6. Đề thi học kì 1 – Đề số 5

Đề bài

I. Trắc nghiệm
Chọn đáp án đúng
Câu 1 :

Tính chất nào sau đây không phải tính chất vật lí của sulfur?

  • A.
    Màu vàng ở điều kiện thường.            
  • B.
    Thể rắn ở điều kiện thường.
  • C.
    Không tan trong benzene.                  
  • D.
    Không tan trong nước.
Câu 2 :

Tính chất hóa học cơ bản của đơn chất sulfur là

  • A.
    Khử mạnh.                                                 
  • B.
    Oxi hóa mạnh.
  • C.
    Vừa có tính khử vừa có tính oxi hóa.        
  • D.
    Trơ về mặt hóa học.
Câu 3 :

Số oxi hóa của sulfur trong phân tử SO2 là

  • A.
    + 4.                           
  • B.
    – 2.                     
  • C.
    + 6.                  
  • D.
    0.
Câu 4 :

Để chứng minh SO2 là một oxide acid, người ta cho SO2 phản ứng với chất nào sau đây?

  • A.
     Dung dịch bromine.                            
  • B.
     Dung dịch kiềm.
  • C.
     Dung dịch KMnO4.                             
  • D.
     Dung dịch sulfuric acid.
Câu 5 :

Cho 0,96g Cu phản ứng hoàn toàn với dung dịch H2SO4 đặc, nóng, dư thu được V lít khí SO2 (đkc, sản phẩm khử duy nhất). Giá trị của V là

  • A.
    0,37185 lít.                  
  • B.
    1,1156 lít.                
  • C.
    0,7437 lít.            
  • D.
    0,1853 lít.
Câu 6 :

Trong công nghiệp người ta điều chế H2SO4 từ quặng pirit sắt có thành phần chính là FeS2 theo sơ đồ sau FeS2 → SO2 → SO3 → H2SO4. Biết hiệu của cả quá trình là 80%.  Khối lượng H2SO4 98% điều chế được từ 1 tấn quặng chứa 60% FeS2 là 

  • A.
    0,4 tấn.                  
  • B.
    0,384 tấn.                       
  • C.
    0,6 tấn.                      
  • D.
    0,45 tấn.
Câu 7 :

Cho các chất: CaC2, CO2, HCOOH, C2H6O, CH3COOH, CH3Cl, NaCN, K2CO3.Số hợp chất hữu cơ trong các chất trên là bao nhiêu ?

  • A.

    4

  • B.

    5

  • C.

    3

  • D.

    2

Câu 8 :

Có bao nhiêu chất thuộc loại hydrocarbon trong dãy sau : (1) CH2=CH-Cl; (2) CH3-CH(CH3)2; (3) HCHO; (4) C2H5Br; (5) CH3COOH; (6) C6H6 ?

  • A.

    4

  • B.

    3

  • C.

    2

  • D.

    1

Câu 9 :

Hợp chất hữu cơ nào sau đây thể hiện tính chất hóa học đặc trưng của nhóm chức của carboxylic acid ?

  • A.

    C17H33COOH.

  • B.

    CH3COONa.

  • C.

    HCOOCH3.

  • D.

    CH2=CH-CHO.

Câu 10 :

Một hợp chất hữu cơ X chứa đồng thời hai nhóm chức alcohol và ketone. Khi đó, hợp chất X sẽ

  • A.

    chỉ thể hiện các tính chất hoá học đặc trưng của alcohol.

  • B.

    chỉ thể hiện các tính chất hoá học đặc trưng của ketone

  • C.

    chỉ thể hiện các tính chất hoá học đặc trưng của ketone

  • D.

    không thể hiện tính chất hoá học đặc trưng của cả alcohol và ketone.

Câu 11 :

Phổ IR của chất A được cho như Hình 8.2.

A có thể là chất nào trong số các chất sau: 

  • A.

    CH3CH2–COOH

  • B.

    CH3CH2CH2–CHO

  • C.

    CH3CH2NH–CH2CH3 

  • D.

    CH3COCH2CH3

Câu 12 :

Benzaldehyde là chất lỏng không màu, để lâu có màu vàng, mùi hạnh nhân, được dùng điều chế chất thơm, phẩm nhuộm loại triphenylmethane, … Khi phân tích benzaldehyde, các nguyên tố C, H, O có phần trăm khối lượng tương ứng là 79,24%; 5,66% và 15,1%. Và phổ khối lượng của benzaldehyde như sau:

Công thức phân tử của benzaldehyde là

  • A.
    C7H6O.
  • B.
    C7H8O.
  • C.
    C6H6O.
  • D.
    C8H8O.
Câu 13 :

Nguyên tắc của phương pháp chưng cất là :

  • A.
    Dựa trên nhiệt độ sôi khác nhau của các chất.
  • B.
    Dựa trên độ tan khác nhau của các chất.
  • C.
    Dựa trên khối lượng khác nhau của các chất.
  • D.
    Dựa trên thể tích  khác nhau của các chất.
Câu 14 :

Phương pháp chưng cất dùng để tinh chế

  • A.
    Chất lỏng.          
  • B.
    Chất rắn.                          
  • C.
    Chất khí.                           
  • D.
    Chất keo.
Câu 15 :

Cách chiết chất lỏng –chất lỏng cần có mấy bước ?

  • A.
    3                                 
  • B.
    4                                        
  • C.
    5                                          
  • D.
    2
Câu 16 :

Đối với hỗn hợp chất rắn, người ta đã dựa vào độ tan  khác nhau và  sự thay đổi độ tan khác nhau theo nhiệt độ của chúng để tách và tinh chế. Phương pháp trên gọi là phương pháp :

  • A.
    Chưng cất.                                    
  • B.
    Chiết.                          
  • C.
    Kết tinh.                
  • D.
    Sắc kí cột.
Câu 17 :

Công thức phân tử chất Y có công thức cấu tạo dạng khung phân tử như sau là:

  • A.
    C3H3O2Br2
  • B.
    C3H4O2Br2
  • C.
    C3H5O2Cl2
  • D.
    C2H5O2Br2
Câu 18 :

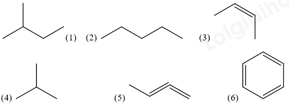
Có bao nhiêu hợp chất hữu cơ trong các chất đây có mạch carbon phân nhánh?

  • A.
    2
  • B.
    3
  • C.
    4
  • D.
    5
Câu 19 :

Từ phổ MS của acetone, người ta xác định được ion phân tử [CH3COCH3] có giá trị m/z lớn nhất bằng 58. Vậy phân tử khối của acetone là

  • A.

    56

  • B.

    57

  • C.

    59

  • D.

    58

Câu 20 :

Theo thuyết cấu tạo hóa học, chất nào sau đây là đúng về hóa trị của carbon?

  • A.

    CH≡CH-CH2-CH3.

  • B.

    CH3-CH2-CH2-CH(CH3)2.

  • C.

    HO-CH3-CH=O.        

  • D.

    CH3-CH=CH2-CH3.

II. Tự luận
Câu 1 :

(2 điểm): Trộn 250ml dung dịch  0,10M và 0,01M với 250ml dung dịch  xM và  0,02M. Thu m gam kết tủa và 500ml dung dịch có pH = 12. Xác định giá trị của m và x?

Câu 2 :

(2 điểm): Từ tinh dầu hồi, người ta tách được anethol – một chất thơm được dùng sản xuất kẹo cao su. Để xác định công thức phân tử của hợp chất này người ta phân tích nguyên tố và đo phổ khối lượng. Kết quả phân tích được cho trong bảng sau:

%C

%H

%O

Gía trị m/z của peak ion phân tử [M+]

81,08%

8,1%

còn lại

148

Lập công thức phân tử của anethol.

Lời giải và đáp án

I. Trắc nghiệm
Chọn đáp án đúng
Câu 1 :

Tính chất nào sau đây không phải tính chất vật lí của sulfur?

  • A.
    Màu vàng ở điều kiện thường.            
  • B.
    Thể rắn ở điều kiện thường.
  • C.
    Không tan trong benzene.                  
  • D.
    Không tan trong nước.

Đáp án : C

Phương pháp giải :

Dựa vào tính chất vật lí của sulfur

Lời giải chi tiết :

Tính chất vật lí của sulfur là chất rắn có màu vàng tự nhiên, không tan trong nước nhưng tan nhiều trong các dung môi hữu cơ như benzen, rượu,…

Đáp án C

Câu 2 :

Tính chất hóa học cơ bản của đơn chất sulfur là

  • A.
    Khử mạnh.                                                 
  • B.
    Oxi hóa mạnh.
  • C.
    Vừa có tính khử vừa có tính oxi hóa.        
  • D.
    Trơ về mặt hóa học.

Đáp án : C

Phương pháp giải :

Dựa vào tính chất hóa học của sulfur

Lời giải chi tiết :

Tính chất hóa học cơ bản của đơn chất sulfur là vừa có tính khử vừa có tính oxi hóa.  

Đáp án C

Câu 3 :

Số oxi hóa của sulfur trong phân tử SO2 là

  • A.
    + 4.                           
  • B.
    – 2.                     
  • C.
    + 6.                  
  • D.
    0.

Đáp án : A

Phương pháp giải :

Dựa vào quy tắc xác định số oxi hóa

Lời giải chi tiết :

Số oxi hóa của sulfur trong phân tử SO2 là: +4

Đáp án A

Câu 4 :

Để chứng minh SO2 là một oxide acid, người ta cho SO2 phản ứng với chất nào sau đây?

  • A.
     Dung dịch bromine.                            
  • B.
     Dung dịch kiềm.
  • C.
     Dung dịch KMnO4.                             
  • D.
     Dung dịch sulfuric acid.

Đáp án : B

Phương pháp giải :

Để chứng minh dung dịch có tính acid dùng dung dịch kiềm

Lời giải chi tiết :

SO2  + NaOH \( \to \) NaHSO3 

SO2 + 2NaOH \( \to \) Na2SO3 + H2O

Đáp án B

Câu 5 :

Cho 0,96g Cu phản ứng hoàn toàn với dung dịch H2SO4 đặc, nóng, dư thu được V lít khí SO2 (đkc, sản phẩm khử duy nhất). Giá trị của V là

  • A.
    0,37185 lít.                  
  • B.
    1,1156 lít.                
  • C.
    0,7437 lít.            
  • D.
    0,1853 lít.

Đáp án : A

Lời giải chi tiết :

nCu=0,96/64= 0,015 mol

Cu + 2H2SO4 \( \to \) CuSO4 + SO2 + 2H2O

0,015 mol      \( \to \)                0,015 mol \( \to \) VSO2 = 0,015.24,79=0,37185 lít

Đáp án A

Câu 6 :

Trong công nghiệp người ta điều chế H2SO4 từ quặng pirit sắt có thành phần chính là FeS2 theo sơ đồ sau FeS2 → SO2 → SO3 → H2SO4. Biết hiệu của cả quá trình là 80%.  Khối lượng H2SO4 98% điều chế được từ 1 tấn quặng chứa 60% FeS2 là 

  • A.
    0,4 tấn.                  
  • B.
    0,384 tấn.                       
  • C.
    0,6 tấn.                      
  • D.
    0,45 tấn.

Đáp án : A

Lời giải chi tiết :

Đổi 1 tấn = 1000 kg.

mFeS2= 1000.60% = 600 kg.

Cứ 120 kg FeS2 thì điều chế được 98 kg H2SO4

⇒Cứ 600 kg FeS2 thì điều chế được x (g) H2SO4

⇒x = 98.600/120 = 490 kg.

Mà H = 80% nên: ⇒ mH2SO4 = 490.80% = 392 kg. 

⇒mdd H2SO4(98%)= 392/98% = 400 kg = 0,4 tấn.

Đáp án A

Câu 7 :

Cho các chất: CaC2, CO2, HCOOH, C2H6O, CH3COOH, CH3Cl, NaCN, K2CO3.Số hợp chất hữu cơ trong các chất trên là bao nhiêu ?

  • A.

    4

  • B.

    5

  • C.

    3

  • D.

    2

Đáp án : A

Phương pháp giải :

Hợp chất hữu cơ là hợp chất của carbon (trừ một số hợp chất như carbon monoxide, carbon dioxide, muối carbonate, cyanide, carbide,…).

 

Lời giải chi tiết :

HCOOH, C2H6O, CH3COOH, CH3Cl là hợp chất hữu cơ

Đáp án A

Câu 8 :

Có bao nhiêu chất thuộc loại hydrocarbon trong dãy sau : (1) CH2=CH-Cl; (2) CH3-CH(CH3)2; (3) HCHO; (4) C2H5Br; (5) CH3COOH; (6) C6H6 ?

  • A.

    4

  • B.

    3

  • C.

    2

  • D.

    1

Đáp án : A

Phương pháp giải :

Hydrocarbon là hợp chất hữu cơ gồm nguyên tố carbon và hydrogen

Lời giải chi tiết :

Hydrocarbon là hợp chất hữu cơ gồm nguyên tố carbon và hydrogen

Câu 9 :

Hợp chất hữu cơ nào sau đây thể hiện tính chất hóa học đặc trưng của nhóm chức của carboxylic acid ?

  • A.

    C17H33COOH.

  • B.

    CH3COONa.

  • C.

    HCOOCH3.

  • D.

    CH2=CH-CHO.

Đáp án : A

Phương pháp giải :

Nhóm chức carboxylic acid là –COOH

Lời giải chi tiết :

C17H33COOH chứa nhóm chức carboxylic acid

Câu 10 :

Một hợp chất hữu cơ X chứa đồng thời hai nhóm chức alcohol và ketone. Khi đó, hợp chất X sẽ

  • A.

    chỉ thể hiện các tính chất hoá học đặc trưng của alcohol.

  • B.

    chỉ thể hiện các tính chất hoá học đặc trưng của ketone

  • C.

    chỉ thể hiện các tính chất hoá học đặc trưng của ketone

  • D.

    không thể hiện tính chất hoá học đặc trưng của cả alcohol và ketone.

Đáp án : C

Phương pháp giải :

Hợp chất hữu cơ thể hiện tính chất hóa học của các nhóm chức

Lời giải chi tiết :

Hợp chất hữu cơ X chứa đồng thời hai nhóm chức alcohol và ketone thể hiện tính chất của 2 nhóm chức

Đáp án C

Câu 11 :

Phổ IR của chất A được cho như Hình 8.2.

A có thể là chất nào trong số các chất sau: 

  • A.

    CH3CH2–COOH

  • B.

    CH3CH2CH2–CHO

  • C.

    CH3CH2NH–CH2CH3 

  • D.

    CH3COCH2CH3

Đáp án : A

Phương pháp giải :

Dựa vào các vùng tín hiệu đặc trưng của nhóm chức

Lời giải chi tiết :

Hợp chất hữu cơ có vùng tín hiệu ở 3281 cm-1 và 2986 cm-1 là tín hiệu đặc trưng của nhóm carboxylic acid (-COOH)

Đáp án A

Câu 12 :

Benzaldehyde là chất lỏng không màu, để lâu có màu vàng, mùi hạnh nhân, được dùng điều chế chất thơm, phẩm nhuộm loại triphenylmethane, … Khi phân tích benzaldehyde, các nguyên tố C, H, O có phần trăm khối lượng tương ứng là 79,24%; 5,66% và 15,1%. Và phổ khối lượng của benzaldehyde như sau:

Công thức phân tử của benzaldehyde là

  • A.
    C7H6O.
  • B.
    C7H8O.
  • C.
    C6H6O.
  • D.
    C8H8O.

Đáp án : A

Lời giải chi tiết :

CTTQ: CxHyOz

Ta có:

\(\begin{array}{l}\frac{{x.12}}{{79,24}} = \frac{{y.1}}{{5,66}} = \frac{{z.16}}{{15,1}} = \frac{{106}}{{100}} = 1,06\\ \Rightarrow x:y:z = \frac{{1,06.79,24}}{{12}}:\frac{{1,06.5,66}}{1}:\frac{{1,06.15,1}}{{16}} = 7:6:1\end{array}\)

CTPT: C7H6O

=> Đáp án A

Câu 13 :

Nguyên tắc của phương pháp chưng cất là :

  • A.
    Dựa trên nhiệt độ sôi khác nhau của các chất.
  • B.
    Dựa trên độ tan khác nhau của các chất.
  • C.
    Dựa trên khối lượng khác nhau của các chất.
  • D.
    Dựa trên thể tích  khác nhau của các chất.

Đáp án : A

Phương pháp giải :

Dựa vào nguyên tắc của phương pháp chưng cất

Lời giải chi tiết :

Nguyên tắc của phương pháp chưng cất là dựa trên nhiệt độ sôi khác nhau của các chất

Đáp án A

Câu 14 :

Phương pháp chưng cất dùng để tinh chế

  • A.
    Chất lỏng.          
  • B.
    Chất rắn.                          
  • C.
    Chất khí.                           
  • D.
    Chất keo.

Đáp án : A

Phương pháp giải :

Phương pháp chưng cất dùng để tinh chế chất lỏng

Lời giải chi tiết :

Đáp án A

Câu 15 :

Cách chiết chất lỏng –chất lỏng cần có mấy bước ?

  • A.
    3                                 
  • B.
    4                                        
  • C.
    5                                          
  • D.
    2

Đáp án : B

Phương pháp giải :

Dựa vào các thao tác thực hiện phương pháp chiết

Lời giải chi tiết :

Gồm 4 bước

Đáp án B

Câu 16 :

Đối với hỗn hợp chất rắn, người ta đã dựa vào độ tan  khác nhau và  sự thay đổi độ tan khác nhau theo nhiệt độ của chúng để tách và tinh chế. Phương pháp trên gọi là phương pháp :

  • A.
    Chưng cất.                                    
  • B.
    Chiết.                          
  • C.
    Kết tinh.                
  • D.
    Sắc kí cột.

Đáp án : C

Phương pháp giải :

Phương pháp kết tinh dựa trên sự thay đổi độ tan khác nhau theo nhiệt độ của chúng để tách và tinh chế

Lời giải chi tiết :

Đáp án C

Câu 17 :

Công thức phân tử chất Y có công thức cấu tạo dạng khung phân tử như sau là:

  • A.
    C3H3O2Br2
  • B.
    C3H4O2Br2
  • C.
    C3H5O2Cl2
  • D.
    C2H5O2Br2

Đáp án : B

Lời giải chi tiết :

Đáp án B

Câu 18 :

Có bao nhiêu hợp chất hữu cơ trong các chất đây có mạch carbon phân nhánh?

  • A.
    2
  • B.
    3
  • C.
    4
  • D.
    5

Đáp án : D

Phương pháp giải :

Hóa trị của carbon là IV trong hợp chất hữu cơ

Lời giải chi tiết :

Đáp án D

Câu 19 :

Từ phổ MS của acetone, người ta xác định được ion phân tử [CH3COCH3] có giá trị m/z lớn nhất bằng 58. Vậy phân tử khối của acetone là

  • A.

    56

  • B.

    57

  • C.

    59

  • D.

    58

Đáp án : D

Phương pháp giải :

Dựa vào giá trị m/z lớn nhất

Lời giải chi tiết :

Vì giá trị m//z lớn nhất = 58 => phân tử khối của acetone = 58

Câu 20 :

Theo thuyết cấu tạo hóa học, chất nào sau đây là đúng về hóa trị của carbon?

  • A.

    CH≡CH-CH2-CH3.

  • B.

    CH3-CH2-CH2-CH(CH3)2.

  • C.

    HO-CH3-CH=O.        

  • D.

    CH3-CH=CH2-CH3.

Đáp án : D

Phương pháp giải :

Hóa trị của carbon là IV trong hợp chất hữu cơ

Lời giải chi tiết :

CH3-CH=CH2-CH3.

II. Tự luận
Câu 1 :

(2 điểm): Trộn 250ml dung dịch  0,10M và 0,01M với 250ml dung dịch  xM và  0,02M. Thu m gam kết tủa và 500ml dung dịch có pH = 12. Xác định giá trị của m và x?

Lời giải chi tiết :

\({{\rm{n}}_{{{\rm{H}}^{\rm{ + }}}}}{\rm{  =  0,25}}{\rm{.0,1  +  0,25}}{\rm{.0,01}}{\rm{.2  =  0,03(mol);}}\) \({{\rm{n}}_{{\rm{O}}{{\rm{H}}^{\rm{ – }}}}}{\rm{ =  0,25x}}{\rm{.2  +  0,25}}{\rm{.0,02  =  0,5x  +  0,005 (mol)}}{\rm{.}}\)

Ta có phản ứng: \({{\rm{H}}^{\rm{ + }}}{\rm{  +  O}}{{\rm{H}}^{\rm{ – }}}{\rm{ }} \to {{\rm{H}}_{\rm{2}}}{\rm{O}}\)

\({{\rm{n}}_{{\rm{O}}{{\rm{H}}^{\rm{ – }}}{\rm{du}}}}{\rm{  =  }}{{\rm{n}}_{{\rm{O}}{{\rm{H}}^{\rm{ – }}}}}{\rm{  –  }}{{\rm{n}}_{{{\rm{H}}^{\rm{ + }}}}}{\rm{ =  0,5x  +  0,005  –  0,03  =  0,5x  –  0,025 (mol)}}{\rm{.}}\)

Giá trị \({\rm{pOH}}\) sau phản ứng: \({\rm{pOH  =  14  –  12  =  2}}{\rm{.}}\)

Thể tích dung dịch sau phản ứng: \({\rm{V  =  0,25  +  0,25  =  0,5(l)}}\)

Nồng độ \({\rm{O}}{{\rm{H}}^{\rm{ – }}}\)dư sau phản ứng: \({\rm{O}}{{\rm{H}}^{\rm{ – }}}{\rm{  =  }}\frac{{{\rm{0,5x – 0,025}}}}{{{\rm{0,5}}}}{\rm{  =  1}}{{\rm{0}}^{{\rm{ – 2}}}}{\rm{ }} \to {\rm{ x  =  0,06(M)}}\)

\({{\rm{n}}_{{\rm{SO}}_{\rm{4}}^{{\rm{2 – }}}}}{\rm{  =  0,0025(mol);}}\) \({{\rm{n}}_{{\rm{B}}{{\rm{a}}^{{\rm{2 + }}}}}}{\rm{  =  0,03(mol)}}{\rm{.}}\)

Xét phản ứng tạo kết tủa: \({\rm{B}}{{\rm{a}}^{{\rm{2 + }}}}{\rm{  +  SO}}_{\rm{4}}^{{\rm{2 – }}}{\rm{ }} \to {\rm{ BaSO}}_{\rm{4}}^{}\)

\({{\rm{n}}_{{\rm{BaSO}}_{\rm{4}}^{}}}{\rm{  =  }}{{\rm{n}}_{{\rm{SO}}_{\rm{4}}^{{\rm{2 – }}}}}{\rm{  =  0,0025(mol) }} \to {\rm{ m  =  0,0025}}{\rm{.233  =  0,5825(gam)}}\)

Câu 2 :

(2 điểm): Từ tinh dầu hồi, người ta tách được anethol – một chất thơm được dùng sản xuất kẹo cao su. Để xác định công thức phân tử của hợp chất này người ta phân tích nguyên tố và đo phổ khối lượng. Kết quả phân tích được cho trong bảng sau:

%C

%H

%O

Gía trị m/z của peak ion phân tử [M+]

81,08%

8,1%

còn lại

148

Lập công thức phân tử của anethol.

Lời giải chi tiết :

%O = 100% – 81,08% – 8,1% = 10,82%

C : H : O = \(\frac{{\% C}}{{12}}:\frac{{\% H}}{1}:\frac{{\% O}}{{16}} = \frac{{81,08}}{{12}}:\frac{{8,1}}{1}:\frac{{10,82}}{{16}} = 6,7:8,1:0,67 = 10:12:1\)

CTĐGN là: (C10H12O)n. Vì giá trị m/z của peak ion phân tử [M+] = 148

=> M(C10H12O)n = 148 => n = 1

CTPT: C10H12O

TẢI APP ĐỂ XEM OFFLINE