3. Bài 3: Giao thoa sóng

Đề bài

Câu 1 :

 Điều kiện có giao thoa sóng là gì?

  • A.
    Có hai sóng chuyển động ngược chiều giao nhau.
  • B.
    Có hai sóng cùng tần số và có độ lệch pha không đổi.
  • C.
    Có hai sóng cùng bước sóng giao nhau.
  • D.
    Có hai sóng cùng biên độ, cùng tốc độ giao nhau.

Câu 2 :

 Thế nào là 2 sóng kết hợp?

  • A.
    Hai sóng chuyển động cùng chiều và cùng tốc độ.
  • B.
    Hai sóng luôn đi kèm với nhau.
  • C.
    Hai sóng có cùng tần số và có độ lệch pha không đổi theo thời gian.
  • D.
    Hai sóng có cùng bước sóng và có độ lệch pha biến thiên tuần hoàn.

Câu 3 :

 Có hiện tượng gì xảy ra khi một sóng mặt nước gặp một khe chắn hẹp có kích thước nhỏ hơn bước sóng?

  • A.
    Sóng vẫn tiếp tục truyền thẳng qua khe.
  • B.
    Sóng gặp khe phản xạ trở lại.
  • C.
    Sóng truyền qua khe giống như một tâm phát sóng mới.
  • D.
    Sóng gặp khe rồi dừng lại.

Câu 4 :

Mạch dao động của một máy thu vô tuyến điện, tụ điện có điện dung biến thiên từ 56 pF đến 667 pF. Muốn cho máy thu bắt được các sóng từ 40 m đến 2600 m, bộ cuộn cảm trong mạch phải có độ tự cảm nằm trong giới hạn nào?

  • A.
    Từ 8 µH trở lên.
  • B.
    Từ 2,84 mH trở xuống.
  • C.
    Từ 8 µH đến 2,84 mH.
  • D.
    Từ 8 mH đến 2,84 µH.

Câu 5 :

 Phát biểu nào sau đây là không đúng?

  • A.
    Khi xảy ra hiện tượng giao thoa sóng trên mặt chất lỏng, tồn tại các điểm dao động với biên độ cực đại.
  • B.
    Khi xảy ra hiện tượng giao thoa sóng trên mặt chất lỏng, tồn tại các điểm không dao động.
  • C.
    Khi xảy ra hiện tượng giao thoa sóng trên mặt chất lỏng, các điểm không dao động tạo thành các vân cực tiểu.
  • D.
    Khi xảy ra hiện tượng giao thoa sóng trên mặt chất lỏng, các điểm dao động mạnh tạo thành các đường thẳng cực đại.

Câu 6 :

 Trong hiện tượng giao thoa sóng trên mặt nước, khoảng cách giữa hai cực đại liên tiếp nằm trên đường nối hai tâm sóng bằng bao nhiêu?

  • A.
    bằng hai lần bước sóng.             
  • B.
    bằng một bước sóng.
  • C.
    bằng một nửa bước sóng.             
  • D.
    bằng một phần tư bước sóng.

Câu 7 :

 Trong thí nghiệm tạo vân giao thoa sóng trên mặt nước, người ta dùng nguồn dao động có tần số 50Hz và đo được khoảng cách giữa hai vân cực tiểu liên tiếp nằm trên đường nối hai tâm dao động là 2mm. Bước sóng của sóng trên mặt nước là bao nhiêu?

  • A.
    λ = 1mm.              
  • B.
    λ = 2mm.
  • C.
    λ = 4mm.              
  • D.
    λ = 8mm.

Câu 8 :

 Trong thí nghiệm tạo vân giao thoa sóng trên mặt nước, người ta dùng nguồn dao động có tần số 100Hz và đo được khoảng cách giữa hai vân tối liên tiếp nằm trên đường nối hai tâm dao động là 4mm. Tốc độ sóng trên mặt nước là bao nhiêu?

  • A.
    v = 0,2m/s.             
  • B.
    v = 0,4m/s.
  • C.
    v = 0,6m/s.             
  • D.
    v = 0,8m/s.

Câu 9 :

 Trong thí nghiệm giao thoa sóng trên mặt nước, hai nguồn kết hợp A, B dao động với tần số 20Hz, tại một điểm M cách A và B lần lượt là 16cm và 20cm, sóng có biên độ cực đại, giữa M và đường trung trực của AB có 3 dãy cực đại khác. Tốc độ truyền sóng trên mặt nước là bao nhiêu?

  • A.
    v = 20cm/s.             
  • B.
    v = 26,7cm/s.
  • C.
    v = 40cm/s.             
  • D.
    v = 53,4cm/s.

Lời giải và đáp án

Câu 1 :

 Điều kiện có giao thoa sóng là gì?

  • A.
    Có hai sóng chuyển động ngược chiều giao nhau.
  • B.
    Có hai sóng cùng tần số và có độ lệch pha không đổi.
  • C.
    Có hai sóng cùng bước sóng giao nhau.
  • D.
    Có hai sóng cùng biên độ, cùng tốc độ giao nhau.

Đáp án : B

Lời giải chi tiết :

Chọn B.

Xem điều kiện giao thoa của sóng.

Câu 2 :

 Thế nào là 2 sóng kết hợp?

  • A.
    Hai sóng chuyển động cùng chiều và cùng tốc độ.
  • B.
    Hai sóng luôn đi kèm với nhau.
  • C.
    Hai sóng có cùng tần số và có độ lệch pha không đổi theo thời gian.
  • D.
    Hai sóng có cùng bước sóng và có độ lệch pha biến thiên tuần hoàn.

Đáp án : C

Lời giải chi tiết :

Chọn C.

Xem điều kiện giao thoa của sóng.

Câu 3 :

 Có hiện tượng gì xảy ra khi một sóng mặt nước gặp một khe chắn hẹp có kích thước nhỏ hơn bước sóng?

  • A.
    Sóng vẫn tiếp tục truyền thẳng qua khe.
  • B.
    Sóng gặp khe phản xạ trở lại.
  • C.
    Sóng truyền qua khe giống như một tâm phát sóng mới.
  • D.
    Sóng gặp khe rồi dừng lại.

Đáp án : C

Lời giải chi tiết :

Chọn C.

Xem nhiễu xạ ánh sáng.

Câu 4 :

Mạch dao động của một máy thu vô tuyến điện, tụ điện có điện dung biến thiên từ 56 pF đến 667 pF. Muốn cho máy thu bắt được các sóng từ 40 m đến 2600 m, bộ cuộn cảm trong mạch phải có độ tự cảm nằm trong giới hạn nào?

  • A.
    Từ 8 µH trở lên.
  • B.
    Từ 2,84 mH trở xuống.
  • C.
    Từ 8 µH đến 2,84 mH.
  • D.
    Từ 8 mH đến 2,84 µH.

Đáp án : C

Lời giải chi tiết :

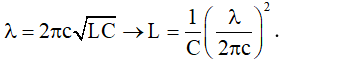
– Bước sóng mà mạch LC có thể bắt được:

→ Với dãi sóng từ 40 m đến 2600 m ta tìm được khoảng giá trị tương ứng của L từ:

Đến:

Đáp án C

Câu 5 :

 Phát biểu nào sau đây là không đúng?

  • A.
    Khi xảy ra hiện tượng giao thoa sóng trên mặt chất lỏng, tồn tại các điểm dao động với biên độ cực đại.
  • B.
    Khi xảy ra hiện tượng giao thoa sóng trên mặt chất lỏng, tồn tại các điểm không dao động.
  • C.
    Khi xảy ra hiện tượng giao thoa sóng trên mặt chất lỏng, các điểm không dao động tạo thành các vân cực tiểu.
  • D.
    Khi xảy ra hiện tượng giao thoa sóng trên mặt chất lỏng, các điểm dao động mạnh tạo thành các đường thẳng cực đại.

Đáp án : D

Lời giải chi tiết :

Chọn D.

Khi xảy ra hiện tượng giao thoa sóng trên mặt chất lỏng, các điểm dao động mạnh tạo thành một đường thẳng cực đại, còn các đường cực đại khác là các đường hypebol.

Câu 6 :

 Trong hiện tượng giao thoa sóng trên mặt nước, khoảng cách giữa hai cực đại liên tiếp nằm trên đường nối hai tâm sóng bằng bao nhiêu?

  • A.
    bằng hai lần bước sóng.             
  • B.
    bằng một bước sóng.
  • C.
    bằng một nửa bước sóng.             
  • D.
    bằng một phần tư bước sóng.

Đáp án : C

Lời giải chi tiết :

Chọn C.

Lấy M và N nằm trên đường nối hai tâm sóng A, B; M nằm trên cực đại thứ k, N nằm trên cực đại thứ (k + 1). Ta có AM – BM = kλ và AN – BN = (k + 1)λ

→ (AN – BN) – (AM – BM) = (k + 1)λ – kλ ⇒ (AN – AM) + (BM – BN) = λ ⇒ MN = λ/2.

Câu 7 :

 Trong thí nghiệm tạo vân giao thoa sóng trên mặt nước, người ta dùng nguồn dao động có tần số 50Hz và đo được khoảng cách giữa hai vân cực tiểu liên tiếp nằm trên đường nối hai tâm dao động là 2mm. Bước sóng của sóng trên mặt nước là bao nhiêu?

  • A.
    λ = 1mm.              
  • B.
    λ = 2mm.
  • C.
    λ = 4mm.              
  • D.
    λ = 8mm.

Đáp án : C

Lời giải chi tiết :

Chọn C.

Khoảng cách giữa 2 vân tối liên tiếp trên đường nối 2 tâm sóng là λ/2

Câu 8 :

 Trong thí nghiệm tạo vân giao thoa sóng trên mặt nước, người ta dùng nguồn dao động có tần số 100Hz và đo được khoảng cách giữa hai vân tối liên tiếp nằm trên đường nối hai tâm dao động là 4mm. Tốc độ sóng trên mặt nước là bao nhiêu?

  • A.
    v = 0,2m/s.             
  • B.
    v = 0,4m/s.
  • C.
    v = 0,6m/s.             
  • D.
    v = 0,8m/s.

Đáp án : D

Lời giải chi tiết :

Chọn D.

Khoảng cách giữa hai vân tối liên tiếp trên đường nối hai tâm sóng là λ/2, công thức tính vận tốc sóng v = λf.

Câu 9 :

 Trong thí nghiệm giao thoa sóng trên mặt nước, hai nguồn kết hợp A, B dao động với tần số 20Hz, tại một điểm M cách A và B lần lượt là 16cm và 20cm, sóng có biên độ cực đại, giữa M và đường trung trực của AB có 3 dãy cực đại khác. Tốc độ truyền sóng trên mặt nước là bao nhiêu?

  • A.
    v = 20cm/s.             
  • B.
    v = 26,7cm/s.
  • C.
    v = 40cm/s.             
  • D.
    v = 53,4cm/s.

Đáp án : A

Lời giải chi tiết :

Chọn A.

Giữa M và đường trung trực của AB có 3 dãy cực đại khác suy ra M nằm trên đường k = 4, với điểm M còn thoả mãn BM – AM = kλ. Suy ra 4λ = 20 – 16 = 4cm → λ = 1cm, áp dụng công thức v = λf = 20cm/s.

TẢI APP ĐỂ XEM OFFLINE