Giải bài 3 trang 15 SGK Toán 7 tập 1 – Chân trời sáng tạo

Thay dấu ? bằng dấu (>,<,=) thích hợp.

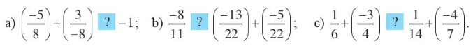
Đề bài

Thay dấu ? bằng dấu (>,<,=) thích hợp.

Video hướng dẫn giải

Phương pháp giải – Xem chi tiết

– Thực hiện phép tính rồi so sánh

– Thay dấu “?” bởi dấu (>,<,=)

Lời giải chi tiết

a)\(\left( {\frac{{ – 5}}{8}} \right) + \left( {\frac{3}{{ – 8}}} \right) = \left( {\frac{{ – 5}}{8}} \right) + \left( {\frac{{ – 3}}{8}} \right) =  – 1\)

Vậy dấu cần điền là “=”.

b)\(\left( {\frac{{ – 13}}{{22}}} \right) + \left( {\frac{{ – 5}}{{22}}} \right) = \frac{{ – 18}}{{22}} = \frac{{ – 9}}{{11}} < \frac{{ – 8}}{{11}}\).

Vậy dấu cần điền là “>”.

c) \(\frac{1}{6} + \left( {\frac{{ – 3}}{4}} \right) = \frac{2}{{12}} + \left( {\frac{{ – 9}}{{12}}} \right) = \frac{{ – 7}}{{12}}\)

   \(\frac{1}{{14}} + \left( {\frac{{ – 4}}{7}} \right) = \frac{1}{{14}} + \left( {\frac{{ – 8}}{{14}}} \right) = \frac{{ – 7}}{{14}}\)

Mà 12 < 14 nên \(\frac{{ 7}}{{12}} > \frac{{ 7}}{{14}}\), do đó \(\frac{{ – 7}}{{12}} < \frac{{ – 7}}{{14}}\)

Vậy dấu cần điền là “<”.

TẢI APP ĐỂ XEM OFFLINE

Toán 7 tập 1 – Chân trời sáng tạo

Toán 7 tập 2 – Chân trời sáng tạo