Lựa chọn câu để xem lời giải nhanh hơn
4.1
Sản xuất gang trong công nghiệp bằng cách sử dụng khí CO khử Fe2O3 ở nhiệt độ cao theo phản ứng sau Fe2O3 + 3CO -> 2Fe + 3CO2. Trong phản ứng trên chất đóng vai trò chất khử là
A. Fe2O3.
B. CO.
C. Fe.
D. CO2.
Phương pháp giải:
Xác định số oxi hóa của các nguyên tử có sự tăng số oxi hóa trong phản ứng => Đó chính là chất khử
Lời giải chi tiết:
C từ +2 lên +4
=> CO là chất khử
Đáp án B
4.2

Phương pháp giải:
– Quy tắc 1: Số oxi hóa của nguyên tử trong các đơn chất bằng 0
– Quy tắc 2: Trong một phân tử, tổng số oxi hóa của các nguyên tử bằng 0
– Quy tắc 3: Trong các ion, số oxi hóa của nguyên tử (đối với ion đơn nguyên tử) hay tổng số oxi hóa các nguyên tử (đối với ion đa nguyên tử) bằng điện tích của ion đó
– Quy tắc 4:
Lời giải chi tiết:
– Đặt x là số oxi hóa của C
– Trong C2H6, ta có: x.2 + (+1).6 = 0 => x = -3
– Trong CH4O, ta có: x.1 + (+1).4 + (-2).1 = 0 => x = -2
– Trong C2H4, ta có: x.2 + (+1).4 = 0 => x = -2
=> Đáp án: A
4.3
Thực hiện các phản ứng sau
(a) Ca(OH)2 + Cl2 -> CaOCl2 + H2O
(b) 3Cl2 + 6KOH -> 5KCl + KClO3 + 3H2O
(c) Cl2 + 2FeCl2 -> 2FeCl3
(d) 2KClO3 -> 2KCl + 3O2
Số phản ứng chlorine đóng vai trò chất oxi hóa là
A. 1.
B. 2.
C. 3.
D. 4.
Phương pháp giải:
Xác định số oxi hóa của nguyên tử chlorine => Nguyên tử nào có sự giảm số oxi hóa trong phản ứng => Chlorine là chất oxi hóa
Lời giải chi tiết:

4.4
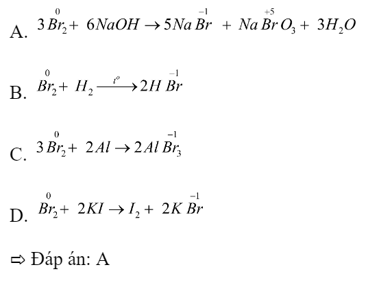
Bromine vừa là chất oxi hoá, vừa là chất khử trong phản ứng nào sau đây?
A. 3Br2 + 6NaOH -> 5NaBr + NaBrO3 + 3H2O
B. Br2 + H2 -> 2HBr
C. 3Br2 + 2Al -> 2AlBr3
D. Br2 + 2KI -> I2 + 2KBr
Phương pháp giải:
Xác định số oxi hóa của các nguyên tử bromine trong các phản ứng. Phản ứng nào bromine vừa tăng và vừa giảm số oxi hóa thì bromine sẽ vừa là chất khử, vừa là chất oxi hóa.
Lời giải chi tiết:

4.5
Nguyên tử sulfur chỉ thể hiện tính khử (trong điều kiện phản ứng phù hợp) trong hợp chất nào sau đây?
A. SO2.
B. H2SO4.
C. H2S.
D. Na2SO3.
Phương pháp giải:
Để nguyên tử sulfur chỉ thể hiện tính khử thì nguyên tử sulfur cần ở trạng thái số oxi hóa thấp nhất là -2
Lời giải chi tiết:
A. \(\mathop S\limits^{ + 4} {O_2}\)
B. \({H_2}\mathop S\limits^{ + 6} {O_4}\)
C. \({H_2}\mathop S\limits^{ – 2} \)
D. \(N{a_2}\mathop S\limits^{ + 4} {O_3}\)
=> Đáp án: C
4.6
Tính số oxi hoá các nguyên tố có đánh dấu *
a) \(N{a_2}\mathop {Cr}\limits^* {O_4},{\rm{ }}C{a_3}{\left( {\mathop P\limits^* {O_4}} \right)_2},{\rm{ }}Ca\mathop {Si}\limits^* {O_3},{\rm{ }}Na\mathop {Cr}\limits^* {O_2},{\rm{ }}Fe\mathop {{S_2}}\limits^* \)
b) \(\mathop N\limits^* {H_4}^ + ,{\rm{ }}\mathop {C{r_2}}\limits^* {O_7}^ – ,{\rm{ }}\mathop {Mn}\limits^* {O_4}^{2 – },{\rm{ }}\mathop N\limits^* {O_2}^ – \)
Phương pháp giải:
– Quy tắc 1: Số oxi hóa của nguyên tử trong các đơn chất bằng 0
– Quy tắc 2: Trong một phân tử, tổng số oxi hóa của các nguyên tử bằng 0
– Quy tắc 3: Trong các ion, số oxi hóa của nguyên tử (đối với ion đơn nguyên tử) hay tổng số oxi hóa các nguyên tử (đối với ion đa nguyên tử) bằng điện tích của ion đó
– Quy tắc 4
Lời giải chi tiết:
Số oxi hóa của các nguyên tố đánh dấu * là:
a) \(N{a_2}\mathop {Cr}\limits^{ + 6} {O_4},{\rm{ }}C{a_3}{\left( {\mathop P\limits^{ + 5} {O_4}} \right)_2},{\rm{ }}Ca\mathop {Si}\limits^{ + 4} {O_3},{\rm{ }}Na\mathop {Cr}\limits^{ + 3} {O_2},{\rm{ }}Fe\mathop {{S_2}}\limits^{ – 1} \)
b) \(\mathop N\limits^{ – 3} {H_4}^ + ,{\rm{ }}\mathop {C{r_2}}\limits^{ + 6} {O_7}^ – ,{\rm{ }}\mathop {Mn}\limits^{ + 7} {O_4}^{2 – },{\rm{ }}\mathop N\limits^{ + 3} {O_2}^ – \)
4.7
Chất được gạch chân trong các phương trình hoá học sau đây là chất oxi hoá hay chất khử, nếu lí do
a) Br2 + 2KI -> I2 + 2KBr
b) 3Zn + 8HNO3 → 3Zn(NO3)2 + 3NO + 4H2O
c) K2Cr2O7 + 14HCl → 2CrCl3 + 2KCl + 3Cl2 + 7H2O
Phương pháp giải:
Xác định số oxi hóa của các nguyên tử có sự thay đổi số oxi hóa trong phản ứng
→ Xác định chất oxi hóa (Chất có nguyên tố giảm số oxi hóa), chất khử (Chất có nguyên tố tăng số oxi hóa)
Lời giải chi tiết:
a) \(\mathop {B{r_2}}\limits^0 + {\rm{ }}2KI \to {I_2} + {\rm{ }}2K\mathop {Br}\limits^{ – 1} \) → Br2 là chất oxi hóa
b) \(3\mathop {Zn}\limits^0 + {\rm{ }}8HN{O_3} \to {\rm{ }}3\mathop {Zn}\limits^{ + 2} {\left( {N{O_3}} \right)_2} + {\rm{ }}3NO{\rm{ }} + {\rm{ }}4{H_2}O\) → Zn là chất khử
c) \({K_2}\mathop {C{r_2}}\limits^{ + 6} {O_7} + {\rm{ }}14HCl{\rm{ }} \to {\rm{ }}2\mathop {Cr}\limits^{ + 3} C{l_3} + {\rm{ }}2KCl{\rm{ }} + {\rm{ }}3C{l_2} + {\rm{ }}7{H_2}O\) → K2Cr2O7 là chất oxi hóa
4.8
Dẫn ra hai phản ứng, trong đó có một phản ứng oxi hoá – khử và một không phải phản ứng oxi hoá khử
Phương pháp giải:
– Phản ứng oxi hóa – khử phải có sự thay đổi số oxi hóa của một số nguyên tử trong phân tử
– Phản ứng không phải phản ứng oxi hóa – khử không có sự thay đổi số oxi hóa của một số nguyên tử trong phân tử
Lời giải chi tiết:
– Phản ứng oxi hóa – khử: 2Na + 2H2O -> 2NaOH + H2
– Phản ứng không oxi hóa – khử: NaOH + HCl -> NaCl + H2O
4.9

Phương pháp giải:
Xác định số oxi hóa của các nguyên tử có sự thay đổi số oxi hóa trong phản ứng
=> Xác định chất oxi hóa, chất khử
b) Tính \({n_{C{H_3}COOH}}\)-> \({n_{{C_6}{H_{12}}{O_6}}}\)-> \({m_{{C_6}{H_{12}}{O_6}}}\) theo hiệu suất
Lời giải chi tiết:

4.10
Ion Ca2+ cần thiết cho máu của người hoạt động bình thường. Nồng độ ion calcium không binh thường là dấu hiệu của bệnh. Đề xác định nồng độ ion calcium, người ta lấy mẫu máu, sau đó kết tủa ion calcium dưới dạng calcium oxalate (CaC2O4) rồi cho calcium oxalate tác dụng với dung dịch potassium permanganate trong môi trường acid theo phản ứng sau:
KMnO4 + CaC2O4 + H2SO4 -> CaSO4 + K2SO4 + MnSO4 + CO2 + H2O
a) Cân bằng phương trình phản ứng.
b) Giả sử calcium oxalate kết tủa từ 1 mL máu một người tác dụng vừa hết với 2,05 mL dung dịch potassium permanganate (KMnO4) 4,88.10-4 M. Xác định nồng độ ion calcium trong máu người đó bằng đơn vị mg Ca2+/100 mL máu.
Phương pháp giải:
a) – Các bước cân bằng phản ứng oxi hóa – khử
+ Bước 1: Xác định số oxi hóa của các nguyên tử có sự thay đổi số oxi hóa trong phản ứng
-> Xác định chất oxi hóa, chất khử
+ Bước 2: Viết quá trình oxi hóa và quá trình khử
+ Bước 3: Xác định (và nhân) hệ số thích hợp vào các quá trình sao cho tổng số electron chất khử nhường bằng tổng số electron chất oxi hóa nhận
+ Bước 4: Đặt các hệ số vào sơ đồ phản ứng. Cân bằng số lượng nguyên tử của các nguyên tố còn lại
b) Tính \({n_{KMn{O_4}}}\)-> \({n_{CaS{O_4}}}\)-> \({m_{CaS{O_4}}}\)trong 100 mL máu
Lời giải chi tiết:
a) – Bước 1: \(K\mathop {Mn}\limits^{ + 7} {O_4} + {\rm{ }}Ca\mathop {{C_2}}\limits^{ + 3} {O_4} + {\rm{ }}{H_2}S{O_4} \to CaS{O_4} + {\rm{ }}{K_2}S{O_4} + {\rm{ }}\mathop {Mn}\limits^{ + 2} S{O_4} + {\rm{ }}\mathop C\limits^{ + 4} {O_2} + {\rm{ }}{H_2}O\)
-> CaC2O4 là chất khử, KMnO4 là chất oxi hóa
– Bước 2:
+ Quá trình oxi hóa: \(2\mathop C\limits^{ + 3} \to 2\mathop C\limits^{ + 4} + 1.2e\)
+ Quá trình khử: \(\mathop {Mn}\limits^{ + 7} + 5e \to \mathop {Mn}\limits^{ + 2} \)
– Bước 3:
|
5x
|
\(2\mathop C\limits^{ + 3} \to 2\mathop C\limits^{ + 4} + 1.2e\)
|
|
2x
|
\(\mathop {Mn}\limits^{ + 7} + 5e \to \mathop {Mn}\limits^{ + 2} \)
|
– Bước 4: 2KMnO4 + 5CaC2O4 + 8H2SO4 -> 5CaSO4 + K2SO4 + 2MnSO4 + 10CO2 + 8H2O
b) – \({n_{KMn{O_4}}}\) = 2,05.10-3.4,88.10-4 = 10-6 mol
– Theo phản ứng => \({n_{CaS{O_4}}}\) = 10-6.5:2 = 2,5.10-6 mol = \({n_{C{a^ + }}}\)
=> Khối lượng ion calcium trong 1mL máu là:
2,5.10-6.40.103 = 0,1 mg
=> Khối lượng ion calcium trong 100mL máu là:
0,1.100 = 10 mg/100mL
4.11
Hỗn hợp ammonium perchlorate (NH4ClO4) và bột nhôm là nhiên liệu rắn của tàu vũ trụ con thoi theo phản ứng sau:
NH4ClO4 -> N2 + Cl2 + O2 + H2O
Mỗi một lần phóng tàu con thoi tiêu tốn 750 tấn ammonium perchlorate. Giả sử tất cả oxygen sinh ra tác dụng với bột nhôm, hãy tính khối lượng nhôm phản ứng với oxygen và khối lượng aluminium oxide sinh ra.
Phương pháp giải:
– Viết và cân bằng phương trình oxi hóa – khử
– Tính \({n_{N{H_4}Cl{O_4}}}\) -> \({n_{{O_2}}}\) -> \({n_{Al}}\)và \({n_{A{l_2}{O_3}}}\)-> \({m_{Al}}\)và \({m_{A{l_2}{O_3}}}\)
Lời giải chi tiết:
– Bước 1: \(\mathop N\limits^{ – 3} {H_4}\mathop {Cl}\limits^{ + 7} \mathop {{O_4}}\limits^{ – 2} \to \mathop {{N_2}}\limits^0 + {\rm{ }}\mathop {C{l_2}}\limits^0 + {\rm{ }}\mathop {{O_2}}\limits^0 + {\rm{ }}{H_2}O\)
=> NH4ClO4 vừa là chất oxi hóa vừa là chất khử
– Bước 2:
+ Quá trình oxi hóa: \(\mathop {2N}\limits^{ – 3} \to \mathop {{N_2}}\limits^0 + 2.3e\)và \(\mathop {4O}\limits^{ – 2} \to 2\mathop {{O_2}}\limits^0 + 4.2e\)
+ Quá trình khử: \(2\mathop {Cl}\limits^{ + 7} + 2.7e \to \mathop {C{l_2}}\limits^0 \)
– Bước 3:
|
1x
|
\(\mathop {2N}\limits^{ – 3} \to \mathop {{N_2}}\limits^0 + 2.3e\)
\(\mathop {4O}\limits^{ – 2} \to 2\mathop {{O_2}}\limits^0 + 4.2e\)
-> Tổng: 14 e nhường
|
|
1x
|
\(2\mathop {Cl}\limits^{ + 7} + 2.7e \to \mathop {C{l_2}}\limits^0 \)
|
– Bước 4: 2NH4ClO4 -> N2 + Cl2 + 2O2 + 4H2O
\(\frac{{750}}{{117,5}}\) -> \(\frac{{300}}{{47}}\) (tấn mol)
– Sau đó nhôm phản ứng với oxygen: 4Al + 3O2 2Al2O3
\(\frac{{400}}{{47}}\)!\(\frac{{300}}{{47}}\) -> \(\frac{{200}}{{47}}\) (tấn mol)
=> \({m_{Al}}\)= \(\frac{{400}}{{47}}.27\) = 229,79 tấn và \({m_{A{l_2}{O_3}}}\) = \(\frac{{200}}{{47}}.102\) = 434,04 tấn
4.12
Cho 30,3 g hỗn hợp Al và Zn tác dụng vừa đủ với 11,15 lít O2 (đkc), thu được hỗn hợp các oxide. Viết các phương trình phản ứng xảy ra và tính khối lượng các oxide tạo thành.
Phương pháp giải:
– Đặt số mol Al và Zn theo ẩn
– Viết phương trình phản ứng
– Tìm số mol Al và Zn dựa vào các dữ kiện đề bài -> Số mol các oxide và khối lượng các oxide
Lời giải chi tiết:
– Đặt nAl = x mol; nZn = y mol
– \({n_{{O_2}}}\) = \(\frac{{11,15}}{{24,79}}\) = 0,45 mol
– Ta có:
4Al + 3O2 2Al2O3
x -> \(\frac{3}{4}x\) -> \(\frac{1}{2}x\)
2Zn + O2 2ZnO
y -> \(\frac{1}{2}y\) -> y
– Ta có hệ phương trình:
27x + 65y = 30,3 (1)
\(\frac{3}{4}x\) + \(\frac{1}{2}y\) = 0,45 (2)
=> x = 0,4; y = 0,3 => \({m_{A{l_2}{O_3}}} = \frac{1}{2}.0,4.102 = 20,4\) (gam) và \({m_{ZnO}} = 0,3.81 = 24,3\) (gam)
4.13
Sodium peroxide (Na2O2), potassium superoxide (KO2) là những chất oxi hoá mạnh, dễ dàng hấp thụ khí carbon dioxide và giải phóng khí oxygen. Do đó, chúng được sử dụng trong bình lặn hoặc tàu ngầm để hấp thụ khi carbon dioxide và cung cấp khí oxygen cho con người trong hô hấp theo các phản ứng sau:
Na2O2 + CO2 -> Na2CO3 + O2
KO2 + CO2 -> K2CO3 + O2
a) Cân bằng các phản ứng biết rằng nguyên tử oxygen trong Na2O2, KO2 là nguyên tố tự oxi hoá – khử
b) Theo nghiên cứu, khi hô hấp, thể tích khí carbon dioxide một người thải ra xấp xỉ thể tích khí oxygen hít vào. Cần trộn Na2O2 và KO2 theo tỉ lệ số mol như thế nào để thể tích khí carbon dioxide hấp thụ bằng thể tích khí oxygen sinh ra?
Phương pháp giải:
a) – Các bước cân bằng phản ứng oxi hóa – khử
+ Bước 1: Xác định số oxi hóa của các nguyên tử có sự thay đổi số oxi hóa trong phản ứng
=> Xác định chất oxi hóa, chất khử
+ Bước 2: Viết quá trình oxi hóa và quá trình khử
+ Bước 3: Xác định (và nhân) hệ số thích hợp vào các quá trình sao cho tổng số electron chất khử nhường bằng tổng số electron chất oxi hóa nhận
+ Bước 4: Đặt các hệ số vào sơ đồ phản ứng. Cân bằng số lượng nguyên tử của các nguyên tố còn lại
b) – Đặt số mol Na2O2 và KO2 theo ẩn -> số mol O2 và CO2 tương ứng -> tìm tỉ lệ
Lời giải chi tiết:
a) * Phương trình: Na2O2 + CO2 -> Na2CO3 + O2
– Bước 1: \(N{a_2}\mathop {{O_2}}\limits^{ – 1} + C{O_2} \to N{a_2}C\mathop {{O_3}}\limits^{ – 2} + \mathop {{O_2}}\limits^0 \)
=> Na2O2 vừa là chất khử, vừa là chất oxi hóa
– Bước 2:
+ Quá trình oxi hóa: \(2\mathop O\limits^{ – 1} \to \mathop {{O_2}}\limits^0 + 2.1e\)
+ Quá trình khử: \(\mathop O\limits^{ – 1} + 1e \to \mathop O\limits^{ – 2} \)
– Bước 3:
|
1x
|
\(2\mathop O\limits^{ – 1} \to \mathop {{O_2}}\limits^0 + 2.1e\)
|
|
2x
|
\(\mathop O\limits^{ – 1} + 1e \to \mathop O\limits^{ – 2} \)
|
– Bước 4: 2Na2O2 + 2CO2 -> 2Na2CO3 + O2
* Phương trình: KO2 + CO2 -> K2CO3 + O2
– Bước 1: \(K\mathop {{O_2}}\limits^{ – 0,5} + C{O_2} \to {K_2}C\mathop {{O_3}}\limits^{ – 2} + \mathop {{O_2}}\limits^0 \)
=> KO2 vừa là chất khử, vừa là chất oxi hóa
– Bước 2:
+ Quá trình oxi hóa: \(2\mathop O\limits^{ – 0.5} \to \mathop {{O_2}}\limits^0 + 1e\)
+ Quá trình khử: \(\mathop O\limits^{ – 0,5} + 1,5e \to \mathop O\limits^{ – 2} \)
– Bước 3:
|
1,5x
|
\(2\mathop O\limits^{ – 0.5} \to \mathop {{O_2}}\limits^0 + 1e\)
|
|
1x
|
\(\mathop O\limits^{ – 0,5} + 1,5e \to \mathop O\limits^{ – 2} \)
|
– Bước 4: 4KO2 + 2CO2 -> 2K2CO3 + 3O2
b) – Đặt \({n_{N{a_2}{O_2}}}\) = x mol; \({n_{K{O_2}}}\) = y mol
2Na2O2 + 2CO2 -> 2Na2CO3 + O2
x -> x -> \(\frac{1}{2}x\)
4KO2 + 2CO2 -> 2K2CO3 + 3O2
y -> \(\frac{1}{2}y\) -> \(\frac{3}{4}y\)
– Để \({n_{{O_2}}}\) = \({n_{C{O_2}}}\) ” \(x + \frac{1}{2}y = \frac{1}{2}x + \frac{3}{4}y\) ” \(\frac{x}{y} = \frac{1}{2}\)
=> Cần trộn Na2O2 và KO2 theo tỉ lệ 1:2 về số mol để thỏa mãn điều kiện đề bài
4.14
Copper(II) sulfate được sử dụng làm nguyên liệu trong phân bón, làm thuốc kháng nấm. Ngoài ra còn dùng để diệt rêu – tảo trong bể bơi,… Copper(II) sulfate được sản xuất chủ yếu sử dụng từ nguồn nguyên liệu tái chế. Phế liệu được tinh chế cùng kim loại nóng chảy được đổ vào nước để tạo thành những mảnh xốp. Hỗn hợp này được hoà tan trong dung dịch sulfuric acid loãng trong không khí theo phương trình:
Cu + O2 + H2SO4 -> CuSO4 + H2O (1)
Ngoài ra, copper(II) sulfate còn được điều chế bằng cách cho đồng phế liệu tác dụng với dung dịch sulfuric acid đặc, nóng:
Cu + H2SO4 -> CuSO4 + SO2 + H2O (2)
a) Cân bằng 2 phản ứng trên theo phương pháp thăng bằng electron.
b) Trong hai cách trên, cách nào ít làm ô nhiễm môi trường hơn?
Phương pháp giải:
a) – Các bước cân bằng phản ứng oxi hóa – khử
+ Bước 1: Xác định số oxi hóa của các nguyên tử có sự thay đổi số oxi hóa trong phản ứng
=> Xác định chất oxi hóa, chất khử
+ Bước 2: Viết quá trình oxi hóa và quá trình khử
+ Bước 3: Xác định (và nhân) hệ số thích hợp vào các quá trình sao cho tổng số electron chất khử nhường bằng tổng số electron chất oxi hóa nhận
+ Bước 4: Đặt các hệ số vào sơ đồ phản ứng. Cân bằng số lượng nguyên tử của các nguyên tố còn lại
b) Dựa vào khí SO2 là một khí gây ô nhiễm môi trường để đưa ra kết luận
Lời giải chi tiết:
a) * Phương trình: Cu + O2 + H2SO4 -> CuSO4 + H2O
– Bước 1: \(\mathop {Cu}\limits^0 + \mathop {{O_2}}\limits^0 + {H_2}S{O_4} \to \mathop {Cu}\limits^{ + 2} S{O_4} + {H_2}\mathop O\limits^{ – 2} \)
=> Cu là chất khử, O2 là chất oxi hóa
– Bước 2:
+ Quá trình oxi hóa: \(\mathop {Cu}\limits^0 \to \mathop {Cu}\limits^{ + 2} + 2e\)
+ Quá trình khử: \(\mathop {{O_2}}\limits^{ – 1} + 2.2e \to 2\mathop O\limits^{ – 2} \)
– Bước 3:
|
2x
|
\(\mathop {Cu}\limits^0 \to \mathop {Cu}\limits^{ + 2} + 2e\)
|
|
1x
|
\(\mathop {{O_2}}\limits^{ – 1} + 2.2e \to 2\mathop O\limits^{ – 2} \)
|
– Bước 4: 2Cu + O2 + 2H2SO4 -> 2CuSO4 + 2H2O
* Phương trình: Cu + H2SO4 -> CuSO4 + SO2 + H2O
– Bước 1: \(\mathop {Cu}\limits^0 + {H_2}\mathop S\limits^{ + 6} {O_4} \to \mathop {Cu}\limits^{ + 2} S{O_4} + \mathop S\limits^{ + 4} {O_2} + {H_2}O\)
=> Cu là chất khử, H2SO4 là chất oxi hóa
– Bước 2:
+ Quá trình oxi hóa: \(\mathop {Cu}\limits^0 \to \mathop {Cu}\limits^{ + 2} + 2e\)
+ Quá trình khử: \(\mathop S\limits^{ + 6} + 2e \to \mathop S\limits^{ + 4} \)
– Bước 3:
|
1x
|
\(\mathop {Cu}\limits^0 \to \mathop {Cu}\limits^{ + 2} + 2e\)
|
|
1x
|
\(\mathop S\limits^{ + 6} + 2e \to \mathop S\limits^{ + 4} \)
|
– Bước 4: Cu + 2H2SO4 -> CuSO4 + SO2 + 2H2O
b) Vì SO2 là khí gây ô nhiễm môi trường nên cách 1 ít làm ô nhiễm môi trường hơn
4.15
Cho 1,12 g kim loại X tác dụng với dung dịch sulfuric acid đặc, nóng, dư thu được 0,7437 lít khí SO2 (đkc) và muối X2(SO4)3.
a) Viết phản ứng và cân bằng phương trình hoá học theo phương pháp thăng bằng electron.
b) Xác định kim loại X.
Phương pháp giải:
a) – Các bước cân bằng phản ứng oxi hóa – khử
+ Bước 1: Xác định số oxi hóa của các nguyên tử có sự thay đổi số oxi hóa trong phản ứng
=> Xác định chất oxi hóa, chất khử
+ Bước 2: Viết quá trình oxi hóa và quá trình khử
+ Bước 3: Xác định (và nhân) hệ số thích hợp vào các quá trình sao cho tổng số electron chất khử nhường bằng tổng số electron chất oxi hóa nhận
+ Bước 4: Đặt các hệ số vào sơ đồ phản ứng. Cân bằng số lượng nguyên tử của các nguyên tố còn lại
b) Tìm số mol của kim loại X -> MX -> Kết luận
Lời giải chi tiết:
a) – Bước 1:
=> Cu là chất khử, H2SO4 là chất oxi hóa
– Bước 2:
+ Quá trình oxi hóa: \(2\mathop X\limits^0 \to 2\mathop X\limits^{ + 3} + 2.3e\)
+ Quá trình khử: \(\mathop S\limits^{ + 6} + 2e \to \mathop S\limits^{ + 4} \)
– Bước 3:
|
1x
|
\(2\mathop X\limits^0 \to 2\mathop X\limits^{ + 3} + 2.3e\)
|
|
3x
|
\(\mathop S\limits^{ + 6} + 2e \to \mathop S\limits^{ + 4} \)
|
– Bước 4: 2X + 6H2SO4 -> X2(SO4)3 + 3SO2 + 6H2O
b) – \({n_{S{O_2}}} = \frac{{0,7437}}{{24,79}} = 0,03\) mol
– Có: 2X + 6H2SO4 X2(SO4)3 + 3SO2 + 6H2O
0,02
=> MX = \(\frac{{1,12}}{{0,02}} = 56\) => Vậy X là nguyên tố Iron (Fe)