Bài 75 trang 62 SGK giải tích 12 nâng cao

Cho hàm số: a) Khảo sát sự biến thiên và vẽ đồ thị của hàm số với m = 2. b) Tìm các giá trị của m sao cho đồ thị của hàm số cắt trục hoành tại bốn điểm, tạo thành ba đoạn thẳng có độ dài bằng nhau.

Lựa chọn câu để xem lời giải nhanh hơn

Cho hàm số: \(y = {x^4} – \left( {m + 1} \right){x^2} + m\)

LG a

Khảo sát sự biến thiên và vẽ đồ thị của hàm số với m = 2.

Lời giải chi tiết:

Với \(m=2\) hàm số đã cho có dạng: \(y={x^4} – 3{x^2} + 2\)

Tập xác định: \(D=\mathbb R\)

\(\eqalign{
& y’ = 4{x^3} – 6x \cr 
& y’ = 0 \Leftrightarrow x\left( {4{x^2} – 6} \right) = 0\cr& \Leftrightarrow \left[ \begin{array}{l}x = 0\\{x^2} = \frac{6}{4}\end{array} \right.\cr&\Leftrightarrow \left[ \matrix{x = 0 \hfill \cr x = {{\sqrt 6 } \over 2} \hfill \cr x = – {{\sqrt 6 } \over 2} \hfill \cr} \right. \cr} \)

Hàm số đồng biến trên khoảng: \(\left( { – {{\sqrt 6 } \over 2};0} \right)\) và \(\left( {{{\sqrt 6 } \over 2}; + \infty } \right)\)

Hàm số nghịch biến trên khoảng: \(\left( { – \infty ; – {{\sqrt 6 } \over 2}} \right)\) và \(\left( {0;{{\sqrt 6 } \over 2}} \right)\)

Cực trị:

Hàm số đạt cực đại tại \(x=0;\,\,y(0)=2\)

Hàm số đạt cực tiểu tại \(x = {{\sqrt 6 } \over 2}\) và \(x =  – {{\sqrt 6 } \over 2}\), \(y\left( { \pm {{\sqrt 6 } \over 2}} \right) =  – {1 \over 4}\)

Giới hạn: \(\mathop {\lim }\limits_{x \to  \pm \infty } y =  + \infty \)

Bảng biến thiên:

Đồ thị:

Đồ thị cắt trục tung tại điểm \((0;2)\)

Đồ thị cắt trục hoành tại 4 điểm: \(\left( { – \sqrt 2 ;0} \right),\left( { – 1;0} \right),\) \(\left( {1;0} \right),\left( {\sqrt 2 ;0} \right)\)

Đồ thị hàm số là hàm chẵn nhận trục Oy làm trục đối xứng.

LG b

Tìm các giá trị của m sao cho đồ thị của hàm số cắt trục hoành tại bốn điểm, tạo thành ba đoạn thẳng có độ dài bằng nhau.

Lời giải chi tiết:

Hoành độ giao điểm của đường cong (C) và trục là nghiệm phương trình 

\({x^4} – \left( {m + 1} \right){x^2} + m = 0\,\,\,\left( 1 \right)\)

\(\Leftrightarrow \left[ \matrix{
{x^2} = 1 \hfill \cr 
{x^2} = m \hfill \cr} \right.\)

(1) có 4 nghiệm phân biệt khi và chỉ khi m>0 và \(m \ne 1\)

Khi đó (1) có 4 nghiệm: \(x =  – 1;\,x = 1;\,x =  – \sqrt m ;\,x = \sqrt m \)

* \( – \sqrt m  <  – 1 < 1 < \sqrt m \)

(C) cắt trục tại 4 điểm tạo thành ba đoạn thẳng bằng nhau khi \(\sqrt m  – 1 = 1 – \left( { – 1} \right) = 2 \Leftrightarrow m = 9\)

* \( – 1 <  – \sqrt m  < \sqrt m  < 1\)

(C) cắt trục hoành tại 4 điểm tạo thành ba đoạn thẳng bằng nhau khi \(1 – \sqrt m  = \sqrt m  – \left( { – \sqrt m } \right) = 2\sqrt m \)

Vậy m= 9 hoặc \(m = {1 \over 9}\).

Cách khác:

Đặt t=x2, điều kiện t≥0.

Hoành độ giao điểm của đồ thị và trục hoành là nghiệm của phương trình:

x4-(m+1) x2+m=0 (1)

<=> t2-(m+1)t+m=0 (2)

Đồ thị của hàm số cắt trục tung tại bốn điểm tạo thành 3 đoạn thẳng có độ dai bằng nhau, tức 4 điểm có hoành độ lập thành cấp số cộng.

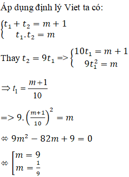
<=> Phương trình (2) có 2 nghiệm dương t1,t2 (với t1 < t2) thõa mãn điều kiện:

\(\begin{array}{l}\sqrt {{t_2}}  – \sqrt {{t_1}}  = \sqrt {{t_1}}  – \left( { – \sqrt {{t_1}} } \right)\\ \Leftrightarrow \sqrt {{t_2}}  = 3\sqrt {{t_1}} \\ \Leftrightarrow {t_2} = 9{t_1}\end{array}\)

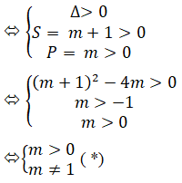
Điều kiện để (2) có 2 nghiệm dương phân biệt là:

Kết hợp với điều kiện (*), vậy với m = 9 hoặc m = 1/9 thì đồ thị của hàm số cắt trục hoành tại 4 điểm, tạo thành 3 đoạn thẳng bằng nhau.

Webgiaibaitap.com

TẢI APP ĐỂ XEM OFFLINE

GIẢI TÍCH – TOÁN 12 NÂNG CAO