Đề bài
Phần 1. Trắc nghiệm (7 điểm)
Câu 1: Một vật đang nằm yên trên mặt đất, lực hấp dẫn do Trái đất tác dụng vào vật có độ lớn
A. lớn hơn trọng lượng của vật. B. nhỏ hơn trọng lượng của vật.
C. bằng trọng lượng của vật. D. bằng 0
Câu 2: Khi lực ép giữa hai mặt tiếp xúc tăng lên thì hệ số ma sát giữa hai mặt tiếp xúc
A. giảm đi B. tăng lên. C. không thay đổi D. không xác định
Câu 3: Có 4 tấm tôn xếp chồng lên nhau. Khối lượng mỗi tấm là 10 kg và hệ số ma sát giữa các tấm là \({\mu _t} = {\mu _n} = 0,2\). Lấy \(g = 10m/{s^2}\). Cần có một lực là bao nhiêu để kéo tấm thứ ba đếm từ trên xuống?
A. 80 N B. 100 N C. 120 N D. 60 N
Câu 4: Một thanh đồng chất có chiều dài L, trọng lượng 200 N, treo một vật có trọng lượng 450 N vào thanh như Hình 21.2. Các lực \(\overrightarrow {{F_1}} ,\overrightarrow {{F_2}} \) của thanh tác dụng lên hai điểm tựa có độ lớn lần lượt là

A. 212 N; 438 N B. 325 N; 325 N. C. 438N; 212 N. D. 487,5 N; 162,5 N.
Câu 5: Cánh tay đòn của lực là
A. khoảng cách từ trục quay đến giá của lực.
B. khoảng cách từ trục quay đến điểm đặt của lực.
C. khoảng cách từ vật đến giá của lực.
D. khoảng cách từ trục quay đến vật.
Câu 6: Lực nào sau đây không thực hiện công khi nó tác dụng vào vật đang chuyển động
A. Trọng lực. B. Lực ma sát. C. Lực hướng tâm. D. Lực hấp dẫn
Câu 7: Một động cơ điện được thiết kế để kéo một thùng than nặng 400kg từ dưới mỏ có độ sâu 200m lên trên mặt đất trong thời gian 2 phút. Hiệu suất của động cơ là 80%. Công suất toàn phần của động cơ là
A. 8,3 kW B. 6,5kW C. 83kW D. 65kW
Câu 8: Đại lượng đặc trưng cho khả năng sinh công của một vật trong một đơn vị thời gian gọi là :
A. Công cơ học. B. Công phát động. C. Công cản. D. Công suất
Câu 9: Đơn vị nào sau đây không phải là đơn vị công suất?
A. J.s. B. W. C. N.m/s. D. HP.
Câu 10: Một chiếc xe mô tô có khối lượng 220 kg đang chạy với tốc độ 14 m/s. Công cần thực hiện để tăng tốc xe lên tốc độ 19 m/s là bao nhiêu?
A. 18150 J. B. 21560 J. C. 39710 J. D. 2750 J.
Câu 11: Một vật trọng lượng 1N có động năng 1J (Lấy g = 10m/s2). Khi đó vận tốc của vật bằng:
A. 0,45m/s. B. 1,0 m/s. C. 1.4 m/s. D. 4,5 m/s.
Câu 12: Cơ năng là một đại lượng
A. luôn luôn dương. B. luôn luôn dương hoặc bằng không.
C. có thể âm dương hoặc bằng không. D. luôn khác không.
Câu 13: Động lượng có đơn vị đo là
A. N.m/s B. kg.m/s C. N.m D. N/s
Câu 14: Một chất điểm chuyển động không vận tốc đầu dưới tác dụng của lực không đổi \(F = 0,1N\). Động lượng của chất điểm ở thời điểm t=3s kể từ lúc bắt đầu chuyển động là
A. 30kg.m/s B. 3kg.m/s C. 0,3kg.m/s D. 0,03kg.m/s
Câu 15: Tìm câu sai khi nói về động lượng:
A. Động lượng có đơn vị là: kg.m/s2
B. Động lượng là một đại lượng véc tơ
C. Động lượng được xác định bằng tích khối lượng của vật và véc tơ vận tốc của vật
D. Đối với một hệ kín thì động lượng của hệ được bảo toàn
Câu 16: Một viên đạn đang bay với vận tốc 10m/s thì nổ thành hai mảnh. Mảnh thứ nhất, chiếm 60% khối lượng của viên đạn và tiếp tục bay theo hướng cũ với vận tốc 25m/s. Tốc độ và hướng chuyển động của mảnh thứ hai là
A. 12,5m/s; theo hướng viên đạn ban đầu.
B. 12,5m/s; ngược hướng viên đạn ban đầu.
C. 6,25m/s; theo hướng viên đạn ban đầu.
D. 6,25m/s; ngược hướng viên đạn ban đầu.
Câu 17: Một đầu đạn khối lượng 10g được bắn ra khỏi nòng của một khẩu súng khối lượng 5kg với vận tốc 600m/s. Nếu bỏ qua khối lượng của đầu đạn thì vận tốc giật của súng là
A. 1,2cm/s. B. 1,2m/s. C. 12cm/s. D. 12m/s.
Câu 18: Trên mặt một chiếc đồng hồ treo tường, kim giờ dài 10 cm, kim phút dài 15 cm. Tốc độ góc của kim giờ và kim phút là :
A.\(1,{52.10^{ – 4}}\)rad/s; \(1,{82.10^{ – 3}}\)rad/s B. \(1,{45.10^{ – 4}}\)rad/s; \(1,{74.10^{ – 3}}\)rad/s
C. \(1,{54.10^{ – 4}}\)rad/s; \(1,{91.10^{ – 3}}\)rad/s D. \(1,{48.10^{ – 4}}\)rad/s; \(1,{78.10^{ – 3}}\)rad/s
Câu 19: Câu nào sau đây nói về gia tốc trong chuyển động tròn đều là sai?
A. Vectơ gia tốc luôn hướng vào tâm quỹ đạo.
B. Độ lớn của gia tốc \(a = \frac{{{v^2}}}{R}\), với v là tốc độ, R là bán kính quỹ đạo.
C. Gia tốc đặc trưng cho sự biến thiên về độ lớn của vận tốc.
D. Vectơ gia tốc luôn vuông góc với vectơ vận tốc ở mọi thời điểm.
Câu 20: Một vật chuyển động theo đường tròn bán kính r=10cm với gia tốc hướng tâm 4
cm/s2. Chu kỳ T của chuyển động vật đó là
A.8π s B. 6π s C. 12π s D. 10π s
Câu 21: Chọn phát biểu đúng. Trong các chuyển động tròn đều
A. chuyển động nào có chu kỳ quay nhỏ hơn thì tốc độ quay nhỏ hơn.
B. chuyển động nào có chu kỳ quay lớn hơn thì tốc độ quay lớn hơn.
C. chuyển động nào có tần số lớn hơn thì có chu kỳ quay nhỏ hơn.
D. chuyển động nào có bán kính nhỏ hơn thì có tốc độ quay nhỏ hơn.
Câu 22: Hai điểm ? và ? trên cùng một bán kính của một vô lăng đang quay đều, cách nhau 20cm. Điểm ? ở phía ngoài có tốc độ\({v_A} = 0,6\)m/s, còn điểm B có \({v_B} = 0,2\)m/s. Tốc độ góc của vô lăng và khoảng cách từ điểm B đến trục quay là
A. 2 rad/s, 10 cm B. 2 rad/s; 30 cm.
C. 4 rad/s; 20 cm. D. 4 rad/s; 40 cm.
Câu 23: Sự so sánh nào sau đây về áp suất của các chất trong bình tác dụng lên đáy bình là đúng
A.\({p_1} = {p_2} = {p_3} = {p_4}\) B. \({p_4} > {p_1} > {p_2} > {p_3}\)
C. \({p_1} > {p_4} > {p_2} = {p_3}\) D. \({p_1} > {p_2} > {p_3} > {p_4}\)
Câu 24: Trong thí nghiệm vẽ ở Hình 34.2, ban đầu cân thăng bằng. Sau đó nhúng đồng thời cả hai vật chìm trong nước ở hai bình khác nhau. Phương án nào sau đây là đúng?

A. Cân nghiêng về bên trái.
B. Cân nghiêng về bên phải.
C. Cân vẫn thăng bằng.
D. Chưa xác định được vì chưa biết độ sâu của nước trong các bình.
Câu 25: Một lò xo có một đầu cố định, còn đầu kia chịu một lực kéo bằng 5N thì lò xo giãn 8cm. Độ cứng của lò xo là
A. 1,5N/m B. 120N/m. C. 62,5N/m. D. 15N/m
Câu 26: Muốn lò xo có độ cứng k = 100 N/m dãn ra một đoạn 5 cm ta phải treo vào lò xo một vật có khối lượng bằng bao nhiêu ? Lấy g = 10 m/s2.
A. 0,5 kg B. 50 g C. 50 kg D. 5 kg
Câu 27: Một lò xo có độ cứng là 60 N/m. Nếu cắt lò xo ra làm 3 phần bằng nhau rồi mắc song song gần nhau có hai đầu chung. Độ cứng của hệ là
A. 60 N B. 20 N C. 540 N D. 180 N
Câu 28: Một vật trượt không vận tốc đầu từ đỉnh một dốc nghiêng dài 10 m, cao 4 m. Bỏ qua ma sát. Lấy g = 10 m/s2. Sau bao lâu vật đến chân dốc?
A. \(\sqrt 2 \) s B. \(\sqrt 5 \)s C. 5,0 s D. 1,5 s
Phần 2: Tự luận (3 điểm)
Câu 1: Một con lắc như hình vẽ, l=1m, bi A nặng m=100g. Kéo con lắc lệch góc αm=300 rồi buông tay ra. Bỏ qua mọi ma sát, cho g=9,8m/s2.

a.Tìm vận tốc của bi A tại vị trí cân bằng.
b. Khi qua vị trí cân bằng, bi A va chạm đàn hồi với bi B (bi B có khối lượng m1=50g) đang đứng yên ở mép bàn. Tìm vận tốc của hai bi A, B ngay sau va chạm và góc lệch cực đại αm của con lắc A sau va chạm.
c. Bàn cao BO=0,8m so với sàn nhà. Mô tả chuyển động của B sau va chạm. Tìm thời gian bay, tầm bay xa, vận tốc của bi B khi chạm sàn.
Câu 2: Một vật khối lượng m = 200 g chuyển động tròn đều trên một quỹ đạo có bán kính 1m. Biết một phút vật quay được 120 vòng. Tính độ lớn lực hướng tâm gây ra chuyển động tròn của vật.
Đáp án
Đáp án và lời giải chi tiết

Phần 1. Trắc nghiệm (7 điểm)
Câu 1:
|
Một vật đang nằm yên trên mặt đất, lực hấp dẫn do Trái đất tác dụng vào vật có độ lớn
A. lớn hơn trọng lượng của vật. B. nhỏ hơn trọng lượng của vật.
C. bằng trọng lượng của vật. D. bằng 0
|
Phương pháp giải
Một vật đang nằm yên trên mặt đất, lực hấp dẫn do Trái đất tác dụng vào vật có độ lớn bằng trọng lượng của vật
Lời giải chi tiết
Đáp án C
Câu 2:
|
Khi lực ép giữa hai mặt tiếp xúc tăng lên thì hệ số ma sát giữa hai mặt tiếp xúc
A. giảm đi B. tăng lên. C. không thay đổi D. không xác định
|
Phương pháp giải
Khi lực ép giữa hai mặt tiếp xúc tăng lên thì hệ số ma sát giữa hai mặt tiếp xúc tăng lên
Lời giải chi tiết
Đáp án B
Câu 3:
|
Có 4 tấm tôn xếp chồng lên nhau. Khối lượng mỗi tấm là 10 kg và hệ số ma sát giữa các tấm là \({\mu _t} = {\mu _n} = 0,2\). Lấy \(g = 10m/{s^2}\). Cần có một lực là bao nhiêu để kéo tấm thứ ba đếm từ trên xuống?
A. 80 N B. 100 N C. 120 N D. 60 N
|
Phương pháp giải
Khi kéo tấm thứ 3, lực tác dụng dùng để thắng ma sát của cả 2 mặt: mặt trên (gây áp lực bởi 2 tấm), mặt dưới (gây áp lực bởi 2 tấm) là
\({F_k} = {F_{mst2}} + {F_{mst3}} = \mu g({m_{12}} + {m_{34}}) = \mu g({m_1} + {m_2} + {m_3} + {m_4}) = 0,2.10.(10 + 10 + 10 + 10) = 80N\)
Lời giải chi tiết
Đáp án A
Câu 4:
|
Một thanh đồng chất có chiều dài L, trọng lượng 200 N, treo một vật có trọng lượng 450 N vào thanh như Hình 21.2. Các lực \(\overrightarrow {{F_1}} ,\overrightarrow {{F_2}} \) của thanh tác dụng lên hai điểm tựa có độ lớn lần lượt là
A. 212 N; 438 N B. 325 N; 325 N. C. 438N; 212 N. D. 487,5 N; 162,5 N.
|
Phương pháp giải
Các lực thành phần theo phương Oy cân bằng nhau như hình
\({F_1} + {F_2} – 200 – 450 = 0\)
Áp dụng quy tắc moment lực đối với trục quay tại A:
\(\frac{L}{2}.200.\sin 90^\circ + \frac{{3L}}{4}.450.\sin 90^\circ = L{F_2}.\sin 90^\circ \)
\( \Rightarrow {F_1} = 212N,{F_2} = 438N\)
Lời giải chi tiết
Đáp án A
Câu 5:
|
Cánh tay đòn của lực là
A. khoảng cách từ trục quay đến giá của lực.
B. khoảng cách từ trục quay đến điểm đặt của lực.
C. khoảng cách từ vật đến giá của lực.
D. khoảng cách từ trục quay đến vật.
|
Phương pháp giải
Cánh tay đòn của lực là khoảng cách từ trục quay đến giá của lực
Lời giải chi tiết
Đáp án A
Câu 6:
|
Lực nào sau đây không thực hiện công khi nó tác dụng vào vật đang chuyển động
A. Trọng lực. B. Lực ma sát. C. Lực hướng tâm. D. Lực hấp dẫn
|
Phương pháp giải
Trọng lực không thực hiện công khi nó tác dụng vào vật đang chuyển động
Lời giải chi tiết
Đáp án A
Câu 7:
|
Một động cơ điện được thiết kế để kéo một thùng than nặng 400kg từ dưới mỏ có độ sâu 200m lên trên mặt đất trong thời gian 2 phút. Hiệu suất của động cơ là 80%. Công suất toàn phần của động cơ là
A. 8,3 kW B. 6,5kW C. 83kW D. 65kW
|
Phương pháp giải
\(H = \frac{{{\wp _i}}}{{{\wp _{tp}}}} = \frac{{\frac{{{A_i}}}{t}}}{{{\wp _{tp}}}} = \frac{{\frac{{P.h}}{t}}}{{{\wp _{tp}}}} = \frac{{\frac{{mgh}}{t}}}{{{\wp _{tp}}}} = \frac{{\frac{{400.10.200}}{{120}}}}{{{\wp _{tp}}}} = \frac{{20000}}{{3{\wp _{tp}}}} = 80\% \Rightarrow {\wp _{tp}} = \frac{{{\wp _i}}}{{0,8}} = 8333W = 8,3kW\)
Lời giải chi tiết
Đáp án A
Câu 8:
|
Đại lượng đặc trưng cho khả năng sinh công của một vật trong một đơn vị thời gian gọi là :
A. Công cơ học. B. Công phát động. C. Công cản. D. Công suất
|
Phương pháp giải
Đại lượng đặc trưng cho khả năng sinh công của một vật trong một đơn vị thời gian gọi là công suất
Lời giải chi tiết
Đáp án D
Câu 9:
|
Đơn vị nào sau đây không phải là đơn vị công suất?
A. J.s. B. W. C. N.m/s. D. HP.
|
Phương pháp giải
J.s không phải là đơn vị công suất
Lời giải chi tiết
Đáp án A
Câu 10:
|
Một chiếc xe mô tô có khối lượng 220 kg đang chạy với tốc độ 14 m/s. Công cần thực hiện để tăng tốc xe lên tốc độ 19 m/s là bao nhiêu?
A. 18150 J. B. 21560 J. C. 39710 J. D. 2750 J.
|
Phương pháp giải
\(A = {W_{d2}} – {W_{d1}} = \frac{1}{2}m(v_2^2 – v_1^2) = \frac{1}{2}.220.({19^2} – {14^2}) = 18150J\)
Lời giải chi tiết
Đáp án A
Câu 11:
|
Một vật trọng lượng 1 N có động năng 1 J (Lấy g = 10m/s2). Khi đó vận tốc của vật bằng:
A. 0,45m/s. B. 1,0 m/s. C. 1.4 m/s. D. 4,5 m/s.
|
Phương pháp giải
\(P = mg \Rightarrow m = \frac{P}{g} = \frac{1}{{10}} = 0,1kg\)
\({W_d} = \frac{1}{2}m{v^2} \Rightarrow v = \sqrt {\frac{{2{W_d}}}{m}} = \sqrt {\frac{{2.1}}{{0,1}}} = 4,5m/s\)
Lời giải chi tiết
Đáp án D
Câu 12:
|
Cơ năng là một đại lượng
A. luôn luôn dương. B. luôn luôn dương hoặc bằng không.
C. có thể âm dương hoặc bằng không. D. luôn khác không.
|
Phương pháp giải
Cơ năng là một đại lượng luôn luôn dương hoặc bằng không
Lời giải chi tiết
Đáp án B
Câu 13:
|
Động lượng có đơn vị đo là
A. N.m/s B. kg.m/s C. N.m D. N/s
|
Phương pháp giải
Động lượng có đơn vị đo là kg.m/s
Lời giải chi tiết
Đáp án B
Câu 14:
|
Một chất điểm chuyển động không vận tốc đầu dưới tác dụng của lực không đổi \(F = 0,1N\). Động lượng của chất điểm ở thời điểm t=3s kể từ lúc bắt đầu chuyển động là
A. 30kg.m/s B. 3kg.m/s C. 0,3kg.m/s D. 0,03kg.m/s
|
Phương pháp giải
\(\Delta p = {p_2} – {p_1} = F.\Delta t \Leftrightarrow \Delta p = {p_2} = F.\Delta t = 0,1.3 = 0,3kg.m/s\)
Lời giải chi tiết
Đáp án C
Câu 15:
|
Tìm câu sai khi nói về động lượng:
A. Động lượng có đơn vị là: kg.m/s2
B. Động lượng là một đại lượng véc tơ
C. Động lượng được xác định bằng tích khối lượng của vật và véc tơ vận tốc của vật
D. Đối với một hệ kín thì động lượng của hệ được bảo toàn
|
Phương pháp giải
Động lượng có đơn vị là: kg.m/s
Lời giải chi tiết
Đáp án A
Câu 16:
|
Một viên đạn đang bay với vận tốc 10m/s thì nổ thành hai mảnh. Mảnh thứ nhất, chiếm 60% khối lượng của viên đạn và tiếp tục bay theo hướng cũ với vận tốc 25m/s. Tốc độ và hướng chuyển động của mảnh thứ hai là
A. 12,5m/s; theo hướng viên đạn ban đầu.
B. 12,5m/s; ngược hướng viên đạn ban đầu.
C. 6,25m/s; theo hướng viên đạn ban đầu.
D. 6,25m/s; ngược hướng viên đạn ban đầu.
|
Phương pháp giải
Hệ viên đạn (hai mảnh đạn) ngay khi nổ là một hệ kín nên động lượng của hệ được bảo toàn: \(m\overrightarrow v = {m_1}\overrightarrow {{v_1}} + (m – {m_1})\overrightarrow {{v_2}} \)
Do: \(\overrightarrow {{v_1}} \uparrow \uparrow \overrightarrow v \Rightarrow {v_2} = \frac{{mv – {m_1}{v_1}}}{{m – {m_1}}} = \frac{{(10 – 25.0,6)m}}{{(1 – 0,6)m}} = – 12,5m/s\)
Dấu “-“ chứng tỏ mảnh đạn thứ hai sẽ chuyển động ngược chiều chuyển động ban đầu của viên đạn và mảnh đạn thứ nhất.
Lời giải chi tiết
Đáp án B
Câu 17:
|
Một đầu đạn khối lượng 10g được bắn ra khỏi nòng của một khẩu súng khối lượng 5kg với vận tốc 600m/s. Nếu bỏ qua khối lượng của đầu đạn thỉ vận tốc giật của súng là
A. 1,2cm/s. B. 1,2m/s. C. 12cm/s. D. 12m/s.
|
Phương pháp giải
Chọn chiều (+) là chiều chuyển động của viên đạn.
Áp dụng định luật bảo toàn động lượng:
\(\overrightarrow {{p_t}} = {m_1}\overrightarrow {{v_1}} + {m_2}\overrightarrow {{v_2}} = \overrightarrow 0 \)
Vì: \(\overrightarrow {{v_1}} \uparrow \downarrow \overrightarrow {{v_2}} \Rightarrow {m_1}{v_1} – {m_2}{v_2} = 0 \Rightarrow {v_2} = 1,2m/s\)
Lời giải chi tiết
Đáp án B
Câu 18:
|
Trên mặt một chiếc đồng hồ treo tường, kim giờ dài 10 cm, kim phút dài 15 cm. Tốc độ góc của kim giờ và kim phút là :
A.\(1,{52.10^{ – 4}}\)rad/s; \(1,{82.10^{ – 3}}\)rad/s B. \(1,{45.10^{ – 4}}\)rad/s; \(1,{74.10^{ – 3}}\)rad/s
C. \(1,{54.10^{ – 4}}\)rad/s; \(1,{91.10^{ – 3}}\)rad/s D. \(1,{48.10^{ – 4}}\)rad/s; \(1,{78.10^{ – 3}}\)rad/s
|
Phương pháp giải
Bán kính quỹ đạo kim phút: Rp= 10 cm = 0,1 m.
Kim phút quay 1 vòng được 1h nên chu kì quay tròn của điểm đầu kim phút là:
Tp= 1h = 3600 s
Tốc độ góc của kim phút là:

Kim giờ quay 1 vòng mất 12 giờ nên chu kì của điểm đầu kim giờ là:

Tốc độ góc của kim giờ là 
Lời giải chi tiết
Đáp án B
Câu 19:
|
Câu nào sau đây nói về gia tốc trong chuyển động tròn đều là sai?
A. Vectơ gia tốc luôn hướng vào tâm quỹ đạo.
B. Độ lớn của gia tốc \(a = \frac{{{v^2}}}{R}\), với v là tốc độ, R là bán kính quỹ đạo.
C. Gia tốc đặc trưng cho sự biến thiên về độ lớn của vận tốc.
D. Vectơ gia tốc luôn vuông góc với vectơ vận tốc ở mọi thời điểm.
|
Phương pháp giải
Gia tốc đặc trưng cho sự biến thiên về độ lớn của vận tốc là sai
Lời giải chi tiết
Đáp án C
Câu 20:
|
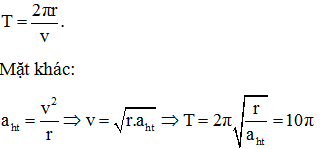
Một vật chuyển động theo đường tròn bán kính r=10cm với gia tốc hướng tâm 4
cm/s2. Chu kỳ T của chuyển động vật đó là
A.8π s B. 6π s C. 12π s D. 10π s
|
Phương pháp giải

Lời giải chi tiết
Đáp án D
Câu 21:
|
Chọn phát biểu đúng. Trong các chuyển động tròn đều
A. chuyển động nào có chu kỳ quay nhỏ hơn thì tốc độ quay nhỏ hơn.
B. chuyển động nào có chu kỳ quay lớn hơn thì tốc độ quay lớn hơn.
C. chuyển động nào có tần số lớn hơn thì có chu kỳ quay nhỏ hơn.
D. chuyển động nào có bán kính nhỏ hơn thì có tốc độ quay nhỏ hơn.
|
Phương pháp giải
Trong các chuyển động tròn đều chuyển động nào có tần số lớn hơn thì có chu kỳ quay nhỏ hơn
Lời giải chi tiết
Đáp án C
Câu 22:
|
Hai điểm ? và ? trên cùng một bán kính của một vô lăng đang quay đều, cách nhau 20cm. Điểm ? ở phía ngoài có tốc độ\({v_A} = 0,6\)m/s, còn điểm B có \({v_B} = 0,2\)m/s. Tốc độ góc của vô lăng và khoảng cách từ điểm B đến trục quay là
A. 2 rad/s, 10 cm B. 2 rad/s; 30 cm.
C. 4 rad/s; 20 cm. D. 4 rad/s; 40 cm.
|
Phương pháp giải
Tại điểm A
ω = v/r = 0,6/r (1)
Tại điểm B
ω = v/(r-0,2) = 0,2/(r-0,2) (2)
=> Từ (1) và (2) suy ra:
0,6/r= 0,2/(r-0,2)
=> 0,6 (r-0,2)= 0,2.r
=> 0,6r-0,12 =0,2r
=> 0,4r= 0,12
=> r= 0,3 (m)
=> ω = v/r= 0,6/0,3= 2 (rad/s)
Lời giải chi tiết
Đáp án B
Câu 23:
|
Sự so sánh nào sau đây về áp suất của các chất trong bình tác dụng lên đáy bình là đúng
A.\({p_1} = {p_2} = {p_3} = {p_4}\) B. \({p_4} > {p_1} > {p_2} > {p_3}\)
C. \({p_1} > {p_4} > {p_2} = {p_3}\) D. \({p_1} > {p_2} > {p_3} > {p_4}\)
|
Phương pháp giải
\({p_1} > {p_4} > {p_2} = {p_3}\) vì
Lời giải chi tiết
Đáp án C
Câu 24:
|
Trong thí nghiệm vẽ ở Hình 34.2, ban đầu cân thăng bằng. Sau đó nhúng đồng thời cả hai vật chìm trong nước ở hai bình khác nhau. Phương án nào sau đây là đúng?
A. Cân nghiêng về bên trái.
B. Cân nghiêng về bên phải.
C. Cân vẫn thăng bằng.
D. Chưa xác định được vì chưa biết độ sâu của nước trong các bình.
|
Phương pháp giải
Ban đầu cân thăng bằng chứng tỏ khối lượng chúng bằng nhau. Trọng lượng của khối sứ và khối sắt bằng nhau.
Do khối lượng riêng của khối sắt lớn hơn khối lượng riêng của khối sứ nên thể tích của sứ lớn hơn thể tích của sắt.
Khi nhúng chìm cả 2 vật vào nước thì khối sứ sẽ chiếm thể tích của nước nhiều hơn.
Lực đẩy Ác – si – mét của nước tác dụng lên khối sứ lớn hơn lực đẩy Ác – si – mét của nước tác dụng lên khối sắt.
Khi đó hợp lực tác dụng lên khối sứ lớn hơn hợp lực tác dụng lên khối sắt. Hai hợp lực này có phương thẳng đứng, chiều hướng lên. Nên khối sứ bị đẩy lên cao hơn, khi đó thanh sẽ nghiêng về bên phải.
Lời giải chi tiết
Đáp án B
Câu 25:
|
Một lò xo có một đầu cố định, còn đầu kia chịu một lực kéo bằng 5 ? thì lò xo giãn 8cm. Độ cứng của lò xo là
A. 1,5N/m B. 120N/m. C. 62,5N/m. D. 15N/m
|
Phương pháp giải
\(k = \frac{F}{{\Delta l}} = \frac{5}{{0,08}} = 62,5N/m\)
Lời giải chi tiết
Đáp án C
Câu 26:
|
Muốn lò xo có độ cứng k = 100 N/m dãn ra một đoạn 5 cm ta phải treo vào lò xo một vật có khối lượng bằng bao nhiêu ? Lấy g = 10 m/s2.
A. 0,5 kg B. 50 g C. 50 kg D. 5 kg
|
Phương pháp giải
\(k.\Delta l = mg \Rightarrow m = \frac{{k.\Delta l}}{g} = \frac{{100.0,05}}{{10}} = 0,5kg\)
Lời giải chi tiết
Đáp án A
Câu 27:
|
Một lò xo có độ cứng là 60 N/m. Nếu cắt lò xo ra làm 3 phần bằng nhau rồi mắc song song gần nhau có hai đầu chung. Độ cứng của hệ là
A. 60 N B. 20 N C. 540 N D. 180 N
|
Phương pháp giải
k’=3k=3.60=180N/m
Lời giải chi tiết
Đáp án D
Câu 28:
|
Một vật trượt không vận tốc đầu từ đỉnh một dốc nghiêng dài 10 m, cao 4 m. Bỏ qua ma sát. Lấy g = 10 m/s2. Sau bao lâu vật đến chân dốc?
A. \(\sqrt 2 \) s B. \(\sqrt 5 \)s C. 5,0 s D. 1,5 s
|
Phương pháp giải
\(\sin \alpha = \frac{h}{l} = \frac{2}{5} \Rightarrow a = g.\sin \alpha = 10.\frac{2}{5} = 4m/{s^2}\)
\(s = \frac{1}{2}a{t^2} \Rightarrow t = \sqrt {\frac{{2s}}{a}} = \sqrt {\frac{{2.10}}{4}} = \sqrt 5 s\)
Lời giải chi tiết
Đáp án B
Phần 2: Tự luận (3 điểm)
Câu 1:
|
Một con lắc như hình vẽ, l=1m, bi A nặng m=100g. Kéo con lắc lệch góc αm=300 rồi buông tay ra. Bỏ qua mọi ma sát, cho g=9,8m/s2.

a.Tìm vận tốc của bi A tại vị trí cân bằng.
b. Khi qua vị trí cân bằng, bi A va chạm đàn hồi với bi B (bi B có khối lượng m1=50g) đang đứng yên ở mép bàn. Tìm vận tốc của hai bi A, B ngay sau va chạm và góc lệch cực đại αm của con lắc A sau va chạm.
c. Bàn cao BO=0,8m so với sàn nhà. Mô tả chuyển động của B sau va chạm. Tìm thời gian bay, tầm bay xa, vận tốc của bi B khi chạm sàn.
|
Câu 2:
|
Một vật khối lượng m = 200 g chuyển động tròn đều trên một quỹ đạo có bán kính 1m. Biết một phút vật quay được 120 vòng. Tính độ lớn lực hướng tâm gây ra chuyển động tròn của vật.
|
Phương pháp giải
Tốc độ góc: 
Áp dụng công thức lực hướng tâm: 