Bài 10 trang 81 SGK Hình học 12 Nâng cao

Cho ba điểm a) Chứng minh A, B, C không thẳng hàng. b) Tính chu vi và diện tích tam giác ABC. c) Tính độ dài đường cao của tam giác ABC kẻ từ đỉnh A. d) Tính các góc của tam giác ABC.

Lựa chọn câu để xem lời giải nhanh hơn

Cho ba điểm \(A\left( {1;0;0} \right)\,;\,B\left( {0;0;1} \right)\,;\,C\left( {2;1;1} \right)\)

LG a

Chứng minh A, B, C không thẳng hàng.

Phương pháp giải:

Kiểm tra \( \overrightarrow {BA} ,\overrightarrow {BC} \) không cùng phương.

Lời giải chi tiết:

Ta có \(\overrightarrow {BA}  = \left( {1;0; – 1} \right),\overrightarrow {BC}  = \left( {2;1;0} \right)\).
Vì \({1 \over 2} \ne {0 \over 1} \Rightarrow \overrightarrow {BA} ,\overrightarrow {BC} \) không cùng phương do đó A, B, C không thẳng hàng.

LG b

Tính chu vi và diện tích tam giác ABC.

Phương pháp giải:

– Tính độ dài các đoạn thẳng AB, BC, CA suy ra chu vi.

– Chứng minh tam giác ABC vuông suy ra diện tích.

Lời giải chi tiết:

Ta có

\(\eqalign{
& AB = \sqrt {{1^2} + {0^2} + {{\left( { – 1} \right)}^2}} = \sqrt 2 \cr 
& BC = \sqrt {{2^2} + {1^2} + {0^2}} = \sqrt 5 \cr 
& AC = \sqrt {{1^2} + {1^2} + {1^2}} = \sqrt 3 \cr} \)

Vậy chu vi tam giác ABC bằng \(\sqrt 2  + \sqrt 3  + \sqrt 5 \).
Ta có \(B{C^2} = A{B^2} + A{C^2} \Rightarrow \Delta ABC \) vuông tại A nên có diện tích \(S = {1 \over 2}AB.AC = {{\sqrt 6 } \over 2}\)

Chú ý:

Có thể tính diện tích theo công thức như sau:

LG c

Tính độ dài đường cao của tam giác ABC kẻ từ đỉnh A.

Phương pháp giải:

Tính chiều cao theo công thức \({h_a} = \frac{{2S}}{a}\)

Lời giải chi tiết:

Gọi \({h_a}\) là độ dài đường cao kẻ từ A ta có: 
\({S_{ABC}} = {1 \over 2}BC.{h_a} \) \(\Rightarrow {h_a} = {{2{S_{ABC}}} \over {BC}} = {{\sqrt 6 } \over {\sqrt 5 }} = {{\sqrt {30} } \over 5}\)

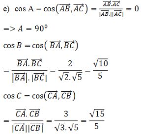
LG d

Tính các góc của tam giác ABC.

Lời giải chi tiết:

Vì tam giác ABC vuông tại A nên:

\(\cos B = {{AB} \over {BC}} = {{\sqrt 2 } \over {\sqrt 5 }} = {{\sqrt {10} } \over 5}\)

\(\cos C = {{AC} \over {BC}} = {{\sqrt 3 } \over {\sqrt 5 }} = {{\sqrt {15} } \over 5}\)

Chú ý:

Có thể tính cosB, cosC theo công thức:

Webgiaibaitap.com

TẢI APP ĐỂ XEM OFFLINE

GIẢI TÍCH – TOÁN 12 NÂNG CAO