkern 1mu} {\mkern 1mu} {\mkern 1mu} {\mkern 1mu} {\mkern 1mu} {\mkern 1mu} {\mkern 1mu} {\mkern 1mu} {\mkern 1mu} {\mkern 1mu} {\mkern 1mu} {\mkern 1mu} {\mkern 1mu} {\mkern 1mu} {\mkern 1mu} {\mkern 1mu} {\mkern 1mu} {\mkern 1mu} {\mkern 1mu} {\mkern 1mu} {\mkern 1mu} {\mkern 1mu} {\mkern 1mu} {\mkern 1mu} {\mkern 1mu} {\mkern 1mu} {\mkern 1mu} {\mkern 1mu} {\mkern 1mu}  = {\rm{\;}} – x\cos x + \int {\cos xdx} }\\{{\mkern 1mu} {\mkern 1mu} {\mkern 1mu} {\mkern 1mu} {\mkern 1mu} {\mkern 1mu} {\mkern 1mu} {\mkern 1mu} {\mkern 1mu} {\mkern 1mu} {\mkern 1mu} {\mkern 1mu} {\mkern 1mu} {\mkern 1mu} {\mkern 1mu} {\mkern 1mu} {\mkern 1mu} {\mkern 1mu} {\mkern 1mu} {\mkern 1mu} {\mkern 1mu} {\mkern 1mu} {\mkern 1mu} {\mkern 1mu} {\mkern 1mu} {\mkern 1mu} {\mkern 1mu} {\mkern 1mu} {\mkern 1mu}  = {\rm{\;}} – x\cos x + \sin x + C}\end{array}\)

Chọn C.

Câu 38 (NB):

Phương pháp:

Giải phương trình lượng giác đặc biệt \(\sin x = 1 \Leftrightarrow x = \dfrac{\pi }{2} + k2\pi {\mkern 1mu} {\mkern 1mu} \left( {k \in \mathbb{Z}} \right)\).

Cách giải:

\(\sin x = 1 \Leftrightarrow x = \dfrac{\pi }{2} + k2\pi {\mkern 1mu} {\mkern 1mu} \left( {k \in \mathbb{Z}} \right)\).

Chọn D.

Câu 39 (TH):

Phương pháp:

– Gọi mặt phẳng cần tìm là \(\left( {\alpha {\rm{\;}}} \right)\), phương trình mặt phẳng \(\left( {\alpha {\rm{\;}}} \right)\) có dạng: \(2x + 2y – z + 1 + m\left( {x + 2y – 2z + 2} \right) = 0\)

– Hai mặt phẳng \(\left( P \right):{\mkern 1mu} {\mkern 1mu} Ax + By + Cz + D{\mkern 1mu}  = 0\) và \(\left( Q \right):{\mkern 1mu} {\mkern 1mu} A’x + B’y + C’z + D’ = 0\) vuông góc với nhau khi và chỉ khi \(AA’ + BB’ + CC’ = 0\).

Cách giải:

Gọi mặt phẳng cần tìm là \(\left( {\alpha {\rm{\;}}} \right)\), phương trình mặt phẳng \(\left( {\alpha {\rm{\;}}} \right)\) có dạng:

\(\begin{array}{*{20}{l}}{{\mkern 1mu} {\mkern 1mu} {\mkern 1mu} {\mkern 1mu} {\mkern 1mu} {\mkern 1mu} {\mkern 1mu} 2x + 2y – z + 1 + m\left( {x + 2y – 2z + 2} \right) = 0}\\{ \Leftrightarrow \left( {2 + m} \right)x + \left( {2 + 2m} \right)y + \left( { – 1 – 2m} \right)z + 2m + 1 = 0}\end{array}\)

Vì \(\left( {\alpha {\rm{\;}}} \right) \bot \left( P \right):{\mkern 1mu} {\mkern 1mu} x – z + y = 0\) nên ta có:

\(\begin{array}{*{20}{l}}{\left( {2 + m} \right).1 + \left( {2 + 2m} \right).1 + \left( { – 1 – 2m} \right).\left( { – 1} \right) = 0}\\{ \Leftrightarrow 2 + m + 2 + 2m + 1 + 2m = 0}\\{ \Leftrightarrow 5 + 5m = 0 \Leftrightarrow m = {\rm{\;}} – 1}\end{array}\)

Vậy phương trình mặt phẳng cần tìm là: \(x + z – 1 = 0\).

Chọn A.

Câu 40 (VD):

Phương pháp:

Xét vị trí tương đối của hai đường thẳng \({d_1}\) và \({d_2}\) ta thấy \({d_1}//{d_2}.\)

Đường thẳng \({d_1}\) có VTCP \(\overrightarrow {{u_1}} \) và đi qua điểm \({M_1}.\)

Đường thẳng \({d_2}\) có VTCP \(\overrightarrow {{u_2}} \) và đi qua điểm \({M_2}.\)

\( \Rightarrow \) Mặt phẳng \(\left( P \right)\) chứa hai đường thẳng \({d_1},{\mkern 1mu} {\mkern 1mu} {d_2}\) đi qua \({M_1}\) và có VTPT là: \(\vec n{\rm{\;}} = \left[ {\overrightarrow {{u_1}} ,{\mkern 1mu} {\mkern 1mu} \overrightarrow {{M_1}{M_2}} } \right].\)

Phương trình mặt phẳng đi qua điểm \(M\left( {{x_0};\;{y_0};\;{z_0}} \right)\) và có VTPT \(\vec n{\rm{\;}} = \left( {A;\;B;\;C} \right)\) có phương trình:

\(A\left( {x – {x_0}} \right) + B\left( {y – {y_0}} \right) + C\left( {z – {z_0}} \right) = 0.\)

Cách giải:

Ta có: \({d_1}:{\mkern 1mu} {\mkern 1mu} \dfrac{{x – 2}}{2} = \dfrac{{y + 3}}{{ – 1}} = \dfrac{{z – 5}}{{ – 3}}\) có VTCP là: \(\overrightarrow {{u_1}} {\rm{\;}} = \left( {2; – 1; – 3} \right)\)  và đi qua \({M_1}\left( {2; – 3;{\mkern 1mu} {\mkern 1mu} 5} \right)\)

\({d_2}:{\mkern 1mu} {\mkern 1mu} \dfrac{{x + 1}}{{ – 2}} = \dfrac{{y + 3}}{1} = \dfrac{{z – 2}}{3}\) có VTCP là: \(\overrightarrow {{u_2}} {\rm{\;}} = \left( { – 2;{\mkern 1mu} {\mkern 1mu} 1;{\mkern 1mu} {\mkern 1mu} 3} \right)\)  và đi qua \({M_2}\left( { – 1; – 3;{\mkern 1mu} {\mkern 1mu} 2} \right)\)

Ta thấy \(\overrightarrow {{u_1}} {\rm{\;}} = {\rm{\;}} – \overrightarrow {{u_2}} {\rm{\;}} \Rightarrow {d_1}//{d_2}\)

Ta có: \(\overrightarrow {{M_1}{M_2}} {\rm{\;}} = \left( { – 3;{\mkern 1mu} {\mkern 1mu} 0; – 3} \right)\)

Mặt phẳng \(\left( P \right)\) chứa hai đường thẳng \({d_1},{\mkern 1mu} {\mkern 1mu} {d_2}\)

\( \Rightarrow \left\{ {\begin{array}{*{20}{l}}{\overrightarrow {{n_P}} {\rm{\;}} \bot \overrightarrow {{u_1}} }\\{\overrightarrow {{n_P}} {\rm{\;}} \bot \overrightarrow {{M_1}{M_2}} }\end{array}} \right.\) \( \Rightarrow \overrightarrow {{n_P}} {\rm{\;}} = \left[ {\overrightarrow {{u_1}} ,{\mkern 1mu} {\mkern 1mu} \overrightarrow {{M_1}{M_2}} } \right]\)\( = \left( {3;{\mkern 1mu} {\mkern 1mu} 15; – 3} \right) = 3\left( {1;{\mkern 1mu} {\mkern 1mu} 5; – 1} \right)\)

\( \Rightarrow \left( P \right)\) nhận vecto \(\vec n{\rm{\;}} = \left( {1;{\mkern 1mu} {\mkern 1mu} {\mkern 1mu} 5; – 1} \right)\) làm VTPT.

\( \Rightarrow \) Mặt phẳng \(\left( P \right)\) đi qua \({M_1}\left( {2; – 3;{\mkern 1mu} {\mkern 1mu} 5} \right)\) và nhận vecto \(\vec n{\rm{\;}} = \left( {1;{\mkern 1mu} {\mkern 1mu} {\mkern 1mu} 5; – 1} \right)\) làm VTPT có phương trình:

\(x – 2 + 5\left( {y + 3} \right) – \left( {z – 5} \right) = 0\) \( \Leftrightarrow x + 5y – z + 18 = 0\)

Chọn C.

Câu 41 (NB):

Phương pháp:

+) Số cách để được 1 tam giác bất kì.

+) Số cách để được 1 tam giác có 2 đỉnh màu đỏ.

Cách giải:

 

Lấy 3 trong 6 điểm đỏ và 4 điểm xanh để lập thành tam giác, ta có 2 trường hợp:

TH1: 2 đỏ, 1 xanh : \(C_6^2.C_4^1 = 60\)

TH2: 1 đỏ, 2 xanh: \(C_6^1.C_4^2 = 36\)

Xác suất để thu được tam giác có 2 đỉnh màu đỏ là: \(\dfrac{{60}}{{60 + 36}} = \dfrac{5}{8}\)

Chọn C.

Câu 42 (TH):

Phương pháp:

Hàm số \(y = \dfrac{{ax + b}}{{cx + d}}\) nghịch biến trên \(\left( {\alpha ;\beta } \right)\) khi và chỉ khi \(\left\{ {\begin{array}{*{20}{l}}{y’ < 0}\\{ – \dfrac{d}{c} \notin \left( {\alpha ;\beta } \right)}\end{array}} \right.\).

Cách giải:

TXĐ: \(D = \mathbb{R}\backslash \left\{ { – m} \right\}\).

Ta có \(y = \dfrac{{mx + 4}}{{x + m}} \Rightarrow y’ = \dfrac{{{m^2} – 4}}{{{{\left( {x + m} \right)}^2}}}\).

Để hàm số nghịch biến trên khoảng \(\left( { – 1;1} \right)\) thì

\(\left\{ {\begin{array}{*{20}{l}}{y’ < 0}\\{ – m \notin \left( { – 1;1} \right)}\end{array}} \right. \Leftrightarrow \left\{ {\begin{array}{*{20}{l}}{{m^2} – 4 < 0}\\{\left[ {\begin{array}{*{20}{l}}{ – m \le {\rm{\;}} – 1}\\{ – m \ge 1}\end{array}} \right.}\end{array}} \right. \Leftrightarrow \left\{ {\begin{array}{*{20}{l}}{ – 2 < m < 2}\\{\left[ {\begin{array}{*{20}{l}}{m \ge 1}\\{m \le {\rm{\;}} – 1}\end{array}} \right.}\end{array}} \right. \Leftrightarrow \left[ {\begin{array}{*{20}{l}}{1 \le m < 2}\\{ – 2 < m \le {\rm{\;}} – 1}\end{array}} \right.\).

Lại có \(m \in \mathbb{Z} \Rightarrow m = {\rm{\;}} \pm 1\).

Vậy có 2 giá trị của \(m\) thỏa mãn yêu cầu bài toán.

Chọn B.

Câu 43 (TH):

Phương pháp:

Thể tích khối lập phương cạnh a là \({a^3}\)

Cách giải:

Giả sử độ dài cạnh của khối lập phương là a (cm) \( \Rightarrow \) Thể tích của khối lập phương là \({a^3}\)

Khi tăng độ dài cạnh của khối lập phương thêm \(2{\mkern 1mu} {\mkern 1mu} cm\) thì thể tích của khối lập phương mới là: \({\left( {a + 2} \right)^3}\)

Theo đề bài, ta có: \({\left( {a + 2} \right)^3} – {a^3} = 98 \Leftrightarrow 6{a^2} + 12a – 90 = 0 \Leftrightarrow \left[ {\begin{array}{*{20}{l}}{a = 3{\mkern 1mu} {\mkern 1mu} {\mkern 1mu} {\mkern 1mu} {\mkern 1mu} {\mkern 1mu} \left( {tm} \right)}\\{a = {\rm{\;}} – 5{\mkern 1mu} {\mkern 1mu} \left( {ktm} \right)}\end{array}} \right.\)

Vậy cạnh của khối lập phương đã cho bằng \(3{\mkern 1mu} {\mkern 1mu} cm\).

Chọn A.

Câu 44 (TH):

Phương pháp:

– Sử dụng công thức \(C_n^k = \dfrac{{n!}}{{k!\left( {n – k} \right)!}}\), giải phương trình \(C_n^0 + C_n^1 + C_n^2 = 11\) tìm \(n\).

– Sử dụng khai triển nhị thức Niu-tơn \({\left( {a + b} \right)^n} = \sum\limits_{k = 0}^n {C_n^k{a^{n – k}}{b^k}} \).

– Để tìm số hạng chứa \({x^7}\) ta cho số mũ của \(x\) trong khai triển bằng \(7\), giải phương trình tìm \(k\). Với \(k\) vừa tìm được ta suy ra số hạng chứa \({x^7}\).

Cách giải:

Ta có: \(C_n^0 + C_n^1 + C_n^2 = 11{\mkern 1mu} {\mkern 1mu} {\mkern 1mu} \left( {n \ge 2,{\mkern 1mu} {\mkern 1mu} n \in \mathbb{N}} \right)\)

\(\begin{array}{*{20}{l}}{ \Leftrightarrow 1 + n + \dfrac{{n\left( {n – 1} \right)}}{2} = 11}\\{ \Leftrightarrow 2 + 2n + {n^2} – n = 22}\\{ \Leftrightarrow {n^2} + n – 20 = 0}\\{ \Leftrightarrow \left[ {\begin{array}{*{20}{l}}{n = 4{\mkern 1mu} {\mkern 1mu} {\mkern 1mu} {\mkern 1mu} {\mkern 1mu} {\mkern 1mu} \left( {tm} \right)}\\{n = {\rm{\;}} – 5{\mkern 1mu} {\mkern 1mu} {\mkern 1mu} \left( {ktm} \right)}\end{array}} \right.}\end{array}\)

Khi đó ta có \({\left( {{x^3} – \dfrac{1}{{{x^2}}}} \right)^4} = \sum\limits_{k = 0}^4 {C_4^k{{\left( {{x^3}} \right)}^{4 – k}}{{\left( { – \dfrac{1}{{{x^2}}}} \right)}^k}} \) \( = \sum\limits_{k = 0}^4 {C_4^k{{\left( { – 1} \right)}^k}{x^{12 – 5k}}} {\mkern 1mu} {\mkern 1mu} \left( {0 \le k \le 4;{\mkern 1mu} {\mkern 1mu} k \in \mathbb{N}} \right)\).

Để tìm số hạng chứa \({x^7}\) ta cho \(12 – 5k = 7 \Leftrightarrow k = 1{\mkern 1mu} {\mkern 1mu} \left( {tm} \right)\).

Vậy số hạng chứa \({x^7}\) trong khai triển trên là \(C_4^1.{\left( { – 1} \right)^1}{x^7} = {\rm{\;}} – 4{x^7}\).

Chọn C.

Chú ý khi giải: Phân biệt số hạng chứa \({x^7}\) và hệ số của số hạng chứa \({x^7}\). Ở bài toán này, nếu hỏi hệ số của số hạng chứa \({x^7}\) thì ta chọn đáp án A.

Câu 45 (TH):

Phương pháp:

– Đường thẳng đi qua hai điểm \(A,{\mkern 1mu} {\mkern 1mu} B\) nhận   là 1 VTCP. Mọi vectơ cùng phương với \(\overrightarrow {AB} \) đều là 1 VTCP của đường thẳng.

– Phương trình đường thẳng đi qua \(M\left( {{x_0};{y_0};{z_0}} \right)\) và có 1 VTCP \(\vec u\left( {a;b;c} \right)\) là \(\dfrac{{x – {x_0}}}{a} = \dfrac{{y – {y_0}}}{b} = \dfrac{{z – {z_0}}}{c}\).

Cách giải:

Ta có: \(\overrightarrow {AB} {\rm{\;}} = \left( {4; – 2; – 2} \right)\), do đó đường thẳng AB nhận \(\vec u{\rm{\;}} = \left( {2; – 1; – 1} \right) = \dfrac{1}{2}\overrightarrow {AB} \) là 1 VTCP.

Phương trình đường thẳng đi qua \(B\left( {1; – 1;0} \right)\) và có 1 VTCP \(\vec u{\rm{\;}} = \left( {2; – 1; – 1} \right)\) là \(\dfrac{{x – 1}}{2} = \dfrac{{y + 1}}{{ – 1}} = \dfrac{z}{{ – 1}}\).

Chọn C.

Câu 46 (VD):

Phương pháp:

– Xác định số nghiệm của phương trình mẫu số.

– Số đường tiệm cận đứng của đồ thị hàm số là số nghiệm của phương trình mẫu số thỏa mãn điều kiện xác định và không bị triệt tiêu hết bởi nghiệm của tử số.

Cách giải:

 

 

ĐKXĐ: \(x \ge 1,{\mkern 1mu} {\mkern 1mu} f\left( x \right) \ne 0,{\mkern 1mu} {\mkern 1mu} f\left( x \right) \ne 1\).

\(g(x) = \dfrac{{\left( {{x^2} – 3x + 2} \right)\sqrt {x – 1} }}{{x\left[ {{f^2}\left( x \right) – f\left( x \right)} \right]}} = \dfrac{{\left( {x – 2} \right)\left( {x – 1} \right)\sqrt {x – 1} }}{{x.f\left( x \right)\left( {f\left( x \right) – 1} \right)}}\)

Nhận xét: \(f\left( x \right) = a{x^3} + b{x^2} + cx + d\) là hàm số bậc ba, đồng thời, quan sát đồ thị ta thấy:

+) \(f\left( x \right) = 0\) có 2 nghiệm phân biệt \(x = {x_1}{\mkern 1mu} {\mkern 1mu} \left( {0 < {x_1} < 1} \right){\mkern 1mu} {\mkern 1mu} \left( {ktm} \right)\)(nghiệm đơn) và \(x = 2\)(nghiệm kép).

+) \(f\left( x \right) = 1\) có 3 nghiệm phân biệt \(x = 1\)  (nghiệm đơn), \(x = {x_2}{\mkern 1mu} {\mkern 1mu} \left( {1 < {x_2} < 2} \right)\) (nghiệm đơn) và \(x = {x_3}{\mkern 1mu} {\mkern 1mu} \left( {{x_3} > 2} \right)\) (nghiệm đơn).

Khi đó hàm số \(y = g\left( x \right)\) được viết dưới dạng : \(g\left( x \right) = \dfrac{{\left( {x – 2} \right)\left( {x – 1} \right)\sqrt {x – 1} }}{{x.{\mkern 1mu} a\left( {x – {x_1}} \right){{\left( {x – 2} \right)}^2}.{\mkern 1mu} a\left( {x – 1} \right)\left( {x – {x_2}} \right)\left( {x – {x_3}} \right)}}\)

Do đó, đồ thị hàm số \(g\left( x \right)\) có 3 đường tiệm cận đứng là: \(x = {x_2},{\mkern 1mu} {\mkern 1mu} x = 2,{\mkern 1mu} {\mkern 1mu} x = {x_3}.\)

Chọn B.

Chú ý khi giải: Lưu ý đây là 1 bài toán có ĐKXĐ.

Câu 47 (VDC):

Phương pháp:

+) Xác định điểm \(I\) thỏa mãn \(\overrightarrow {IA} {\rm{\;}} + \overrightarrow {IB} {\rm{\;}} – \overrightarrow {IC} {\rm{\;}} = \vec 0\)

+) Khi đó, \(M{A^2} + M{B^2} – M{C^2} = {\overrightarrow {MA} ^2} + {\overrightarrow {MB} ^2} – {\overrightarrow {MC} ^2} = {\left( {\overrightarrow {MI} {\rm{\;}} + \overrightarrow {IA} } \right)^2} + {\left( {\overrightarrow {MI} {\rm{\;}} + \overrightarrow {IB} } \right)^2} – {\left( {\overrightarrow {MI} {\rm{\;}} + \overrightarrow {IC} } \right)^2}\)

\( = M{I^2} + 2\overrightarrow {MI} .\left( {\overrightarrow {IA} {\rm{\;}} + \overrightarrow {IB} {\rm{\;}} – \overrightarrow {IC} } \right) + I{A^2} + I{B^2} – I{C^2} = M{I^2} + I{A^2} + I{B^2} – I{C^2}\)

\(M{A^2} + M{B^2} – M{C^2}\) nhỏ nhất khi và chỉ khi MI ngắn nhất\( \Leftrightarrow M\) là hình chiếu vuông góc của I lên \(\left( {Oxy} \right)\).

Cách giải:

\(A\left( { – 3;0;0} \right),{\mkern 1mu} B\left( {0;0;3} \right),C\left( {0; – 3;0} \right)\)

+) Xác định điểm \(I\) thỏa mãn \(\overrightarrow {IA} {\rm{\;}} + \overrightarrow {IB} {\rm{\;}} – \overrightarrow {IC} {\rm{\;}} = \vec 0\):

\(\overrightarrow {IA} {\rm{\;}} + \overrightarrow {IB} {\rm{\;}} – \overrightarrow {IC} {\rm{\;}} = \vec 0{\rm{\;}} \Leftrightarrow \overrightarrow {IA} {\rm{\;}} = \overrightarrow {BC} {\rm{\;}} \Leftrightarrow \left\{ {\begin{array}{*{20}{l}}{ – 3 – {x_I} = 0 – 0}\\{0 – {y_I} = {\rm{\;}} – 3 – 0}\\{0 – {z_I} = 0 – 3}\end{array}} \right. \Leftrightarrow \left\{ {\begin{array}{*{20}{l}}{{x_I} = {\rm{\;}} – 3}\\{{y_I} = 3}\\{{z_I} = 3}\end{array}} \right. \Rightarrow I\left( { – 3;3;3} \right)\)

+) Khi đó, \(M{A^2} + M{B^2} – M{C^2} = {\overrightarrow {MA} ^2} + {\overrightarrow {MB} ^2} – {\overrightarrow {MC} ^2} = {\left( {\overrightarrow {MI} {\rm{\;}} + \overrightarrow {IA} } \right)^2} + {\left( {\overrightarrow {MI} {\rm{\;}} + \overrightarrow {IB} } \right)^2} – {\left( {\overrightarrow {MI} {\rm{\;}} + \overrightarrow {IC} } \right)^2}\)

\( = M{I^2} + 2\overrightarrow {MI} .\left( {\overrightarrow {IA} {\rm{\;}} + \overrightarrow {IB} {\rm{\;}} – \overrightarrow {IC} } \right) + I{A^2} + I{B^2} – I{C^2} = M{I^2} + I{A^2} + I{B^2} – I{C^2}\)

\(M{A^2} + M{B^2} – M{C^2}\) nhỏ nhất khi và chỉ khi MI ngắn nhất\( \Leftrightarrow M\) là hình chiếu vuông góc của I lên \(\left( {Oxy} \right)\).

\( \Leftrightarrow M\left( { – 3;3;0} \right)\)\( \Rightarrow {a^2} + {b^2} – {c^2} = {\left( { – 3} \right)^2} + {3^2} – 0 = 18\).

Chọn A.

Câu 48 (NB):

Cách giải:

Ta có \(y’ = {\rm{\;}} – 3{x^2} + 6x\).

Hàm số đồng biến \(y’ \ge 0 \Leftrightarrow {\rm{\;}} – 3{x^2} + 6x \ge 0 \Leftrightarrow 0 \le x \le 2\).

Chọn A.

Câu 49 (VD):

Phương pháp:

+) Gọi \(I\left( {a;b;c} \right)\) là điểm thỏa mãn \(\overrightarrow {IA} {\rm{\;}} + 2\overrightarrow {IB} {\rm{\;}} = \vec 0\), xác định tọa độ điểm \(I\).

+) Biến đổi biểu thức \(M{A^2} + 2M{B^2}\) bằng cách chèn điểm \(I\).

+) Tìm vị trí của \(M\) trên \(\left( S \right)\) để \(M{A^2} + 2M{B^2}\) đạt giá trị nhỏ nhất và tính.

Cách giải:

Gọi \(I\left( {a;b;c} \right)\) là điểm thỏa mãn \(\overrightarrow {IA} {\rm{\;}} + 2\overrightarrow {IB} {\rm{\;}} = \vec 0\) ta có:

\(\begin{array}{*{20}{l}}{ \Rightarrow \left( { – a; – b;2 – c} \right) + 2\left( {1 – a;1 – b; – c} \right) = 0}\\{ \Leftrightarrow \left\{ {\begin{array}{*{20}{l}}{ – a + 2 – 2a = 0}\\{ – b + 2 – 2b = 0}\\{2 – c – 2c = 0}\end{array}} \right. \Leftrightarrow \left\{ {\begin{array}{*{20}{l}}{a = \dfrac{2}{3}}\\{b = \dfrac{2}{3}}\\{c = \dfrac{2}{3}}\end{array}} \right. \Rightarrow I\left( {\dfrac{2}{3};\dfrac{2}{3};\dfrac{2}{3}} \right)}\end{array}\)

Ta có:

\(\begin{array}{*{20}{l}}{M{A^2} + 2M{B^2} = {{\left( {\overrightarrow {MI}  + \overrightarrow {IA} } \right)}^2} + 2{{\left( {\overrightarrow {MI}  + \overrightarrow {IB} } \right)}^2}}\\{ = M{I^2} + 2\overrightarrow {MI} \overrightarrow {IA}  + I{A^2} + 2M{I^2} + 4\overrightarrow {MI} .\overrightarrow {IB}  + I{B^2}}\\{ = 3M{I^2} + I{A^2} + 2I{B^2} + 2\overrightarrow {MI} \underbrace {\left( {\overrightarrow {IA}  + 2\overrightarrow {IB} } \right)}_{\vec 0} = 3M{I^2} + \underbrace {I{A^2} + 2I{B^2}}_{const}}\end{array}\)

Do \(\left\{ {\begin{array}{*{20}{l}}{I{A^2} = {{\left( {\dfrac{{ – 2}}{3}} \right)}^2} + {{\left( {\dfrac{{ – 2}}{3}} \right)}^2} + {{\left( {2 – \dfrac{2}{3}} \right)}^2} = \dfrac{8}{3}}\\{I{B^2} = {{\left( {1 – \dfrac{2}{3}} \right)}^2} + {{\left( {1 – \dfrac{2}{3}} \right)}^2} + {{\left( {\dfrac{{ – 2}}{3}} \right)}^2} = \dfrac{2}{3}}\end{array}} \right. \Rightarrow I{A^2} + 2I{B^2} = 4\) không đổi \( \Rightarrow {\left( {M{A^2} + 2M{B^2}} \right)_{\min }} \Leftrightarrow M{I_{\min }}\) với \(I\left( {\dfrac{2}{3};\dfrac{2}{3};\dfrac{2}{3}} \right),{\mkern 1mu} {\mkern 1mu} M \in \left( S \right)\).

Ta có \({\left( {\dfrac{2}{3}} \right)^2} + {\left( {\dfrac{2}{3}} \right)^2} + {\left( {\dfrac{2}{3} – 1} \right)^2} = 1 > \dfrac{1}{4} \Rightarrow I\) nằm ngoài \(\left( S \right)\) .

 

Vậy \({\left( {M{A^2} + 2M{B^2}} \right)_{\min }} = 3M{I_{{{\min }^2}}} + 4 = 3.{\left( {\dfrac{1}{2}} \right)^2} + 4 = \dfrac{{19}}{4}\).

Chọn D.

Câu 50 (VD):

Phương pháp:

– Tính y’, giải phương trình \(y’ = 0\) và tìm nghiệm.

– Chứng minh \({\Delta _{y’}} \ge 0{\mkern 1mu} {\mkern 1mu} \forall m\).

– Xét 2 TH:

  + \({\Delta _{y’}} = 0\), suy ra dấu của y’ và kết luận.

  + \({\Delta _{y’}} > 0\), suy ra phương trình có 2 nghiệm phân biệt \({x_1} < {x_2}\). Để hàm số nghịch biến trên \(\left( {1;3} \right)\) thì \(\left( {1;3} \right) \subset \left( {{x_1};{x_2}} \right)\), từ đó tìm \(m\).

Cách giải:

TXĐ: \(D = \mathbb{R}\). Ta có \(y’ = 6{x^2} – 6\left( {m + 1} \right)x + 6m\).

Xét \(y’ = 0 \Leftrightarrow {x^2} – \left( {m + 1} \right)x + m = 0\).

Ta có \(\Delta {\rm{\;}} = {\left( {m + 1} \right)^2} – 4m = {\left( {m – 1} \right)^2} \ge 0{\mkern 1mu} {\mkern 1mu} \forall m\).

+ Với \(m = 1\) ta có \(y’ = 6{x^2} – 12x + 6 = 6{\left( {x – 1} \right)^2} \ge 0{\mkern 1mu} {\mkern 1mu} \forall x \in \left( {1;3} \right)\), do đó hàm số đồng biến trên \(\left( {1;3} \right)\) (loại).

+ Với \(m \ne 1 \Rightarrow \Delta {\rm{\;}} > 0{\mkern 1mu} {\mkern 1mu} \forall m\), suy ra phương trình \(y’ = 0\) có 2 nghiệm phân biệt \(\left[ {\begin{array}{*{20}{l}}{{x_1} = \dfrac{{m + 1 + m – 1}}{2} = m}\\{{x_2} = \dfrac{{m + 1 – m + 1}}{2} = 1}\end{array}} \right.\).

Ta có bảng xét dấu:

 

Dựa vào BXD ta thấy để hàm số nghịch biến trên \(\left( {1;3} \right)\) thì \(y’ \le 0{\mkern 1mu} {\mkern 1mu} \forall x \in \left( {1;3} \right)\) \( \Rightarrow \left( {1;3} \right) \subset \left( {{x_1};{x_2}} \right)\).

\( \Rightarrow \left[ {\begin{array}{*{20}{l}}{\left( {1;3} \right) \subset \left( {1;m} \right)}\\{\left( {1;3} \right) \subset \left( {m;1} \right)}\end{array}} \right. \Leftrightarrow \left[ {\begin{array}{*{20}{l}}{1 \le 1 < 3 \le m}\\{m \le 1 < 3 \le 1{\mkern 1mu} {\mkern 1mu} \left( {Loai} \right)}\end{array}} \right. \Leftrightarrow m \ge 3{\mkern 1mu} {\mkern 1mu} \left( {tm} \right)\).

Vậy \(m \ge 3\).

Chọn D.

Webgiaibaitap.com

TẢI APP ĐỂ XEM OFFLINE

Đề kiểm tra 15 phút

Đề kiểm tra 1 tiết

Đề thi giữa học kì 1

Đề thi học kì 1

Đề thi giữa học kì 2

Đề thi học kì 2

ĐỀ THI THỬ THPT QUỐC GIA MÔN TOÁN