1. Đề thi giữa học kì 2 – Đề số 1

Đề bài

Trắc nghiệm nhiều đáp án
Câu 1 :

 Công thức của định luật Culông là

  • A.
    Vật Lí lớp 11 | Chuyên đề: Lực tương tác tĩnh điện đề: Lý thuyết - Bài tập Vật Lý 11 có đáp án       
  • B.
    Vật Lí lớp 11 | Chuyên đề: Lực tương tác tĩnh điện đề: Lý thuyết - Bài tập Vật Lý 11 có đáp án       
  • C.
    Vật Lí lớp 11 | Chuyên đề: Lực tương tác tĩnh điện đề: Lý thuyết - Bài tập Vật Lý 11 có đáp án       
  • D.
    Vật Lí lớp 11 | Chuyên đề: Lực tương tác tĩnh điện đề: Lý thuyết - Bài tập Vật Lý 11 có đáp án
Câu 2 :

 Đồ thị diễn lực tương tác Culông giữa hai điện tích quan hệ với bình phương khoảng cách giữa hai điện tích là đường:

  • A.
    hypebol.       
  • B.
    thẳng bậc nhất.       
  • C.
    parabol.       
  • D.
    elíp
Câu 3 :

 Điện trường là:

  • A.
    môi trường không khí quanh điện tích.
  • B.
    môi trường chứa các điện tích.
  • C.
    môi trường bao quanh điện tích, gắn với điện tích và tác dụng lực điện lên các điện tích khác đặt trong nó.
  • D.
    môi trường dẫn điện.
Câu 4 :

 Cường độ điện trường tại một điểm đặc trưng cho

  • A.
    thể tích vùng có điện trường là lớn hay nhỏ.
  • B.
    điện trường tại điểm đó về phương diện dự trữ năng lượng.
  • C.
    tác dụng lực của điện trường lên điện tích tại điểm đó.
  • D.
    tốc độ dịch chuyển điện tích tại điểm đó.
Câu 5 :

Hiệu điện thế giữa hai điểm M, N là UMN = 40 V. Chọn câu chắc chắn đúng:

  • A.
    Điện thế ở M là 40 V
  • B.
    Điện thế ở N bằng 0
  • C.
    Điện thế ở M có giá trị dương, ở N có giá trị âm
  • D.
    Điện thế ở M cao hơn điện thế ở N 40 V
Câu 6 :

Thả một ion dương cho chuyển động không vận tốc đầu từ một điểm bất kì trong một điện trường do hai điện tích điểm dương gây ra. Ion đó sẽ chuyển động

  • A.
    dọc theo một đường sức điện.
  • B.
    dọc theo một đường nối hai điện tích điểm.
  • C.
    từ điểm có điện thế cao đến điểm có điện thế thấp.
  • D.
    từ điểm có điện thế thấp đến điểm có điện thế cao.
Câu 7 :

 Nếu điện tích dịch chuyển trong điện trường sao cho thế năng của nó tăng thì công của của lực điện trường

  • A.
    âm.                 
  • B.
    dương.   
  • C.
    bằng không.      
  • D.
    chưa đủ dữ kiện để xác định.
Câu 8 :

 Nếu chiều dài đường đi của điện tích trong điện trường tăng 2 lần thì công của lực điện trường

  • A.
    tăng 2 lần.
  • B.
    giảm 2 lần.                                             
  • C.
    không thay đổi.
  • D.
    chưa đủ dữ kiện để xác định.
Câu 9 :

 Điện thế là đại lượng đặc trưng cho riêng điện trường về

  • A.
    phương diện tạo ra thế năng khi đặt tại đó một điện tích q.
  • B.
    khả năng sinh công của vùng không gian có điện trường.
  • C.
    khả năng sinh công tại một điểm.
  • D.
    khả năng tác dụng lực tại tất cả các điểm trong không gian có điện trường.
Câu 10 :

 Điện thế là đại lượng:

  • A.
    là đại lượng đại số.
  • B.
    là đại lượng vecto.
  • C.
    luôn luôn dương.
  • D.
    luôn luôn âm.
Câu 11 :

 Fara là điện dung của một tụ điện mà

  • A.
    giữa hai bản tụ có hiệu điện thế 1V thì nó tích được điện tích 1 C.
  • B.
    giữa hai bản tụ có một hiệu điện thế không đổi thì nó được tích điện 1 C.
  • C.
    giữa hai bản tụ có điện môi với hằng số điện môi bằng 1.
  • D.
    khoảng cách giữa hai bản tụ là 1 mm.
Câu 12 :

 Cặp số liệu ghi trên vỏ tụ điện cho biết điều gì?

  • A.
    Giá trị nhỏ nhất của điện dung và hiệu điện thế đặt vào hai cực của tụ.
  • B.
    Phân biệt được tên của các loại tụ điện.
  • C.
    Điện dung của tụ và giới hạn của hiệu điện thế đặt vào hai cực của tụ.
  • D.
    Năng lượng của điện trường trong tụ điện.
Trắc nghiệm đúng sai
Câu 1 : Con hãy lựa chọn đáp án Đúng hoặc Sai

Điện trường là môi trường bao quanh điện tích, gắn với điện tích và tác dụng lực điện lên các điện tích khác đặt trong nó.

Đúng

Sai

Câu 2 : Con hãy lựa chọn đáp án Đúng hoặc Sai

Xung quanh một hệ hai điện tích điểm đặt gần nhau chỉ có điện trường do một điện tích gây ra.

Đúng

Sai

Câu 3 : Con hãy lựa chọn đáp án Đúng hoặc Sai

Điện trường tác dụng lực điện lên các điện tích khác đặt trong nó.

Đúng

Sai

Câu 4 : Con hãy lựa chọn đáp án Đúng hoặc Sai

Véctơ cường độ điện trường gây bởi điện tích điểm Q có chiều: hướng ra xa Q nếu Q dương, hướng về phía Q nếu Q âm.

Đúng

Sai

Trắc nghiệm ngắn
Câu 1 :

Hai điện tích điểm đặt trong không khí cách nhau 12 cm, lực tương tác giữa chúng bằng 10 N. Đặt chúng vào trong dầu cách nhau 8 cm thì lực tương tác giữa chúng vẫn bằng 10 N. Hằng số điện môi của dầu là bao nhiêu?

Câu 2 :

Cho hai quả cầu nhỏ trung hòa điện cách nhau 40 cm. Giả sử bằng cách nào đó có 4.1012 electron từ quả cầu này di chuyển sang quả cầu kia. Khi đó chúng hút đầy nhau? Tính độ lớn lực tương tác đó

Câu 3 :

Hai điện tích điểm bằng nhau đặt trong chân không cách nhau một khoảng r1 = 2 cm. Lực đẩy giữa chúng là F1 = 1,6.10-4 N. Để lực tương tác giữa hai điện tích đó bằng F2 = 2,5.10-4 N. Tính khoảng cách giữa hai điện tích khi đó

Câu 4 :

Nếu đặt vào hai đầu tụ một hiệu điện thế 5 V thì tụ tích được một điện lượng 2 μC. Nếu đặt vào hai đầu tụ một hiệu điện thế 10 V thì tụ tích được một điện lượng

Lời giải và đáp án

Trắc nghiệm nhiều đáp án
Câu 1 :

 Công thức của định luật Culông là

  • A.
    Vật Lí lớp 11 | Chuyên đề: Lực tương tác tĩnh điện đề: Lý thuyết - Bài tập Vật Lý 11 có đáp án       
  • B.
    Vật Lí lớp 11 | Chuyên đề: Lực tương tác tĩnh điện đề: Lý thuyết - Bài tập Vật Lý 11 có đáp án       
  • C.
    Vật Lí lớp 11 | Chuyên đề: Lực tương tác tĩnh điện đề: Lý thuyết - Bài tập Vật Lý 11 có đáp án       
  • D.
    Vật Lí lớp 11 | Chuyên đề: Lực tương tác tĩnh điện đề: Lý thuyết - Bài tập Vật Lý 11 có đáp án

Đáp án : C

Lời giải chi tiết :

Chọn C.

Câu 2 :

 Đồ thị diễn lực tương tác Culông giữa hai điện tích quan hệ với bình phương khoảng cách giữa hai điện tích là đường:

  • A.
    hypebol.       
  • B.
    thẳng bậc nhất.       
  • C.
    parabol.       
  • D.
    elíp

Đáp án : A

Lời giải chi tiết :

Chọn A.

Câu 3 :

 Điện trường là:

  • A.
    môi trường không khí quanh điện tích.
  • B.
    môi trường chứa các điện tích.
  • C.
    môi trường bao quanh điện tích, gắn với điện tích và tác dụng lực điện lên các điện tích khác đặt trong nó.
  • D.
    môi trường dẫn điện.

Đáp án : C

Lời giải chi tiết :

Điện trường là môi trường bao quanh điện tích, gắn với điện tích và tác dụng lực điện lên các điện tích khác đặt trong nó.

Đáp án: C

Câu 4 :

 Cường độ điện trường tại một điểm đặc trưng cho

  • A.
    thể tích vùng có điện trường là lớn hay nhỏ.
  • B.
    điện trường tại điểm đó về phương diện dự trữ năng lượng.
  • C.
    tác dụng lực của điện trường lên điện tích tại điểm đó.
  • D.
    tốc độ dịch chuyển điện tích tại điểm đó.

Đáp án : C

Lời giải chi tiết :

Cường độ điện trường tại một điểm đặc trưng cho tác dụng lực của điện trường lên điện tích tại điểm đó.

Đáp án: C

Câu 5 :

Hiệu điện thế giữa hai điểm M, N là UMN = 40 V. Chọn câu chắc chắn đúng:

  • A.
    Điện thế ở M là 40 V
  • B.
    Điện thế ở N bằng 0
  • C.
    Điện thế ở M có giá trị dương, ở N có giá trị âm
  • D.
    Điện thế ở M cao hơn điện thế ở N 40 V

Đáp án : D

Lời giải chi tiết :

Chọn đáp án D

Ta có \({U_{MN}} = {V_M} – {V_N} = 40V\)

⇨ Điện thế tại M cao hơn điện thế tại N 40 V.

Câu 6 :

Thả một ion dương cho chuyển động không vận tốc đầu từ một điểm bất kì trong một điện trường do hai điện tích điểm dương gây ra. Ion đó sẽ chuyển động

  • A.
    dọc theo một đường sức điện.
  • B.
    dọc theo một đường nối hai điện tích điểm.
  • C.
    từ điểm có điện thế cao đến điểm có điện thế thấp.
  • D.
    từ điểm có điện thế thấp đến điểm có điện thế cao.

Đáp án : C

Lời giải chi tiết :

Chọn đáp án C

Cường độ điện trường hướng từ nơi có điện thế cao đến nơi có điện thế thấp. Ion dương nên lực điện cùng chiều với cường độ điện trường.

⇨ Ion dương sẽ chuyển động từ điểm có điện thế cao đến điểm có điện thế thấp.

Câu 7 :

 Nếu điện tích dịch chuyển trong điện trường sao cho thế năng của nó tăng thì công của của lực điện trường

  • A.
    âm.                 
  • B.
    dương.   
  • C.
    bằng không.      
  • D.
    chưa đủ dữ kiện để xác định.

Đáp án : A

Lời giải chi tiết :

Ta có: AMN = WM – WN, thế năng tăng nên WN > WM nên AMN < 0

Nên điện tích dịch chuyển trong điện trường sao cho thế năng của nó tăng thì công của của lực điện trường âm.             

Đáp án:  A.

Câu 8 :

 Nếu chiều dài đường đi của điện tích trong điện trường tăng 2 lần thì công của lực điện trường

  • A.
    tăng 2 lần.
  • B.
    giảm 2 lần.                                             
  • C.
    không thay đổi.
  • D.
    chưa đủ dữ kiện để xác định.

Đáp án : D

Lời giải chi tiết :

A = Fscosα . Nếu chỉ thay đổi chiều dài đường đi của điện tích trong điện trường thì chưa đủ dữ kiện để xác định công của lực điện trường vì điện trường còn phụ thuộc vào lực và góc.

Đáp án:  D.

Câu 9 :

 Điện thế là đại lượng đặc trưng cho riêng điện trường về

  • A.
    phương diện tạo ra thế năng khi đặt tại đó một điện tích q.
  • B.
    khả năng sinh công của vùng không gian có điện trường.
  • C.
    khả năng sinh công tại một điểm.
  • D.
    khả năng tác dụng lực tại tất cả các điểm trong không gian có điện trường.

Đáp án : A

Lời giải chi tiết :

Điện thế tại một điểm trong điện trường là đại lượng đặc trưng riêng cho điện trường về khả năng tạo ra thế năng khi đặt tại đó một điện tích q.

Đáp án A.

Câu 10 :

 Điện thế là đại lượng:

  • A.
    là đại lượng đại số.
  • B.
    là đại lượng vecto.
  • C.
    luôn luôn dương.
  • D.
    luôn luôn âm.

Đáp án : A

Lời giải chi tiết :

A – đúng

B – sai

C, D – sai vì điện thế có âm, có thể dương, có thể bằng 0.

Đáp án A.

Câu 11 :

 Fara là điện dung của một tụ điện mà

  • A.
    giữa hai bản tụ có hiệu điện thế 1V thì nó tích được điện tích 1 C.
  • B.
    giữa hai bản tụ có một hiệu điện thế không đổi thì nó được tích điện 1 C.
  • C.
    giữa hai bản tụ có điện môi với hằng số điện môi bằng 1.
  • D.
    khoảng cách giữa hai bản tụ là 1 mm.

Đáp án : A

Lời giải chi tiết :

Fara là điện dung của một tụ điện mà giữa hai bản tụ có hiệu điện thế 1V thì nó tích được điện tích 1 C.

Đáp án A

Câu 12 :

 Cặp số liệu ghi trên vỏ tụ điện cho biết điều gì?

  • A.
    Giá trị nhỏ nhất của điện dung và hiệu điện thế đặt vào hai cực của tụ.
  • B.
    Phân biệt được tên của các loại tụ điện.
  • C.
    Điện dung của tụ và giới hạn của hiệu điện thế đặt vào hai cực của tụ.
  • D.
    Năng lượng của điện trường trong tụ điện.

Đáp án : C

Lời giải chi tiết :

Cặp số liệu ghi trên vỏ tụ điện cho biết điện dung của tụ và giới hạn của hiệu điện thế đặt vào hai cực của tụ.

Đáp án C.

Trắc nghiệm đúng sai
Câu 1 : Con hãy lựa chọn đáp án Đúng hoặc Sai

Điện trường là môi trường bao quanh điện tích, gắn với điện tích và tác dụng lực điện lên các điện tích khác đặt trong nó.

Đúng

Sai

Đáp án
Đúng

Sai

Phương pháp giải :

Vận dụng lí thuyết điện trường

Lời giải chi tiết :

Điện trường là môi trường bao quanh điện tích, gắn với điện tích và tác dụng lực điện lên các điện tích khác đặt trong nó.

Câu 2 : Con hãy lựa chọn đáp án Đúng hoặc Sai

Xung quanh một hệ hai điện tích điểm đặt gần nhau chỉ có điện trường do một điện tích gây ra.

Đúng

Sai

Đáp án
Đúng

Sai

Phương pháp giải :

Vận dụng lí thuyết điện trường

Lời giải chi tiết :

Xung quanh một hệ hai điện tích điểm đặt gần nhau có điện trường do hai điện tích gây ra

Câu 3 : Con hãy lựa chọn đáp án Đúng hoặc Sai

Điện trường tác dụng lực điện lên các điện tích khác đặt trong nó.

Đúng

Sai

Đáp án
Đúng

Sai

Phương pháp giải :

Vận dụng lí thuyết điện trường

Lời giải chi tiết :

Điện trường tác dụng lực điện lên các điện tích khác đặt trong nó.

Câu 4 : Con hãy lựa chọn đáp án Đúng hoặc Sai

Véctơ cường độ điện trường gây bởi điện tích điểm Q có chiều: hướng ra xa Q nếu Q dương, hướng về phía Q nếu Q âm.

Đúng

Sai

Đáp án
Đúng

Sai

Phương pháp giải :

Vận dụng lí thuyết cường độ điện trường

Lời giải chi tiết :

Véctơ cường độ điện trường gây bởi điện tích điểm Q có chiều: hướng ra xa Q nếu Q dương, hướng về phía Q nếu Q âm.

Trắc nghiệm ngắn
Câu 1 :

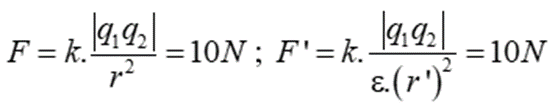
Hai điện tích điểm đặt trong không khí cách nhau 12 cm, lực tương tác giữa chúng bằng 10 N. Đặt chúng vào trong dầu cách nhau 8 cm thì lực tương tác giữa chúng vẫn bằng 10 N. Hằng số điện môi của dầu là bao nhiêu?

Lời giải chi tiết :

Ta có :

Do đó r2 = ε.(r’)2 ⇒ ε = 2,25 . 

Câu 2 :

Cho hai quả cầu nhỏ trung hòa điện cách nhau 40 cm. Giả sử bằng cách nào đó có 4.1012 electron từ quả cầu này di chuyển sang quả cầu kia. Khi đó chúng hút đầy nhau? Tính độ lớn lực tương tác đó

Lời giải chi tiết :

Do có 4.1012 electron từ quả cầu này di chuyển sang quả cầu kia nên 2 quả cầu mang điện tích trái dấu và có |q1| = |q2| = 4.1012.1,6.10-19 = 6,4.10-7.

Khi đó 2 quả cầu hút nhau và 

Câu 3 :

Hai điện tích điểm bằng nhau đặt trong chân không cách nhau một khoảng r1 = 2 cm. Lực đẩy giữa chúng là F1 = 1,6.10-4 N. Để lực tương tác giữa hai điện tích đó bằng F2 = 2,5.10-4 N. Tính khoảng cách giữa hai điện tích khi đó

Lời giải chi tiết :

Độ lớn lực tương tác điện

Để F2 = 2,5.10-4N

⇒ 

Câu 4 :

Nếu đặt vào hai đầu tụ một hiệu điện thế 5 V thì tụ tích được một điện lượng 2 μC. Nếu đặt vào hai đầu tụ một hiệu điện thế 10 V thì tụ tích được một điện lượng

Lời giải chi tiết :

Từ biểu thức \(C = \frac{Q}{U}\)

Ta có \(\frac{{{U_1}}}{{{U_2}}} = \frac{{{Q_1}}}{{{Q_2}}} \Rightarrow {Q_2} = \frac{{{U_2}{Q_1}}}{{{U_1}}} = \frac{{{{10.2.10}^{ – 6}}}}{5}\) = 4.10-6 C = 4 μC.

TẢI APP ĐỂ XEM OFFLINE