8. Bài 40: Bảng nhân 5 (tiết 1)

Số? Nối (theo mẫu). Mỗi đèn ông sao có 5 cánh. Hỏi 4 đèn ông sao như vậy có bao nhiêu cánh?

Lựa chọn câu để xem lời giải nhanh hơn

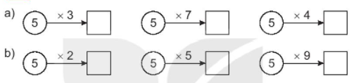
Bài 1

Số?

Phương pháp giải:

Tính nhẩm kết quả phép tính dựa vào bảng nhân 5.

Lời giải chi tiết:

Bài 2

Nối (theo mẫu)

Phương pháp giải:

Nối mỗi cái đĩa với chiếc cốc ghi kết quả phéo nhân thích hợp.

Lời giải chi tiết:

Câu 3

Số?

Phương pháp giải:

Số cánh của 4 đèn ông sao = Số cánh của mỗi đèn ông sao x 4

Lời giải chi tiết:

Số cánh của 4 đèn ông sao là:

5 x 4 = 20 (cánh)

Đáp số: 20 cánh

 

Webgiaibaitap.com

Các bài khác cùng chuyên mục

TẢI APP ĐỂ XEM OFFLINE

Vở bài tập Toán 2 tập 1 – Kết nối tri thức với cuộc sống

Vở bài tập Toán 2 tập 2 – Kết nối tri thức với cuộc sống