3. Bài 7. Hóa trị và công thức hóa học

Ở hình bên, ta thấy 1 nguyên tử carbon liên kết với 4 nguyên tử hydrogen hoặc chỉ liên kết với 2 nguyên tử oxygen; 1 nguyên tử oxygen liên kết được với 2 nguyên tử hydrogen Hãy cho biết mỗi nguyên tử của nguyên tố Cl, S, P, C trong các phân tử ở Hình 7.1 có khả năng liên kết với bao nhiêu nguyên tử H

Lựa chọn câu để xem lời giải nhanh hơn

CH tr 45 MĐ

Ở hình bên, ta thấy 1 nguyên tử carbon liên kết với 4 nguyên tử hydrogen hoặc chỉ liên kết với 2 nguyên tử oxygen; 1 nguyên tử oxygen liên kết được với 2 nguyên tử hydrogen;… Các nguyên tử liên kết với nhau theo nguyên tắc nào? Bằng cách nào để lập được công thức hóa học của các chất?

 

Lời giải chi tiết:

– Các nguyên tử liên kết với nhau theo nguyên tắc hóa trị: trong phân tử hợp chất 2 nguyên tố, tích hóa trị và số nguyên tử của nguyên tố này bằng tích hóa trị và số nguyên tử của nguyên tố kia

– Để lập được công thức hóa học của các chất:

   + Xác định công thức hóa học dựa vào phần trăm nguyên tố và khối lượng phân tử

   + Xác định công thức hóa học dựa vào quy tắc hóa trị

CH tr 45 CH

Hãy cho biết mỗi nguyên tử của nguyên tố Cl, S, P, C trong các phân tử ở Hình 7.1 có khả năng liên kết với bao nhiêu nguyên tử H

 

Phương pháp giải:

Quan sát Hình 7.1, đếm số nguyên tử H liên kết với các nguyên tử Cl, S, P, C trong phân tử

Lời giải chi tiết:

– Phân tử hydrogen chloride: 1 nguyên tử Cl liên kết với 1 nguyên tử H

– Phân tử hydrogen sulfur: 1 nguyên tử S liên kết với 2 nguyên tử H

– Phân tử phosphine: 1 nguyên tử P liên kết với 3 nguyên tử H

– Phân tử methane: 1 nguyên tử C liên kết với 4 nguyên tử H

CH tr 46 CH

Xác định hóa trị của các nguyên tố Cl, S, P trong các phân tử ở Hình 7.1

 

Phương pháp giải:

Người ta quy ước nguyên tố H luôn có hóa trị I. Nguyên tử của nguyên tố khác liên kết được với bao nhiêu nguyên tử H thì nguyên tố đó có hóa trị bằng bấy nhiêu

Lời giải chi tiết:

– Nguyên tử Cl liên kết với 1 nguyên tử H => Cl hóa trị I

– Nguyên tử S liên kết với 2 nguyên tử H => S hóa trị II

– Nguyên tử P liên kết với 3 nguyên tử H => P hóa trị III

CH tr 46 LT

Trong một hợp chất cộng hóa trị, nguyên tố X có hóa trị IV. Theo em, 1 nguyên tử X có khả năng liên kết với bao nhiêu nguyên tử O hoặc bao nhiêu nguyên tử H?

Phương pháp giải:

Tham khảo ví dụ 1 trang 46: Nguyên tử C có hóa trị IV, có thể liên kết với 4 nguyên tử H hoặc liên kết với 2 nguyên tử O

Lời giải chi tiết:

– Nguyên tử X có hóa trị IV

=> 1 nguyên tử X có khả năng liên kết với 2 nguyên tử O hoặc 4 nguyên tử H

CH tr 46 VD

Trong tự nhiên, silicon oxide có trong cát, đất sét,… Em hãy xác định hóa trị của nguyên tố silicon trong silicon dioxide. Tìm hiểu qua sách báo và internet, cho biết các ứng dụng của hợp chất này.

 

Phương pháp giải:

Trong phân tử silicon dioxide có 1 nguyên tử Si, 2 nguyên tử O

Lời giải chi tiết:

– 1 nguyên tử O góp chung 2 electron

=> 2 nguyên tử O góp chung 4 electron

– 1 nguyên tử S liên kết với 2 nguyên tử O

=> Si góp chung 4 electron

=> Nguyên tố Silicon có hóa trị IV

– Ứng dụng của silicon dioxide

   + Sản xuất kính cửa sổ, lọ thủy tinh

   + Lọc nước, xử lí nước tinh khiết

   + Sản xuất xi măng

   + Sản xuất đồ gốm
   + Góp phần sản xuất xà phòng và chất nhuộm màu

CH tr 46 CH

Em hãy so sánh về tích của hóa trị và số nguyên tử của 2 nguyên tố trong phân tử mỗi hợp chất ở Bảng 7.1

Phương pháp giải:

– So sánh tích hóa trị và số nguyên tử của 2 nguyên tố

Lời giải chi tiết:

– Xét phân tử nước: I x 2 = II x 1

=> Tích hóa trị và số nguyên tử H = Tích hóa trị và số nguyên tử O

– Xét phân tử hydrogen chloride: I x 1 = I x 1

=> Tích hóa trị và số nguyên tử H = Tích hóa trị và số nguyên tử Cl

– Xét phân tử aluminium chloride: III x 1 = I x 3

=> Tích hóa trị và số nguyên tử Al = Tích hóa trị và số nguyên tử Cl

CH tr 46 LT

Dựa vào hóa trị các nguyên tố ở bảng Phụ lục 1 trang 187, em hãy cho biết một nguyên tử Ca có thể kết hợp với bao nhiêu nguyên tử Cl hoặc bao nhiêu nguyên tử O

Phương pháp giải:

Quy tắc hóa trị: Trong phân tử hợp chất hai nguyên tố, tích hóa trị và số nguyên tử của nguyên tố này bằng tích hóa trị và số nguyên tử của nguyên tố kia

Lời giải chi tiết:

– Xét nguyên tố Ca và Cl: 1 nguyên tử Ca có hóa trị II liên kết với a nguyên tử Cl có hóa trị I

=> Áp dụng quy tắc hóa trị: II x 1 = I x a

=> a = 2

=> 1 nguyên tử Ca liên kết với 2 nguyên tử Cl

– Xét nguyên tố Ca và O: 1 nguyên tử Ca có hóa trị II liên kết với b nguyên tử O có hóa trị II

=> Áp dụng quy tắc hóa trị: II x 1 = II x b

=> b = 1

=> 1 nguyên tử Ca liên kết với 1 nguyên tử O

CH tr 47 CH

Dựa vào Ví dụ 2, em hãy hoàn thành bảng sau:

 

Phương pháp giải:

Ví dụ 2: Phân tử khí hydrogen được tạo thành từ 2 nguyên tử hydrogen liên kết với nhau

=> Công thức hóa học của phân tử khí hydrogen là H2

=> Công thức hóa học của đơn chất được biểu diễn bằng kí hiệu nguyên tố hóa học kèm với chỉ số ghi ở bên dưới. Chỉ số là những số nguyên, cho biết số nguyên tử của mỗi nguyên tố trong phân tử

Lời giải chi tiết:

 

CH tr 47 CH

Kể tên và viết công thức hóa học các đơn chất kim loại và đơn chất phi kim ở thể rắn

Phương pháp giải:

– Đối với đơn chất kim loại, hạt hợp thành là nguyên tử nên kí hiệu hóa học của nguyên tố kim loại được coi là công thức hóa học của đơn chất kim loại

– Với 1 số đơn chất phi kim ở thể rắn, quy ước công thức hóa học là kí hiệu nguyên tố

Lời giải chi tiết:

– Đơn chất kim loại

   + Sodium: Na

   + Copper: Cu

   + Iron: Fe

   + Potassium: K

– Đơn chất phi kim:

   + Carbon: C

   + Sulfur: S

   + Phosphorus: P

   + Silicon: Si

CH tr 48 CH

Em hãy hoàn thành bảng sau

Phương pháp giải:

– Công thức hóa học của hợp chất gồm kí hiệu hóa học của những nguyên tố tạo ra hợp chất kèm theo chỉ số ở dưới chân bên phải kí hiệu hóa học. Chỉ số là những số nguyên, cho biết số nguyên tử của mỗi nguyên tố

– Khối lượng phân tử = Tổng khối lượng các nguyên tử

Lời giải chi tiết:

CH tr 48 CH

Công thức hóa học của iron(III) oxide là Fe2O3, hãy cho biết thành phần nguyên tố, số lượng nguyên tử của mỗi nguyên tố và tính khối lượng phân tử

Phương pháp giải:

– Công thức hóa học của hợp chất gồm kí hiệu hóa học của những nguyên tố tạo ra hợp chất kèm theo chỉ số ở dưới chân bên phải kí hiệu hóa học. Chỉ số là những số nguyên, cho biết số nguyên tử của mỗi nguyên tố

– Khối lượng phân tử = Tổng khối lượng các nguyên tử

Lời giải chi tiết:

– Phân tử iron(III) oxide có công thức hóa học là: Fe2O3. Gồm có

   + 2 nguyên tử của nguyên tố Fe, 3 nguyên tử của nguyên tố O

   + Khối lượng phân tử = 56 x 2 + 16 x 3 = 160 amu

CH tr 48 CH

Công thức hóa học của một chất cho biết được những thông tin gì?

Phương pháp giải:

– Công thức hóa học của hợp chất gồm kí hiệu hóa học của những nguyên tố tạo ra hợp chất kèm theo chỉ số ở dưới chân bên phải kí hiệu hóa học. Chỉ số là những số nguyên, cho biết số nguyên tử của mỗi nguyên tố

– Khối lượng phân tử = Tổng khối lượng các nguyên tử

Lời giải chi tiết:

– Công thức hóa học của 1 chất cho biết:

   + Nguyên tố tạo nên chất đó

   + Số nguyên tử của nguyên tố tạo nên chất

   + Khối lượng phân tử của chất

CH tr 48 CH

Tính phần trăm mỗi nguyên tố có trong các hợp chất: Al2O3, MgCl2, Na2S, (NH4)2CO3

Phương pháp giải:

Với hợp chất: AxBy ta có: 

Tổng tất cả các phần trăm nguyên tố trong một phân tử luôn bằng 100%

Lời giải chi tiết:

– Xét phân tử Al2O3:

– Xét phân tử MgCl2:

– Xét phân tử Na2S:

 

– Xét phân tử (NH4)2CO3:

CH tr 49 LT

Viết công thức hóa học của phosphoric acid có cấu tạo từ hydrogen và nhóm phosphate. Trong phosphoric aicd, nguyên tố nào có phần trăm lớn nhất?

Phương pháp giải:

– Hydrogen: Kí hiệu hóa học là H, có hóa trị I

– Nhóm phosphate: Kí hiệu hóa học là PO4, hóa trị III

– Áp dụng quy tắc hóa trị

– Các tính phần trăm khối lượng nguyên tố: Với hợp chất: AxBy ta có: 

Lời giải chi tiết:

– Hydrogen: Kí hiệu hóa học là H, có hóa trị I

– Nhóm phosphate: Kí hiệu hóa học là PO4, hóa trị III

– Gọi công thức hóa học phosphoric acid là Hx(PO4)y

– Theo quy tắc hóa trị: I.x = III.y

Thường thì tỉ lệ số nguyên tử trong phân tử là những số nguyên đơn giản nhất => x = 3 và y =1

=> Công thức hóa học của hợp chất: H3PO4

=> Nguyên tố O có phần trăm khối lượng lớn nhất

CH tr 49 CH

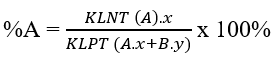
Phân tử X có 75% khối lượng là aluminium, còn lại là carbon. Xác định công thức phân tử của X, biết khối lượng phân tử của nó là 144 amu

Phương pháp giải:

Bước 1: Đặt công thức hóa học cần tìm (công thức tổng quát): AlxCy

Bước 2: Lập biểu thức tính phần trăm nguyên tố có trong hợp chất

Bước 3: Xác định số nguyên tử của mỗi nguyên tố và viết công thức hóa học cần tìm

Lời giải chi tiết:

CH tr 49 LT

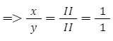
Hợp chất (Y) có công thức FexOy, trong đó Fe chiếm 70% theo khối lượng. Khối lượng phân tử (Y) là 160 amu. Xác định công thức hóa học của hợp chất (Y)

Phương pháp giải:

Bước 1: Lập biểu thức tính phần trăm nguyên tố có trong hợp chất

Bước 2: Xác định số nguyên tử của mỗi nguyên tố và viết công thức hóa học cần tìm

Lời giải chi tiết:

CH tr 50 VD

Pháo hoa có thành phần nhiên liệu nổ gồm sulfur, than và hợp chất (Z). Hợp chất (Z) gồm nguyên tố potassium, nitrogen và oxygen với các tỉ lệ phần trăm tương ứng là 38,61%, 13,86% và 47,53%. Khối lượng phân tử hợp chất (Z) là 101 amu. Xác định công thức hóa học của (Z).

Tìm hiểu qua sách, báo và internet, em hãy cho biết một số ứng dụng của hợp chất (Z)

Phương pháp giải:

Bước 1: Đặt công thức hóa học cần tìm (công thức tổng quát): KxNyOz

Bước 2: Lập biểu thức tính phần trăm nguyên tố có trong hợp chất

Bước 3: Xác định số nguyên tử của mỗi nguyên tố và viết công thức hóa học cần tìm

Lời giải chi tiết:

– Gọi công thức của hợp chất Z là: KxNyOz

– Khối lượng phân tử của hợp chất Z = 101 amu

=> Công thức hóa học của (Z) là: KNO3

– Ứng dụng của hợp chất KNO3:

   + Là một loại phân bón cung cấp các chất dinh dưỡng cho cây

   + Chế tạo thuốc nổ

   + Chất phụ gia để bảo quan thịt chống ôi thiu

   + Sử dụng trong kem đánh răng

CH tr 50 CH

Dựa vào công thức (2), hãy tính hóa trị của của nguyên tố 

a) N trong phân tử NH3

b) S trong phân tử SO2, SO3

c) P trong phân tử P2O5

Phương pháp giải:

Áp dụng công thức: a.x = b.y

Trong hợp chất, H luôn có hóa trị I, O luôn có hóa trị II

Lời giải chi tiết:

a) Công thức hóa học: \(N_1^xH_3^I\)

Theo quy tắc hóa trị: x.1 = 3.I

=> x = III

Vậy hóa trị của N trong NH3 là III

b) Công thức hóa học: \(S_1^xO_2^II\)

Theo quy tắc hóa trị: 1.x = 2.II

=> x = IV

Vậy hóa trị của S trong SO2 là IV

Công thức hóa học: \(S_1^xO_3^II\)

Theo quy tắc hóa trị: 1.x = 3.II

=> x = VI

Vậy hóa trị của S trong SO3 là VI

c) Công thức hóa học: \(P_2^xO_5^II\)

Theo quy tắc hóa trị: 2.x = 5.II

=> x = V

Vậy hóa trị của P trong P2O5 là V

CH tr 50 LT

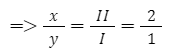
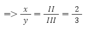
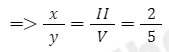
Dựa vào Ví dụ 8, 9 và các bảng hóa trị ở Phụ lục trang 187, hãy xác định công thức hóa học của các hợp chất tạo bởi:

a) potassium và sulfate

b) aluminium và carbonate

c) magnesium và nitrate

Phương pháp giải:

– Gọi công thức hóa học chung

– Áp dụng quy tắc hóa trị

– Chia tỉ lệ

Lời giải chi tiết:

a) Gọi công thức hóa học chung: 

\({\mathop K\limits^I _x}({\mathop {S{O_4})}\limits^{II} _y}\)

Áp dụng quy tắc hoá trị: x.I = II.y

Ta có: x:y = II:I = 2:1

=> x = 2, y = 1

Công thức hóa học là: K2SO4

b) Gọi công thức hóa học chung: \({\mathop {Al}\limits^{III} _x}{(\mathop {C{O_3}}\limits^{II} )_y}\)

Áp dụng quy tắc hóa trị: III.x = II.y

Ta có: x:y = II:III = 2:3

=> x = 2, y = 3

Công thức hóa học là: Al2(CO3)3

c) Gọi công thức hóa học chung: 

\({\mathop {Mg}\limits^{II} _x}{(\mathop {N{O_3}}\limits^I )_y}\)

Áp dụng quy tắc hóa trị: II.x = I.y

Ta có: x:y = I:II = 1:2

=> x = 1, y = 2

Công thức hóa học là Mg(NO3)2

CH tr 51 VD

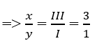
Bột thạch cao có nhiều ứng dụng quan trọng trong đời sống. Thành phần chính của bột thạch cao là hợp chất (M) gồm calcium và gốc sulfate. Xác định công thức hóa học của hợp chất (M). Tìm hiểu thông qua sách, báo, internet và cho biết các ứng dụng của thạch cao

Phương pháp giải:

– Gọi công thức hóa học chung

– Áp dụng quy tắc hóa trị

– Chia tỉ lệ

Lời giải chi tiết:

Gọi công thức hóa học chung: \({\mathop Ca\limits^II _x}{(\mathop {S{O_4}}\limits^{II} )_y}\)

Theo quy tắc hóa trị: II.x = II.y

Ta có: x:y = II:II = 1:1

=> x = 1, y = 1

Công thức hóa học của hợp chất M là CaSO4

– Ứng dụng của thạch cao là:

   + Trong xây dựng: làm tường, trần, vách thạch cao

   + Trong y tế: bó bột cho bệnh nhân

   + Ứng dụng của thạch cao trong điêu khắc, đắp tượng

CH tr 51 BT1

Viết công thức hóa học các hợp chất tạo bởi oxygen và mỗi nguyên tố sau: potassium, magnesium, aluminium, phosphorus (hóa trị V)

Phương pháp giải:

Bước 1: Đặt công thức hóa học tổng quát là AxOy

Bước 2: Áp dụng quy tắc hóa trị => Tìm ra giá trị của x và y

Lời giải chi tiết:

– Xét hợp chất của oxygen và potassium:

   + Gọi công thức phân tử: KxOy (K có hóa trị I, O có hóa trị II)

   + Áp dụng quy tắc hóa trị => I.x = II.y

   + Thường thì tỉ lệ số nguyên tử trong phân tử là những số nguyên đơn giản nhất => x = 2 và y =1

=> Công thức hóa học của hợp chất: K2O

– Xét hợp chất của oxygen và magnesium:

   + Gọi công thức phân tử: MgxOy (Mg có hóa trị II, O có hóa trị II)

   + Áp dụng quy tắc hóa trị => II.x = II.y

   + Thường thì tỉ lệ số nguyên tử trong phân tử là những số nguyên đơn giản nhất => x = 1 và y =1

=> Công thức hóa học của hợp chất: MgO

– Xét hợp chất của oxygen và aluminium:

   + Gọi công thức phân tử: AlxOy (Al có hóa trị III, O có hóa trị II)

   + Áp dụng quy tắc hóa trị => III.x = II.y

   + Thường thì tỉ lệ số nguyên tử trong phân tử là những số nguyên đơn giản nhất => x = 2 và y =3

=> Công thức hóa học của hợp chất: Al2O3

– Xét hợp chất của oxygen và phosphorus:

   + Gọi công thức phân tử: PxOy (P có hóa trị V, O có hóa trị II)

   + Áp dụng quy tắc hóa trị => V.x = II.y

   + Thường thì tỉ lệ số nguyên tử trong phân tử là những số nguyên đơn giản nhất => x = 2 và y =5

=> Công thức hóa học của hợp chất: P2O5


CH tr 51 BT2

Dựa vào bảng hóa trị ở Phụ lục trang 187, em hãy hoàn thành bảng sau:

Phương pháp giải:

 

– Công thức hóa học: Áp dụng quy tắc hóa trị

– Khối lượng phân tử = tổng khối lượng các nguyên tử tạo nên phân tử đó

Lời giải chi tiết:

– Xét phân tử sodium sulfide: NaxSy (Na hóa trị I, S hóa trị II)

   + Áp dụng quy tắc hóa trị => I.x = II.y

=> x:y = II:I = 2:1

   + Thường thì tỉ lệ số nguyên tử trong phân tử là những số nguyên đơn giản nhất => x = 2 và y =1

=> Công thức hóa học của hợp chất: Na2S

=> Khối lượng phân tử = 23 x 2 + 32.1 = 78 amu

– Xét phân tử Aluminium nitride: AlxNy (Al hóa trị III, N hóa trị III)

   + Áp dụng quy tắc hóa trị => III.x = III.y

=> x:y = III:III = 1:1

   + Thường thì tỉ lệ số nguyên tử trong phân tử là những số nguyên đơn giản nhất => x = 1 và y =1

=> Công thức hóa học của hợp chất: AlN

=> Khối lượng phân tử = 27 x 1 + 14 x 1 = 41 amu

– Xét phân tử Copper (II) sulfate: CuxSy (Cu hóa trị II, S hóa trị II)

   + Áp dụng quy tắc hóa trị => II.x = II.y

=> x:y = II:II = 1:1

   + Thường thì tỉ lệ số nguyên tử trong phân tử là những số nguyên đơn giản nhất => x = 1 và y =1

=> Công thức hóa học của hợp chất: CuS

=> Khối lượng phân tử = 64 x 1 + 32 x 1 = 96 amu

– Xét phân tử Iron(III) hydroxide: Fex(OH)y (Fe hóa trị III, OH hóa trị I)

   + Áp dụng quy tắc hóa trị => III.x = I.y

=> x:y = I:III = 1:3

   + Thường thì tỉ lệ số nguyên tử trong phân tử là những số nguyên đơn giản nhất => x = 1 và y =3

=> Công thức hóa học của hợp chất: Fe(OH)3

=> Khối lượng phân tử = 56×1 + (16×1 + 1×1) x 1 = 107 amu

– Hoàn thành bảng:



CH tr 51 BT3

Thạch nhũ trong hang động có thành phần chính là hợp chất (T). Phân tử (T) có cấu tạo từ nguyên tố calcium, carbon và oxygen với các tỉ lệ phần trăm tương ứng là 40%, 12% và 48%. Khối lượng phân tử (T) là 100 amu. Hãy xác định công thức hóa học của T

 

Phương pháp giải:

Bước 1: Đặt công thức hóa học cần tìm (công thức tổng quát): CaxCyOz

Bước 2: Lập biểu thức tính phần trăm nguyên tố có trong hợp chất

Bước 3: Xác định số nguyên tử của mỗi nguyên tố và viết công thức hóa học cần tìm

Lời giải chi tiết:


TẢI APP ĐỂ XEM OFFLINE

Tổng hợp danh pháp các nguyên tố hóa học

Mở đầu

Phần Hóa học

Phần Vật lí

Phần Sinh học