4. Bài 11. Cấu tạo hóa học hợp chất hữu cơ

Phát biểu nào sau đây là đúng?

Lựa chọn câu để xem lời giải nhanh hơn

11.1

Phát biểu nào sau đây là đúng?

A. Đồng đẳng là những chất có tỉ lệ thành phần nguyên tử trong phân tử giống nhau.

B. Đồng đẳng là những chất mà phân tử hơn kém nhau một hay nhiều nhóm CH2.

C. Đồng đẳng là những chất có cấu tạo hoá học tương tự nhau nên có tính chất hoá học cơ bản giống nhau, nhưng phân tử khác nhau một hay nhiều nhóm CH2.

D. Các hydrocarbon đều là đồng đẳng.

Phương pháp giải:

Những hợp chất có thành phần phân tử hơn kém nhau một hay nhiều nhóm CH2 nhưng có tính chất hoá học tương tự nhau là những chất đồng đẳng, chúng hợp thành dãy đồng đẳng với công thức chung xác định.

Lời giải chi tiết:

Đồng đẳng là những chất có cấu tạo hoá học tương tự nhau nên có tính chất hoá học cơ bản giống nhau, nhưng phân tử khác nhau một hay nhiều nhóm CH2.

→ Chọn C.

11.2

Phát biểu nào sau đây là đúng khi nói về đồng phân?

A. Những hợp chất có thành phần hoá học tương tự nhưng có cấu tạo khác nhau là những chất đồng phân.

B. Những hợp chất khác nhau nhưng có cấu tạo tương tự nhau là những chất đồng phân.

C. Những hợp chất khác nhau nhưng có cùng công thức phân tử là những chất đồng phân.

D. Những chất có cùng phân tử khối nhưng có cấu tạo hoá học khác nhau gọi là những chất đồng phân.

Phương pháp giải:

Những hợp chất khác nhau nhưng có cùng công thức phân tử được gọi là những chất đồng phân.

Lời giải chi tiết:

Những hợp chất khác nhau nhưng có cùng công thức phân tử là những chất đồng phân.

→ Chọn C.

11.3

Cặp chất nào sau đây là đồng phân của nhau?

A. CH4, CH3-CH3.                                              B. CH3OCH3, CH3CH=O.

C. CH3OH, C2H5OH.                                         D. C2H5OH, CH3OCH3.

Phương pháp giải:

Những hợp chất khác nhau nhưng có cùng công thức phân tử được gọi là những chất đồng phân.

Lời giải chi tiết:

C2H5OH và CH3OCH3 đều có công thức phân tử là C2H6O.

→ Chọn D.

11.4

Cặp chất nào sau đây là đồng đẳng của nhau?

A. CH3OH, CH3OCH3. ̧.                                     B. CH3OCH3, CH3CHO.

C. HCHO, CH3CHO.                                         D. CH3CH2OH, C3H5(OH)3·

Phương pháp giải:

Những hợp chất có thành phần phân tử hơn kém nhau một hay nhiều nhóm CH2 nhưng có tính chất hoá học tương tự nhau là những chất đồng đẳng, chúng hợp thành dãy đồng đẳng với công thức chung xác định.

Để biết được các hợp chất có tính chất hóa học giống nhau hay không, ta xét xem chúng có cùng nhóm chức hay không.

Lời giải chi tiết:

Chất

Nhóm chức

CH3OH

Alcohol (-OH) – đơn chức

CH3OCH3

Ether (-O-)

CH3CHO

Aldehyde (-CHO)

HCHO

Aldehyde (-CHO)

CH3CH2OH

Alcohol (-OH) – đơn chức

C3H5(OH)3

Alcohol (-OH) – đa chức

Ta thấy HCHO, CH3CHO đều là aldehyde no, hở, đơn chức.

→ Chọn C.

11.5

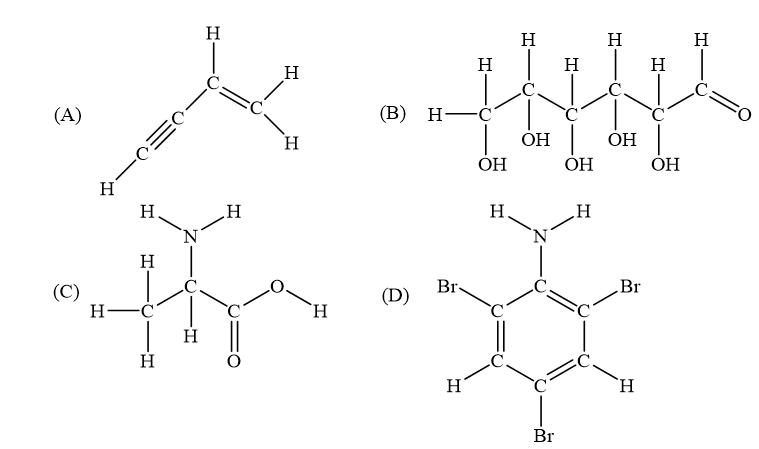
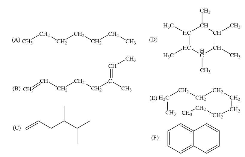
Hãy cho biết dạng mạch carbon tương ứng với các chất sau:

Phương pháp giải:

Trong phân tử hợp chất hữu cơ, carbon có hoá trị 4. Nguyên tử carbon không những có thể liên kết với nguyên tử của các nguyên tố khác mà còn liên kết với nhau tạo thành mạch carbon (mạch vòng, mạch hở, mạch nhánh, mạch không nhánh).

Lời giải chi tiết:

– Mạch hở, không nhánh: (A), (E).

– Mạch hở, có nhánh: (B), (C).

– Mạch vòng: (D), (F).

11.6

Viết công thức cấu tạo thu gọn của những hợp chất hữu cơ sau:

Phương pháp giải:

Trong công thức cấu tạo thu gọn: các nguyên tử, nhóm nguyên tử cùng liên kết với một nguyên tử carbon được viết thành một nhóm.

Lời giải chi tiết:

11.7

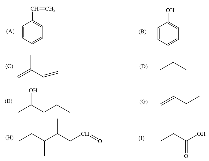
Viết công thức cấu tạo đầy đủ của những hợp chất hữu cơ sau:

Phương pháp giải:

Công thức cấu tạo đầy đủ biểu diễn đầy đủ tất cả các liên kết trên một mặt phẳng.

Lời giải chi tiết:

11.8

Viết công thức phân tử của các hợp chất trong bài 11.6 và bài 11.7.

Phương pháp giải:

Công thức phân tử cho biết số nguyên tử của các nguyên tố có trong phân t

Lời giải chi tiết:

– Bài 11.6: (A) C4H4; (B) C6H12O6; (C) C3H7O2N; (D) C6H4Br3N.

– Bài 11.7: (A) C8H8; (B) C6H6O; (C) C4H6; (D) C3H8; (E) C5H12O; (G) C4H8; (H) C8H16O; (I) C3H6O2.

11.9

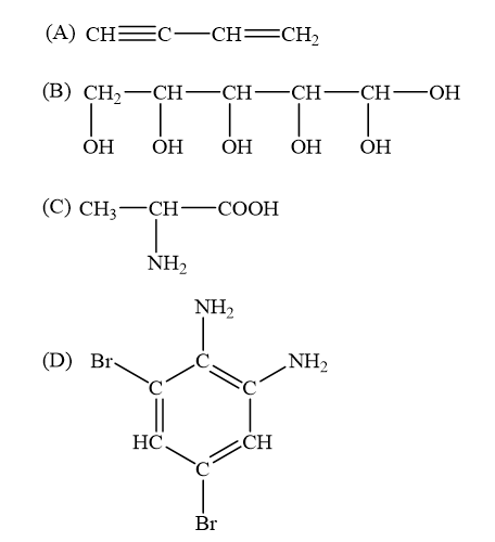
Cho các chất sau:

CH3CH2OH (a)                                                  (CH3)2CHCH2CH2OH (e)

CH3CH2CH2OH (b)                                           (CH3)3COH (g)

(CH3)2CHOH (c)                                                HOCH2CH2OH (h)

(CH3)2CHCH2OH (d)

Những chất nào thuộc dãy đồng đẳng của CH3OH (methanol)?

Phương pháp giải:

Những hợp chất có thành phần phân tử hơn kém nhau một hay nhiều nhóm CH2 nhưng có tính chất hoá học tương tự nhau là những chất đồng đẳng, chúng hợp thành dãy đồng đẳng với công thức chung xác định.

Lời giải chi tiết:

CH3OH (methanol) là alcohol đơn chức, no, mạch hở.

→ Các chất thuộc dãy đồng đẳng của CH3OH (methanol) là những alcohol đơn chức, no, mạch hở.

 Những chất thuộc dãy đồng đẳng của CH3OH (methanol): (a), (b), (c), (d), (e), (g).

11.10

Chất nào sau đây là đồng phân của CH3COOCH3; CH3COCH3; CH3CH2COOH; CH3OH; C2H5OCH3? Giải thích.

Phương pháp giải:

Những hợp chất khác nhau nhưng có cùng công thức phân tử được gọi là những chất đồng phân.

Lời giải chi tiết:

Công thức cấu tạo thu gọn

Công thức phân tử

CH3COOCH3

C3H6O2

CH3COCH3

C3H6O

CH3CH2COOH

C3H6O2

CH3OH

CH4O

C2H5OCH3

C3H8O

Vì CH3COOCH3 và CH3CH2COOH đều có công thức phân tử là C3H6O2 nên chúng là đồng phân của nhau.

11.11

Citronellol là hợp chất được sử dụng tạo mùi hương tự nhiên có nguồn gốc từ các loại thực vật như hoa hồng, phong lữ hoặc sả, có công thức cấu tạo đầy đủ như sau:

Trên thực tế, người ta dùng dạng công thức khung phân tử để biểu diễn cấu tạo của citronellol. Hãy biểu diễn công thức đó

Phương pháp giải:

Công thức khung phân tử: Dùng nét gạch để biểu diễn liên kết giữa các nguyên tử carbon với nhau và giữa carbon với nguyên tử khác mà không phải là hydrogen. Trong công thức khung phân tử chỉ ghi kí hiệu các nguyên tử khác C và H (trừ H nằm ở trong nhóm chức).

 

Lời giải chi tiết:

TẢI APP ĐỂ XEM OFFLINE