4. Đề thi học kì 1 – Đề số 3

Đề bài

I. Trắc nghiệm
Câu 1 :

Cấu hình electron nào sau đây là của fluorine (Z = 9)

  • A.
    1s22s22p3.
  • B.
    1s22s22p4.
  • C.
    1s22s32p4.
  • D.
    1s22s22p5.
Câu 2 :

Nhận định nào sau đây không đúng?

  • A.
    Tất cả các hạt nhân nguyên tử đều chứa proton và neutron.
  • B.
    Nguyên tử có kích thước vô cùng nhỏ và trung hòa về điện.
  • C.
    Lớp vỏ nguyên tử chứa electron mang điện tích âm.
  • D.
    Khối lượng nguyên tử hầu hết tập trung ở hạt nhân.
Câu 3 :

Phát biểu nào sau đây đúng?

  • A.
    Những electron ở lớp K có mức năng lượng thấp nhất.
  • B.
    Những electron ở gần hạt nhân có mức năng lượng cao nhất.
  • C.
    Electron ở orbital 3p có mức năng lượng thấp hơn electron ở orbital 3s.
  • D.
    Các electron trong cùng một lớp có mức năng lượng bằng nhau.
Câu 4 :

Nguyên tử của nguyên tố phosphorus (Z = 15) có số electron độc thân là

  • A.
    1.
  • B.
    2.
  • C.
    3.
  • D.
    4.
Câu 5 :

Trong trường hợp nào dưới đây, A không phải là khí hiếm?

  • A.
    ZA = 2.
  • B.
    ZA = 8.
  • C.
    ZA = 10.
  • D.
    ZA = 18.
Câu 6 :

Anion X có cấu hình electron của phân lớp ngoài cùng là 2p6.Vị trí của X trong bảng tuần hoàn là

  • A.
    Chu kì 3, nhóm IIA
  • B.
    Chu kì 3,nhóm IVA                  
  • C.
    Chu kì 2,nhóm IVA        
  • D.
    Chu kì 2, nhóm VIIA
Câu 7 :

Cho các kí hiệu nguyên tử sau: \({}_{92}^{234}U\)và \({}_{92}^{235}U\), nhận xét nào sau đây không đúng?

  • A.
    Cả hai là đồng vị của nguyên tố urani.
  • B.
    Mỗi nguyên tử đều có 92 neutron.
  • C.
    Hai nguyên tử có cùng số electron.
  • D.
    Hai nguyên tử có số khối khác nhau.
Câu 8 :

Cho các phát biểu sau:

(1) Tất cả các hạt nhân nguyên tử đều chứa proton và neutron.

(2) Khối lượng nguyên tử tập trung phần lớn ở lớp vỏ.

(3) Trong nguyên tử, số electron bằng số proton.

(4) Trong hạt nhân nguyên tử, hạt mang điện là proton và electron.

(5) Trong nguyên tử, hạt electron có khối lượng không đáng kể so với các hạt còn lại.

Số phát biểu đúng là

  • A.
    1.
  • B.
    2.
  • C.
    3.
  • D.
    4.
Câu 9 :

Nguyên tử Fe có cấu hình \({}_{26}^{56}Fe\). Cho các phát biểu sau về Fe:

(1) Nguyên tử của nguyên tố Fe có 8 electron ở lớp ngoài cùng.

(2) Nguyên tử của nguyên tố Fe có 30 neutron ở trong hạt nhân.

(3) Fe là một phi kim.

(4) Fe là nguyên tố d.

Trong các phát biểu trên, phát biểu nào là đúng

  • A.
    (1), (2), (3) và (4).
  • B.
    (1), (2) và (4).
  • C.
    (2) và (4).
  • D.
    (2), (3) và (4).
Câu 10 :

Nguyên tố boron (B) có nguyên tử khối trung bình là 10,81. Trong tự nhiên, boron có hai đồng vị là \(_5^{10}B\) và \(_5^{11}B\). Phần trăm số nguyên tử của đồng vị \(_5^{10}B\) là

  • A.
    81 %.
  • B.
    19 %.
  • C.
    0,19 %.
  • D.
    0,81 %.
Câu 11 :

Phân tử AB2 có tổng số hạt proton, neutron, electron là 66, trong đó số hạt mang điện nhiều hơn số hạt không mang điện là 22, số hạt mang điện của B nhiều hơn của A là 4. Công thức phân tử AB2

  • A.
    SO2
  • B.
    NO2
  • C.
    CO2
  • D.
    CS2
Câu 12 :

Sắp xếp nguyên tử của các nguyên tố oxygen, magnesium, carbon, potassium theo chiều tăng dần bán kính nguyên tử

  • A.
    O, Mg, C, K.
  • B.
    O, C, Mg, K.
  • C.
    K, Mg, O, C.
  • D.
    K, Mg, C, O.
Câu 13 :

Các ion S2-, Cl, K+, Ca2+ đều có cấu hình chung là 3s23p6. Hãy sắp xếp chúng theo thứ tự bán kính ion giảm dần:

  • A.
    S2- > Cl > K+ > Ca2+.
  • B.
    K+ > Ca2+ > S2- > Cl.
  • C.
    Ca2+ > K+ > Cl > S2-.
  • D.
    S2- > K+ > Cl > Ca2+.
Câu 14 :

Công thức hợp chất khí của một nguyên tố Y với hydrogen có dạng YH3. Trong công thức oxide cao nhất của Y có Y chiếm 43,66% về mặt khối lượng . Tìm công thức oxide cao nhất và công thức hợp chất khí của Y với hydrogen:

  • A.

    NH3, N2O5          

  • B.

    PH3, P2O5       

  • C.

    H2S, SO3

  • D.

    P2O5, PH3

Câu 15 :

Hai ion X+ và Y đều có cấu hình electron của khí hiếm Ar (Z=18). Cho các phát biểu sau:

(1) Số hạt mang điện của X nhiều hơn số hạt mang điện của Y là 4.

(2) Bán kính ion Y lớn hơn bán kính ion X+.

(3) X ở chu kì 3, còn Y ở chu kì 4 trong bảng hệ thống tuần hoàn.

(4) Độ âm điện của X nhỏ hơn độ âm điện của Y.

(5) X thuộc loại nguyên tố p.

Số phát biểu đúng

  • A.
    1.
  • B.
    2.
  • C.
    3.
  • D.
    4.
Câu 16 :

Biểu diễn sự tạo thành ion nào sau đây đúng?

  • A.

    Na + le -> Na+.                                          

  • B.

    Cl2 -> 2Cl + 2e.

  • C.

    O2 + 2e -> 2O2-.                                          

  • D.

    Al -> Al3+ + 3e

Câu 17 :

Cho các chất sau: C2H6; H2O; NH3; PF3; C2H5OH. Số chất tạo được liên kết hydrogen là

  • A.

    2

  • B.

    3

  • C.

    4

  • D.

    5

Câu 18 :

Giữa H2O và HF có thể tạo ra ít nhất bao nhiêu kiểu liên kết hydrogen?

  • A.

    2

  • B.

    3

  • C.

    4

  • D.

    5

Câu 19 :

Nhiệt độ sôi của từng chất methane, ethane, propane và butane là một trong bốn nhiệt độ sau: 0 °C; -164 °C; -42 °C và -88 °C. Nhiệt độ sôi -88 °C là của chất nào sau đây

  • A.

    methane.         

  • B.

    propane.

  • C.

    ethane.             

  • D.

    butane.

Câu 20 :

Nguyên tử Y có tổng số hạt mang điện trong nguyên tử là 34. Số hạt mang điện nhiều hơn số hạt không mang điện 10 hạt. Vị trí của Y trong bảng tuần hoàn là

  • A.

    số thứ tự 17, chu kì 3, nhóm VIIA.

  • B.

    số thứ tự 11, chu kì 3, nhóm IA.

  • C.

    số thứ tự 11, chu kì 2, nhóm VIIA.

  • D.

    số thứ tự 17, chu kì 3, nhóm IA.

II. Tự luận
Câu 1 :

Trong nguyên tử đồng (copper) có hai đồng vị bền là 63Cu và 65Cu. Nguyên tử khối trung bình của đồng là 63,54. Tính số mol mỗi loại đồng vị có trong 6,354 gam đồng.

Câu 2 :

Hợp chất A có công thức M4X3. Tổng số hạt proton, electron và neutron trong phân tử A là 214. Tổng số hạt proton, neutron, electron của [M]4 nhiều hơn so với [X]3 trong A là 106.

  (a) Xác định công thức hóa học của A.

  (b) Viết cấu hình electron của các nguyên tử tạo nên A.

Lời giải và đáp án

I. Trắc nghiệm
Câu 1 :

Cấu hình electron nào sau đây là của fluorine (Z = 9)

  • A.
    1s22s22p3.
  • B.
    1s22s22p4.
  • C.
    1s22s32p4.
  • D.
    1s22s22p5.

Đáp án : D

Phương pháp giải :

Dựa vào Z = e = p

Lời giải chi tiết :

Cấu hình của F là: 1s22s22p5.

Đáp án D

Câu 2 :

Nhận định nào sau đây không đúng?

  • A.
    Tất cả các hạt nhân nguyên tử đều chứa proton và neutron.
  • B.
    Nguyên tử có kích thước vô cùng nhỏ và trung hòa về điện.
  • C.
    Lớp vỏ nguyên tử chứa electron mang điện tích âm.
  • D.
    Khối lượng nguyên tử hầu hết tập trung ở hạt nhân.

Đáp án : A

Phương pháp giải :

Dựa vào cấu tạo nguyên tử

Lời giải chi tiết :

Tất cả các hạt nhân nguyên tử đều chứa proton và neutron là sai vì trong hạt nhân H không có neutron

Đáp án A

Câu 3 :

Phát biểu nào sau đây đúng?

  • A.
    Những electron ở lớp K có mức năng lượng thấp nhất.
  • B.
    Những electron ở gần hạt nhân có mức năng lượng cao nhất.
  • C.
    Electron ở orbital 3p có mức năng lượng thấp hơn electron ở orbital 3s.
  • D.
    Các electron trong cùng một lớp có mức năng lượng bằng nhau.

Đáp án : A

Phương pháp giải :

Dựa vào sự phân bố electron

Lời giải chi tiết :

– Những electron ở lớp gần hạt nhân bị hút mạnh hơn về phía hạt nhân, vì thế có năng lượng thấp hơn so với những electron ở lớp xa hạt nhân.

⇒ B sai, A đúng vì lớp K là lớp gần hạt nhân nhất.

– Electron ở orbital 3p có mức năng lượng cao hơn electron ở orbital 3s⇒ C sai

– Các electron thuộc cùng một lớp có mức năng lượng gần bằng nhau ⇒ D sai

Câu 4 :

Nguyên tử của nguyên tố phosphorus (Z = 15) có số electron độc thân là

  • A.
    1.
  • B.
    2.
  • C.
    3.
  • D.
    4.

Đáp án : A

Phương pháp giải :

Viết sự phân bố electron vào mỗi ô orbital

Lời giải chi tiết :

Phosphorus có 1 electron độc thân

Đáp án A

Câu 5 :

Trong trường hợp nào dưới đây, A không phải là khí hiếm?

  • A.
    ZA = 2.
  • B.
    ZA = 8.
  • C.
    ZA = 10.
  • D.
    ZA = 18.

Đáp án : A

Phương pháp giải :

Dựa vào bảng tuần hoàn hóa học

Lời giải chi tiết :

ZA = 8 là nguyên tố oxygen không phải khí hiếm

Đáp án A

Câu 6 :

Anion X có cấu hình electron của phân lớp ngoài cùng là 2p6.Vị trí của X trong bảng tuần hoàn là

  • A.
    Chu kì 3, nhóm IIA
  • B.
    Chu kì 3,nhóm IVA                  
  • C.
    Chu kì 2,nhóm IVA        
  • D.
    Chu kì 2, nhóm VIIA

Đáp án : D

Phương pháp giải :

Anion X đã nhận thêm 1 electron để đạt cấu hình bền của khí hiếm

Lời giải chi tiết :

Lớp ngoài cùng của X là 2p5 => X có cấu hình electron đầy đủ là: 1s22s22p5 => chu kì 2, nhóm VIIA

Đáp án D

Câu 7 :

Cho các kí hiệu nguyên tử sau: \({}_{92}^{234}U\)và \({}_{92}^{235}U\), nhận xét nào sau đây không đúng?

  • A.
    Cả hai là đồng vị của nguyên tố urani.
  • B.
    Mỗi nguyên tử đều có 92 neutron.
  • C.
    Hai nguyên tử có cùng số electron.
  • D.
    Hai nguyên tử có số khối khác nhau.

Đáp án : B

Phương pháp giải :

Dựa vào kiến thức về đồng vị

Lời giải chi tiết :

Cả hai đều là đồng vị của nguyên tố urani; mỗi nguyên tử đều có 92 proton và khác nhau về số neutron

Đáp án B

Câu 8 :

Cho các phát biểu sau:

(1) Tất cả các hạt nhân nguyên tử đều chứa proton và neutron.

(2) Khối lượng nguyên tử tập trung phần lớn ở lớp vỏ.

(3) Trong nguyên tử, số electron bằng số proton.

(4) Trong hạt nhân nguyên tử, hạt mang điện là proton và electron.

(5) Trong nguyên tử, hạt electron có khối lượng không đáng kể so với các hạt còn lại.

Số phát biểu đúng là

  • A.
    1.
  • B.
    2.
  • C.
    3.
  • D.
    4.

Đáp án : C

Phương pháp giải :

Dựa vào kiến thức về cấu tạo nguyên tử

Lời giải chi tiết :

(1) sai vì nguyên tử H không có neutron

(2) sai, khối lượng nguyên tử tập trung chủ yếu ở hạt nhân

(3) đúng

(4) đúng

(5) đúng

Đáp án C

Câu 9 :

Nguyên tử Fe có cấu hình \({}_{26}^{56}Fe\). Cho các phát biểu sau về Fe:

(1) Nguyên tử của nguyên tố Fe có 8 electron ở lớp ngoài cùng.

(2) Nguyên tử của nguyên tố Fe có 30 neutron ở trong hạt nhân.

(3) Fe là một phi kim.

(4) Fe là nguyên tố d.

Trong các phát biểu trên, phát biểu nào là đúng

  • A.
    (1), (2), (3) và (4).
  • B.
    (1), (2) và (4).
  • C.
    (2) và (4).
  • D.
    (2), (3) và (4).

Đáp án : C

Phương pháp giải :

Dựa vào kiến thức về nguyên tố hóa học

Lời giải chi tiết :

(1) sai vì Fe có 2 electron lớp ngoài cùng

(2) đúng

(3) sai, Fe là kim loại

(4) đúng vì Fe có electron cuối cùng điền vào phân lớp d

Đáp án C

Câu 10 :

Nguyên tố boron (B) có nguyên tử khối trung bình là 10,81. Trong tự nhiên, boron có hai đồng vị là \(_5^{10}B\) và \(_5^{11}B\). Phần trăm số nguyên tử của đồng vị \(_5^{10}B\) là

  • A.
    81 %.
  • B.
    19 %.
  • C.
    0,19 %.
  • D.
    0,81 %.

Đáp án : B

Phương pháp giải :

Dựa vào nguyên tử khối trung bình của B

Lời giải chi tiết :

Gọi phần trăm mỗi đồng vị là a và b

\(\left\{ \begin{array}{l}a + b = 100\\\frac{{a.10 + 11.b}}{{100}} = 10,81\end{array} \right. \to \left\{ \begin{array}{l}a = 19\% \\b = 81\% \end{array} \right.\)

Đáp án B

Câu 11 :

Phân tử AB2 có tổng số hạt proton, neutron, electron là 66, trong đó số hạt mang điện nhiều hơn số hạt không mang điện là 22, số hạt mang điện của B nhiều hơn của A là 4. Công thức phân tử AB2

  • A.
    SO2
  • B.
    NO2
  • C.
    CO2
  • D.
    CS2

Đáp án : C

Phương pháp giải :

Dựa vào tổng số hạt trong phân tử để xác định A, B

Lời giải chi tiết :

PA + NA + EA + 2.(PB + NB + EB) = 66

PA + EA + 2PB + 2EB = 22 + NA + 2NB

2PB + 2EB = PA + EA + 4

PA = 6 (A là C), PB = 8 (B là oxi) → AB2 là CO2

Đáp án C

Câu 12 :

Sắp xếp nguyên tử của các nguyên tố oxygen, magnesium, carbon, potassium theo chiều tăng dần bán kính nguyên tử

  • A.
    O, Mg, C, K.
  • B.
    O, C, Mg, K.
  • C.
    K, Mg, O, C.
  • D.
    K, Mg, C, O.

Đáp án : B

Phương pháp giải :

Trong cùng một chu kì, bán kính nguyên tử giảm dần từ trái sang phải

Trong cùng một nhóm, bán kính nguyên tử tăng dần từ trên xuống

Lời giải chi tiết :

C, O cùng một chu kì => bán kính O < bán kính C

C, O thuộc chu kì 2, Mg thuộc chu kì 3, K thuộc chu kì 4 => bán kính K > bán kính Mg > bán kính C > bán kính O

Đáp án B

Câu 13 :

Các ion S2-, Cl, K+, Ca2+ đều có cấu hình chung là 3s23p6. Hãy sắp xếp chúng theo thứ tự bán kính ion giảm dần:

  • A.
    S2- > Cl > K+ > Ca2+.
  • B.
    K+ > Ca2+ > S2- > Cl.
  • C.
    Ca2+ > K+ > Cl > S2-.
  • D.
    S2- > K+ > Cl > Ca2+.

Đáp án : A

Phương pháp giải :

Trong cùng một chu kì, bán kính nguyên tử giảm dần từ trái sang phải

Trong cùng một nhóm, bán kính nguyên tử tăng dần từ trên xuống

Lời giải chi tiết :

Cấu hình electron của các ion là 1s22s22p63s23p6

Ta có S2- có 18 electron nên ion S2- có điện tích hạt nhân bằng 16+

Cl có 18 electron nên ion Cl có điện tích hạt nhân bằng 17+

K+ có 18 electron nên ion K+ có điện tích hạt nhân bằng 19+

Ca2+ có 18 electron nên ion Ca2+ có điện tích hạt nhân bằng 20+

Để so sánh bán kính nguyên tử, ion thì đầu tiên ta dựa vào số lớp sau đó đến điện tích hạt nhân (Z). Bán kính tỉ lệ thuận với số lớp nhưng tỉ lệ nghịch với điện tích hạt nhân.

Như vậy khi các nguyên tử, ion có số lớp bằng nhau thì nguyên tử, ion nào có Z lớn nhất thì có bán kính nhỏ nhất.

Vậy bán kính các ion giảm dần theo thứ tự: S2- > Cl > K+ > Ca2+

Đáp án A

Câu 14 :

Công thức hợp chất khí của một nguyên tố Y với hydrogen có dạng YH3. Trong công thức oxide cao nhất của Y có Y chiếm 43,66% về mặt khối lượng . Tìm công thức oxide cao nhất và công thức hợp chất khí của Y với hydrogen:

  • A.

    NH3, N2O5          

  • B.

    PH3, P2O5       

  • C.

    H2S, SO3

  • D.

    P2O5, PH3

Đáp án : D

Phương pháp giải :

Dựa vào % khối lượng của Y trong oxide

Lời giải chi tiết :

Vì nguyên tố Y có hóa trị với H là 3 => nguyên tố Y có hóa trị với O là 5

\(\% Y = \frac{{2.{M_Y}}}{{2.{M_Y} + 5.{M_O}}}.100 = 43,66\%  \to {M_Y} = 31\)

Đáp án D

Câu 15 :

Hai ion X+ và Y đều có cấu hình electron của khí hiếm Ar (Z=18). Cho các phát biểu sau:

(1) Số hạt mang điện của X nhiều hơn số hạt mang điện của Y là 4.

(2) Bán kính ion Y lớn hơn bán kính ion X+.

(3) X ở chu kì 3, còn Y ở chu kì 4 trong bảng hệ thống tuần hoàn.

(4) Độ âm điện của X nhỏ hơn độ âm điện của Y.

(5) X thuộc loại nguyên tố p.

Số phát biểu đúng

  • A.
    1.
  • B.
    2.
  • C.
    3.
  • D.
    4.

Đáp án : B

Phương pháp giải :

Dựa vào bảng tuần hoàn hóa học

Lời giải chi tiết :

Ion X+ đã nhường 1 electron để có cấu hình của Ar => X có 19 electron => X là K

Ion Yđã nhận 1 electron để có cấu hình của Ar => Y có 17 electron => Y là Cl

(1) đúng

(2) sai vì Cl chu kì 3, K thuộc chu kì 4 => bán kính của K lớn hơn Cl

(3) sai, X thuộc chu kì 4, Y thuộc chu kì 3

(4) đúng

(5) sai vì X thuộc nguyên tố s

Câu 16 :

Biểu diễn sự tạo thành ion nào sau đây đúng?

  • A.

    Na + le -> Na+.                                          

  • B.

    Cl2 -> 2Cl + 2e.

  • C.

    O2 + 2e -> 2O2-.                                          

  • D.

    Al -> Al3+ + 3e

Đáp án : D

Phương pháp giải :

Dựa vào

– Các nguyên tố nguyên nhóm A nhường đi số electron bằng số thứ tự của nhóm để tạo thành cấu hình khí hiếm

– Các nguyên tố phi kim nhóm A thường nhận thêm số electron bằng (8 – số thứ tự của nhóm) để tạo thành cấu hình khí hiếm

Lời giải chi tiết :

– Đáp án: D

– Sửa lại:

+ Đáp án A: Na -> Na+ + le

+ Đáp án B: Cl2 +2e -> 2Cl

+ Đáp án C: O2 + 4e -> 2O2-

Câu 17 :

Cho các chất sau: C2H6; H2O; NH3; PF3; C2H5OH. Số chất tạo được liên kết hydrogen là

  • A.

    2

  • B.

    3

  • C.

    4

  • D.

    5

Đáp án : B

Phương pháp giải :

Dựa vào

– Định nghĩa liên kết hydrogen: Liên kết hydrogen là một loại liên kết yếu, được hình thành giữa nguyên tử H (đã liên kết với một nguyên tử có độ âm điện lớn, thường là F, O, N) với một nguyên tử khác có độ âm điện lớn (thường là F, O, N) còn cặp electron hóa trị chưa tham gia liên kết

Lời giải chi tiết :

– Đáp án: B

– Giải thích: Các phân tử tạo được liên kết hydrogen là H2O; NH3; C2H5OH

Câu 18 :

Giữa H2O và HF có thể tạo ra ít nhất bao nhiêu kiểu liên kết hydrogen?

  • A.

    2

  • B.

    3

  • C.

    4

  • D.

    5

Đáp án : C

Phương pháp giải :

Dựa vào

– Phân loại liên kết hydrogen:

+ Liên kết hydrogen nội phân tử: là liên kết hydrogen được tạo thành trong chính phân tử chất đó

          Điều kiện để có liên kết hydrogen nội phân tử:

  • Hợp chất phải chứa từ 2 nhóm chức trở lên
  • Khi tạo thành liên kết hydrogen phải tạo được vòng 5 hoặc 6 cạnh

+ Liên kết hydrogen liên phân tử: là liên kết hydrogen được tạo thành giữa phân tử này và phân tử khác

Lời giải chi tiết :

H2O và HF có thể tạo ra 4 loại liên kết hydrogen

  1. Liên kết giữa 2 phân tử H2O:
  2. Liên kết giữa 2 phân tử HF: 
  3. Liên kết giữa phân tử H2O và HF:
  4. Liên kết giữa phân tử HF và H2O:

=>Đáp án: C

Câu 19 :

Nhiệt độ sôi của từng chất methane, ethane, propane và butane là một trong bốn nhiệt độ sau: 0 °C; -164 °C; -42 °C và -88 °C. Nhiệt độ sôi -88 °C là của chất nào sau đây

  • A.

    methane.         

  • B.

    propane.

  • C.

    ethane.             

  • D.

    butane.

Đáp án : C

Phương pháp giải :

Dựa vào

– Đặc điểm của tương tác van der Waals:

+ Tương tác van der Waals làm tăng nhiệt độ nóng chảy và nhiệt độ sôi của các chất

+ Khi khối lượng phân tử tăng, kích thước phân tử tăng thì tương tác van der Waals tăng

Lời giải chi tiết :

– Thứ tự tăng dần phân tử khối: methane < ethane < propane < butane

” Thứ tự tăng dần nhiệt độ sôi: -164 °C < -88 °C < -42 °C < 0 °C

=> Đáp án: C

Câu 20 :

Nguyên tử Y có tổng số hạt mang điện trong nguyên tử là 34. Số hạt mang điện nhiều hơn số hạt không mang điện 10 hạt. Vị trí của Y trong bảng tuần hoàn là

  • A.

    số thứ tự 17, chu kì 3, nhóm VIIA.

  • B.

    số thứ tự 11, chu kì 3, nhóm IA.

  • C.

    số thứ tự 11, chu kì 2, nhóm VIIA.

  • D.

    số thứ tự 17, chu kì 3, nhóm IA.

Đáp án : B

Phương pháp giải :

Dựa vào tổng số hạt trong nguyên tử Y

Lời giải chi tiết :

Ta có: p + n + e = 34

p + e = 10 + n

=> p = e = 11; n = 12

Vậy Y ở ô số 11, chu kì 3, nhóm IA

Đáp án B

II. Tự luận
Câu 1 :

Trong nguyên tử đồng (copper) có hai đồng vị bền là 63Cu và 65Cu. Nguyên tử khối trung bình của đồng là 63,54. Tính số mol mỗi loại đồng vị có trong 6,354 gam đồng.

Lời giải chi tiết :

Gọi phần trăm số nguyên tử của 63Cu là x% ⇒ của 65Cu là 100 – x %

Ta có: \(\overline {{A_{Cu}}}  = \frac{{63{\rm{x}} + 65(100 – x)}}{{100}} = 63,54\, \Rightarrow \,x = 73\)

\({n_{Cu}} = \frac{{6,354}}{{63,54}} = 0,1\,\,mol\, \Rightarrow \left\{ \begin{array}{l}{n_{^{63}Cu}} = 0,1.73\%  = 0,073\,mol\\{n_{^{65}Cu}} = 0,1 – 0,073 = 0,027\,mol\end{array} \right.\)

Câu 2 :

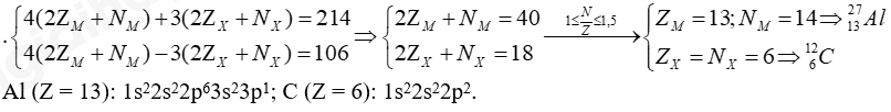
Hợp chất A có công thức M4X3. Tổng số hạt proton, electron và neutron trong phân tử A là 214. Tổng số hạt proton, neutron, electron của [M]4 nhiều hơn so với [X]3 trong A là 106.

  (a) Xác định công thức hóa học của A.

  (b) Viết cấu hình electron của các nguyên tử tạo nên A.

Lời giải chi tiết :

TẢI APP ĐỂ XEM OFFLINE