Bài 15 trang 17 SGK Đại số và Giải tích 12 Nâng cao

Chứng minh rằng với mọi giá trị của m, hàm số luôn có cực đại và cực tiểu

Đề bài

Chứng minh rằng với mọi giá trị của \(m\), hàm số: \(y = {{{x^2} – m\left( {m + 1} \right)x + {m^3} + 1} \over {x – m}}\) luôn có cực đại và cực tiểu.

Lời giải chi tiết

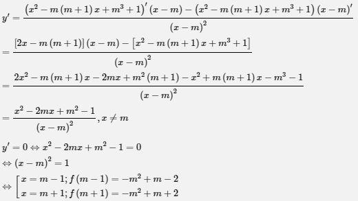
TXĐ: \(D = {\mathbb{R}}\backslash \left\{ m \right\}\)

Với mọi giá trị của \(m\), hàm số đạt cực đại tại điểm \(x=m-1\) và đạt cực tiểu tại điểm \(x=m+1\)

Chú ý:

Ta có thể viết lại hàm số f(x) để tính đạo hàm cho đơn giản như sau:

\(\begin{array}{l}
y = \frac{{{x^2} – m\left( {m + 1} \right)x + {m^3} + 1}}{{x – m}}\\
= \frac{{{x^2} – {m^2}x – mx + {m^3} + 1}}{{x – m}}\\
= \frac{{\left( {{x^2} – mx} \right) – \left( {{m^2}x – {m^3}} \right) + 1}}{{x – m}}\\
= \frac{{x\left( {x – m} \right) – {m^2}\left( {x – m} \right) + 1}}{{x – m}}\\
= \frac{{x\left( {x – m} \right)}}{{x – m}} – \frac{{{m^2}\left( {x – m} \right)}}{{x – m}} + \frac{1}{{x – m}}\\
= x – {m^2} + \frac{1}{{x – m}}\\
y’ = \left( {x – {m^2} + \frac{1}{{x – m}}} \right)’\\
= 1 – 0 – \frac{1}{{{{\left( {x – m} \right)}^2}}}\\
= 1 – \frac{1}{{{{\left( {x – m} \right)}^2}}}\\
y’ = 0 \Leftrightarrow 1 – \frac{1}{{{{\left( {x – m} \right)}^2}}} = 0\\
\Leftrightarrow 1 = \frac{1}{{{{\left( {x – m} \right)}^2}}} \Leftrightarrow {\left( {x – m} \right)^2} = 1\\
\Leftrightarrow \left[ \begin{array}{l}
x – m = 1\\
x – m = – 1
\end{array} \right. \Leftrightarrow \left[ \begin{array}{l}
x = m + 1\\
x = m – 1
\end{array} \right.
\end{array}\)

Webgiaibaitap.com

TẢI APP ĐỂ XEM OFFLINE

GIẢI TÍCH – TOÁN 12 NÂNG CAO