2. Bài 9. Amino acid và peptide

Khoảng 20 amino acid thiên nhiên

Lựa chọn câu để xem lời giải nhanh hơn

CH tr 41 MĐ

Trả lời câu hỏi Mở đầu trang 41 SGK Hóa 12 Kết nối tri thức

Khoảng 20 amino acid thiên nhiên là cơ sở để kiến tạo nên các protein của cơ thể sống. Amino acid cũng được ứng dụng trong nhiều lĩnh vực khác nhau của cuộc sống như thực phẩm, dược phẩm, tơ sợi,… Vậy, amino acid là gì? Amino acid có đặc điểm cấu tạo và tính chất như thế nào?

Phương pháp giải:

Nêu khái niệm, đặc điểm cấu tạo, tính chất vật lí và hóa học của amino acid.

Lời giải chi tiết:

– Amino acid là hợp chất hữu cơ tạp chức, trong phân tử chứa đồng thời nhóm carboxyl (-COOH) và nhóm amino (-NH2).

– Tính chất vật lí: Ở điều kiện thường, các amino acid là chất rắn, khi ở dạng tinh thể chúng không có màu, có nhiệt độ nóng chảy cao và thường tan tốt trong nước vì chúng tồn tại ở dạng ion lưỡng cực.

– Tính chất hóa học:

+ Phản ứng ester hóa.

+ Tính chất lưỡng tính.

+ Tính chất điện di.

+ Phản ứng trùng ngưng.

CH tr 41 HĐ

Trả lời câu hỏi Hoạt động trang 41 SGK Hóa 12 Kết nối tri thức

Hãy nhận xét đặc điểm chung về cấu tạo của các amino acid dưới đây:

Phương pháp giải:

Amino acid là hợp chất hữu cơ tạp chức, trong phân tử chứa đồng thời nhóm carboxyl (-COOH) và nhóm amino (-NH2).

Lời giải chi tiết:

– Các amino acid trên đều có hai loại nhóm chức là nhóm carboxyl (-COOH) và nhóm amino (-NH2).

– Nhóm chức amino (-NH2) ở vị trí số 2.

CH tr 43

Trả lời câu hỏi trang 43 SGK Hóa 12 Kết nối tri thức

Viết phương trình hoá học của phản ứng trùng ngưng tổng hợp polyenanthamide từ 7-aminoheptanoic acid (o-aminoenanthic acid).

Phương pháp giải:

Khi đun nóng, các e-amino acid hoặc w-amino acid có thể phản ứng với nhau để tạo thành polymer, đồng thời tách ra các phân tử nước (phản ứng trùng ngưng). Trong phản ứng trùng ngưng của amino acid, nhóm –COOH của phân tử này phản ứng với nhóm –NH2 của phân tử khác để tạo thành polyamide.

Lời giải chi tiết:

CH tr 44 HĐ

Trả lời câu hỏi Hoạt động trang 44 SGK Hóa 12 Kết nối tri thức

Một tripeptide có cấu tạo như sau:

 

Tripeptide trên cấu thành bằng cách nào? Tại sao lại gọi là tripeptide?

Phương pháp giải:

– Peptide là hợp chất hữu cơ được hình thành từ các đơn vị a-amino acid liên kết với nhau qua liên kết peptide (-CO-NH-).

– Peptide được tạo thành từ 2, 3, 4,… đơn vị a-amino acid lần lượt được gọi là dipeptide, tripeptide, tetrapeptide, … Peptide được tạo thành từ nhiều đơn vị a-amino acid được gọi là polypeptide.

Lời giải chi tiết:

– Tripeptide trên được tạo thành bởi 3 đơn vị a-amino acid (valine, glycine, alanine) kết với nhau qua liên kết peptide (-CO-NH-).

– Gọi là tripeptide vì được tạo bởi 3 đơn vị a-amino acid.

CH tr 44 CH

Trả lời câu hỏi trang 44 SGK Hóa 12 Kết nối tri thức

Viết cấu tạo của tripeptide Gly-Ala-Val.

Phương pháp giải:

Peptide là hợp chất hữu cơ được hình thành từ các đơn vị a-amino acid liên kết với nhau qua liên kết peptide (-CO-NH-).

Lời giải chi tiết:

CH tr 45 HĐ

Trả lời câu hỏi Hoạt động trang 45 SGK Hóa 12 Kết nối tri thức

Thí nghiệm: Phản ứng màu biuret của peptide

– Chuẩn bị:

+ Hoá chất: dung dịch lòng trắng trứng (polypeptide), dung dịch CuSO4 2%, dung dịch NaOH 30%.

+ Dụng cụ: ống nghiệm.

– Tiến hành:

+ Cho khoảng 1 mL dung dịch NaOH 30% vào ống nghiệm. Nhỏ thêm 2 – 3 giọt dung dịch CuSO4 2%, lắc đều.

+ Cho khoảng 4 mL dung dịch lòng trắng trứng vào ống nghiệm, lắc đều.

Quan sát và giải thích hiện tượng xảy ra.

Phương pháp giải:

Các peptide có từ hai liên kết peptide trở lên phản ứng với thuốc thử biuret (Cu(OH)2 trong môi trường kiềm), tạo thành dung dịch có màu tím đặc trưng. Phản ứng này được sử dụng để nhận biết các peptide (trừ dipeptide).

Lời giải chi tiết:

Hiện tượng: Cho dung dịch peptide (lòng trắng trứng) vào ống nghiệm đựng kết tủa xanh lam Cu(OH)2 (tạo ra khi cho dung dịch CuSO4 tác dụng với dung dịch NaOH), thấy Cu(OH)2 tan ra và thu được phức chất có màu tím đặc trưng.

CH tr 45 CH

Trả lời câu hỏi trang 45 SGK Hóa 12 Kết nối tri thức

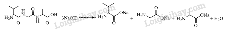
Thuỷ phân không hoàn toàn tripeptide Val-Gly-Ala thu được các dipeptide nào? Viết phương trình hoá học minh họa phản ứng thuỷ phân hoàn toàn tripeptide này trong môi trường kiềm.

Phương pháp giải:

Khi thuỷ phân hoàn toàn peptide bởi acid, base hoặc enzyme, tạo thành a-amino acid. Khi thuỷ phân không hoàn toàn peptide có thể tạo thành các peptide nhỏ hơn.

Lời giải chi tiết:

– Thuỷ phân không hoàn toàn tripeptide Val-Gly-Ala thu được hai dipeptide: Val-Gly, Gly-Ala.

– Phương trình hoá học minh họa phản ứng thuỷ phân hoàn toàn Val-Gly-Ala này trong môi trường kiềm.

 

TẢI APP ĐỂ XEM OFFLINE