25. Ôn tập về phép nhân, phép chia trong phạm vi 1 000

Tìm phép chia sai rồi sửa lại cho đúng: Đặt dấu ngoặc ( ) vào các biểu thức sau để được các biểu thức có giá trị đúng

Lựa chọn câu để xem lời giải nhanh hơn

Bài 1

Video hướng dẫn giải

a) Số?

b) Tính:

Phương pháp giải:

a) Tính nhẩm kết quả các phép tính theo chiều mũi tên rồi viết số thích hợp vào ô trống.

b) Nếu trong biểu thức có các phép tính cộng, trừ, nhận, chia thì ta thực hiện phép tính nhân, chia trước, thực hiện phép tính cộng, trừ sau.

Lời giải chi tiết:

a)

b)

Bài 2

Video hướng dẫn giải

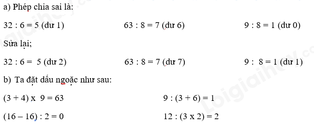
a) Tìm phép chia sai rồi sửa lại cho đúng:

b) Đặt dấu ngoặc ( ) vào các biểu thức sau để được các biểu thức có giá trị đúng:

Phương pháp giải:

a) Thực hiện phép chia rồi kết luận.

b) Đặt dấu ngoặc vào vị trí thích hợp để được biểu thức có giá trị đúng.

Lời giải chi tiết:

Bài 3

Video hướng dẫn giải

Số?

Phương pháp giải:

– Để thêm 4 đơn vị (hoặc bớt 4 đơn vị) vào số đã cho em cộng (hoặc trừ) số đó với 4.

– Để gấp một số lên 4 lần ta lấy số đó nhân với 4.

– Để giảm một số 4 lần ta lấy số đó chia cho 4.

Lời giải chi tiết:

Bài 3

Video hướng dẫn giải

Cây phong ba và cây bàng vuông là loài cây có ở quần đảo Trường Sa của Việt Nam. Nhân dịp Tết trồng cây, người ta trồng 9 cây phong ba và trồng số cây bàng vuông nhiều gấp 4 lần số cây phong ba. Hỏi tổng số cây phong ba và cây bàng vuông đã được trồng trong dịp này là bao nhiêu cây?

Phương pháp giải:

Bước 1: Tìm số cây bàng vuông = số cây phong ba x 4

Bước 2: Số cây trồng được tất cả = Số cây phong ba + số cây bàng vuông

Lời giải chi tiết:

Tóm tắt

Cây phong ba: 9 cây

Cây bàng vuông: gấp 4 lần số cây phong ba

Tất cả: … cây?

Bài giải

Số cây bàng vuông trồng được là

9 x 4 = 36 (cây)

Tổng số cây phong ba và cây bàng vuông đã được trồng là

9 + 36 = 45 (cây)

Đáp số: 45 cây

Bài 5

Video hướng dẫn giải

Đặt tính rồi tính.

Phương pháp giải:

a) Đặt tính sao cho các chữ số cùng hàng thẳng cột với nhau.

    Tính theo thứ tự từ phải sang trái.

b) Đặt tính rồi chia theo thứ tự từ trái sang phải.

Lời giải chi tiết:

Bài 6

Video hướng dẫn giải

Mẹ may mỗi chiếc rèm hết 6 m vải. Hỏi:

a) Có 24 m vải mẹ may được mấy chiếc rèm như thế?

b) Mẹ may 11 chiếc rèm như thế hết bao nhiêu mét vải?

Phương pháp giải:

a) Số chiếc rèm may được = Số mét vải có tất cả : Số mét vải để may 1 chiếc rèm

b) Số mét vải để may 11 chiếc rèm = Số mét vải để may một chiếc rèm x 11

Lời giải chi tiết:

a) Số chiếc rèm mẹ may được từ 24 mét vải là

             24 : 6 = 4 (chiếc rèm)

b) Mẹ may 11 chiếc rèm như thế hết số mét vải là

             6 x 11 = 66 (mét)

        Đáp số: a) 4 chiếc rèm

                    b) 66 mét vải

TẢI APP ĐỂ XEM OFFLINE

GIẢI SGK TOÁN 4 CÁNH DIỀU – MỚI NHẤT

Toán lớp 3 tập 1 – Cánh Diều

Toán lớp 3 tập 2 – Cánh diều