Câu 19 trang 214 SGK Giải tích 12 Nâng cao

Xác định phần thực của số phức sau:

Lựa chọn câu để xem lời giải nhanh hơn

LG a

Xác định phần thực của số phức \({{z + 1} \over {z – 1}}\) biết rằng |z| = 1 và z ≠ 1

Phương pháp giải:

Xét \(w={{z + 1} \over {z – 1}}\). Sử dụng tính chất: \(w + \overline w  = 2a\) để suy ra phần thực của w.

Lời giải chi tiết:

Ta có:

\(|z| = 1 \Rightarrow z.\overline z  = 1 \Rightarrow \overline z  = {1 \over z}\)

Với \(z ≠ 1\)

Xét \(w={{z + 1} \over {z – 1}}\) ta có:

\(\eqalign{
& w+\overline w={{z + 1} \over {z – 1}} + \overline {({{z + 1} \over {z – 1}})}\cr & = {{z + 1} \over {z – 1}} + {{\overline z + 1} \over {\overline z – 1}} \cr 
& = {{z + 1} \over {z – 1}} + {{{1 \over z} + 1} \over {{1 \over z} – 1}} \cr &= {{z + 1} \over {z – 1}} + {{1 + z} \over {1 – z}} = 0 \cr} \)

Suy ra: \({{z + 1} \over {z – 1}}\) là số ảo nên có phần thực bằng 0.

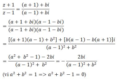
Cách khác:

Giả sử z=a+bi với a2+b2=1 và a+bi ≠ 1.

Suy ra: \({{z + 1} \over {z – 1}}\) là số ảo nên có phần thực bằng 0.

LG b

Chứng minh rằng nếu \({{z + 1} \over {z – 1}}\) là số ảo thì |z| = 1.

Phương pháp giải:

Sử dụng tính chất: Nếu w là số ảo thì \(w + \overline w  = 0\) hay \(w =- \overline w  \)

Lời giải chi tiết:

Xét \(w={{z + 1} \over {z – 1}}\).

Nếu \({{z + 1} \over {z – 1}}\) là số ảo thì

\(w =  – \overline w  \Leftrightarrow \frac{{z + 1}}{{z – 1}} =  – \overline {\left( {\frac{{z + 1}}{{z – 1}}} \right)} \)

\(\eqalign{
& \Leftrightarrow  {{z + 1} \over {z – 1}} = – {{\overline z + 1} \over {\overline z – 1}} \cr 
& \Rightarrow (z + 1)(\overline z – 1) = (\overline z + 1)(1 – z) \cr 
& \Leftrightarrow z.\overline z  + \overline z  – z – 1 = \overline z  + 1 – z.\overline z  – z\cr & \Leftrightarrow 2z\overline z  = 2\cr &\Leftrightarrow  z.\overline z = 1 \cr} \)

\( \Rightarrow \left| z \right|.\left| {\overline z } \right| = 1 \Leftrightarrow {\left| z \right|^2} = 1 \Leftrightarrow \left| z \right| = 1\)

Vậy |z| = 1.

Cách khác:

Theo câu a, ta có: \(\frac{{z – 1}}{{z + 1}} = \frac{{{a^2} + {b^2} – 1}}{{{{\left( {a – 1} \right)}^2} + {b^2}}} – \frac{{2b}}{{{{\left( {a – 1} \right)}^2} + {b^2}}}i\)

Nên (z+1)/(z-1) là số ảo thì a2+b2-1=0 <=> a2+b2=1 <=> |z| = 1 (đpcm)

 Webgiaibaitap.com

TẢI APP ĐỂ XEM OFFLINE

GIẢI TÍCH – TOÁN 12 NÂNG CAO