2. Bài 5: Một số hợp chất quan trọng của nitrogen

Đề bài

Câu 1 :

Cho các phát biểu sau:

  1. Ammonia lỏng được dùng làm chất làm lạnh trong thiết bị.
  2. Để làm khô khí NH3 có lẫn hơi nước, cho khí NH3 đi qua bình đựng dung dịch H2SO4 đậm đặc.
  3. Khi cho quỳ tím ẩm vào lọ đựng khí NH3, quỳ tím chuyển thành màu đỏ.
  4. Nitrogen lỏng được dùng để bảo quản máu và các mẫu vật sinh học.

Số phát biểu đúng là:

  • A.
    2.
  • B.
    1.
  • C.
    4.
  • D.
    3.

Câu 2 :

Bình cầu chứa đầy khí ammonia khô, được úp ngược lên một chậu chứa dung dịch HCl loãng pha dung dịch quỳ có màu hồng. Nước phun lên trong bình cầu và dung dịch trong bình cầu chuyển thành màu xanh. Hiện tượng này xảy ra vì?

  • A.
    Acid đã phản ứng với ammonia, làm quỳ đổi màu từ hồng sang xanh.
  • B.
    Ammonia là acid yếu, làm quỳ chuyển màu xanh.
  • C.
    Ammonia có tính base, tan trong nước nên áp suất giảm, nhờ đó nước có thể phun lên.
  • D.
    Acid đã phản ứng khí ammonia trong bình nên áp suất giảm, nhờ đó nước có thể phun lên.

Câu 3 :

Cho hỗn hợp N2 và H2 vào bình phản ứng có nhiệt độ không đổi. Sau thời gian phản ứng, áp suất khí trong bình giảm 5% so với áp suất ban đầu. Biết ti lệ số mol của nitrogen đã phản ứng là 15%. Thành phần phần trăm về số mol của N2 và H2 trong hỗn hợp đầu?

  • A.
    20% và 80%.
  • B.
    16,67 và 83,33%.
  • C.
    25% và 75%.
  • D.
    40% và 60%.

Câu 4 :

Trong phân tử NH3 chứa liên kết?

  • A.
    Liên kết cho nhận.
  • B.
    Liên kết cộng hóa trị không phân cực.
  • C.
    Liên kết cộng hóa trị phân cực.
  • D.
    Liên kết Ion.

Câu 5 :

Phải dùng bao nhiêu lít khí Nitrogen và bao nhiêu lít khí Hydrogen để điều chế 17,0 gam NH3? Biết răng hiệu suất phản ứng tổng hợp NH3 là 20%. Các thể tích khí được đo ở đktc.

  • A.
    11,2 lít N2 và 33,6 lít H2.
  • B.
    11,2 lít N2 và 168 lít H2.
  • C.
    56 lít N2 và 168 lít H2.
  • D.

    33,6 lít N2 và 11,2 lít H2.

Câu 6 :

Cho cân bằng hóa học: \({N_{2(k)}} + 3{H_{2(k)}} \mathbin{\lower.3ex\hbox{$\buildrel\textstyle\rightarrow\over{\smash{\leftarrow}\vphantom{_{\vbox to.5ex{\vss}}}}$}} 2N{H_{3(k)}}\) ∆H = -92 kJ. Khi giảm thể tích của hỗn hợp ở trạng thái cân bằng khi nhiệt độ không đổi thì cân bằng sẽ chuyển dịch:

  • A.
    Theo chiều phản ứng nghịch.
  • B.
    Theo chiều phản ứng thuận.
  • C.
    Không làm chuyển dịch cân bằng.
  • D.
    Tùy theo mức độ giảm thể tích mà cân bằng chuyển dịch theo chiều thuận hay chiều nghịch.

Câu 7 :

NH3 thể hiện tính khử trong phản ứng hóa học nào trong các phản ứng hóa học sau?

  • A.

    2NH3 + H2O–> NH4+ + OH.

  • B.
    3NH3+ AlCl3 + 3H2O → Al(OH)3 + 3NH4Cl.
  • C.
    2NH3 + 3CuO   →   N2 + 3Cu + 3H2O.
  • D.
    NH+ HCl →   NH4Cl.

Câu 8 :

Nhận xét nào sau đây về NH3 là đủ nhất?

  • A.
    NH3 là một base.
  • B.
    NH3 là một chất khử.
  • C.
    NH3 vừa có tính khử của một chất khử vừa có tính chất của một base.
  • D.
    NH3 chỉ có tính base và tính khử mà không thể hiện tính oxi hóa.

Câu 9 :

Để tách riêng NH3 ra khỏi hỗn hợp gồm N2, H2, NH3 trong công nghiệp, người ta đã:

  • A.
    Cho hỗn hợp qua nước vôi trong dư.
  • B.
    Cho hỗn hợp qua bột CuO nung nóng.
  • C.
    Nén và làm lạnh hỗn hợp để hóa lỏng NH3.
  • D.
    Cho hỗn hợp qua dung dịch H2SO4 đặc.

Câu 10 :

Trong các phản ứng sau, phản ứng nào NH3 đóng vai trò là một chất oxi hóa?

  • A.
    2NH3 + H2O2+ MnSO4 → MnO2 + (NH4)2SO4.
  • B.
    2NH3+ 3Cl2 → N2 + 6HCl.
  • C.
    4NH3 + 5O2   →   4NO+ 6H2O.
  • D.
    2NH+ 2Na  →   2NaNO3 + H2.

Câu 11 :

Hợp chất X tan trong nước tạo dung dịch không màu. Dung dịch này không tạo kết tủa với dung dịch BaCl2, khi phản ứng với NaOH tạo ra khí có mùi khai, khi phản ứng với  dung dịch HCl tạo ra khí làm đục nước vôi trong và làm mất màu dung dịch thuốc tím. Chất này là

  • A.
    NH4HSO3.
  • B.
    Na2SO3.
  • C.
    NH4HCO3.
  • D.
    (NH4)2CO3.

Câu 12 :

Phản ứng giữa NH3 với chất nào sau đây chứng minh NH3 thể hiện tính base

  • A.
    Cl2.
  • B.
    O2.
  • C.
    HCl.
  • D.
    CuO.

Câu 13 :

Chất nào sau đây có thể làm khô khí NH3 có lẫn hơi nước?

  • A.
    P2O5.
  • B.
    H2SO4 đặc.
  • C.
    CuO bột.
  • D.
    NaOH rắn.

Câu 14 :

Nhận xét nào sau đây không đúng về muối ammonium?

  • A.
    Muối ammonium bền với nhiệt.
  • B.
    Các muối ammonium đều là chất điện li mạnh.
  • C.
    Tất cả các muối ammonium đều tan trong nước.
  • D.
    Các muối ammonium đều bị thủy phân trong nước.

Câu 15 :

Dãy các chất đều phản ứng với NH3 trong điều kiện thích hợp là :

  • A.
    HCl, O2, Cl2, FeCl3.
  • B.
    H2SO4, Ba(OH)2, FeO, NaOH.
  • C.
    HCl, HNO3, AlCl3, CaO.
  • D.
    KOH, HNO3, CuO, CuCl2.

Câu 16 :

Muối được làm bột nở trong thực phẩm là:

  • A.
    (NH4)2CO3.
  • B.
    Na2CO3.
  • C.
    NH4HCO3.
  • D.
    NH4Cl.

Câu 17 :

Cho phản ứng: FeO + HNO3 → Fe(NO3)3 + H2O + NO

Theo phương trình của phản ứng trên, khi hệ số của FeO là 3 thì hệ số của HNO3 là

  • A.
    6.
  • B.
    10.
  • C.
    8.
  • D.
    4.

Câu 18 :

Cho hỗn hợp Cu, Fe phản ứng với dung dịch HNO3 loãng. Sau khi phản ứng hoàn toàn, thu được dung dịch chỉ chứa một chất tan và kim loại dư. Chất tan đó là:

  • A.
    Cu(NO3)2.
  • B.
    HNO3.
  • C.
    Fe(NO3)2.
  • D.
    Fe(NO3)3.

Câu 19 :

Có các mệnh đề sau :

(1) Tác nhân chính gay mưa acid là SO2 và Nox, phát thải chủ yếu do các hoạt động công nghiệp, nhiệt điện, giao thông, khai thác và chế biến dầu mỏ…

(2) Trong phân tử nitric acid, nguyên tử N có số oxi hóa +5, là số oxi hóa cao nhất của nitrogen.

(3) Nitric acid thể hiện tính oxi hóa mạnh, có khả năng hòa tan vàng, platinum.

(4) Nitric acid tinh khiết là chất lỏng, không màu, bốc khói mạnh trong không khí ẩm và tan vô hạn trong nước.

(5) Ở dạng đậm đặc, nitric acid dược dùng để sản xuất thuốc nổ trinitrotoluene TNT.

(6) Nguyên nhân của hiện tượng phú dưỡng là do sự dư thừa nitrogen trong nước.

Trong các mệnh đề trên, số mệnh đề đúng là

  • A.
    2.
  • B.
    3.
  • C.
    4.
  • D.
    5.

Câu 20 :

HNO3 phản ứng với tất cả các chất trong nhóm nào sau đây ?

  • A.
    KOH, MgCO3, Pt, FeS.
  • B.
    Al(OH)3, BaCO3, BaSO4, Fe2O3.
  • C.
    FeS2, Pt, SO2, HCl.
  • D.
    Fe(NO3)2, S, NH4HCO3, Mg(OH)2.

Câu 21 :

Cho dãy các chất Cu, Fe, Fe2O3, FeO, CuO, MgCO3, Pt, Al(OH)3. Số chất trong dãy bị oxi hóa khi tác dụng với dung dịch HNO3 đặc, nóng là:

  • A.
    4
  • B.
    3.
  • C.
    5.
  • D.
    6.

Câu 22 :

Cho dãy các chất: FeO, Fe(OH)2, FeSO4, Fe3O4, Fe2(SO4)3, Fe2O3. Số chất trong dãy bị oxi hóa khi tác dụng với dung dịch HNO3 đặc, nóng là:

  • A.
    3
  • B.
    5.
  • C.
    4.
  • D.
    6.

Câu 23 :

Để điều chế 5 lít dung dịch HNO3 21% (D = 1,2g/ml) bằng phương pháp oxi hóa NH3 với hiệu suất toàn quá trình là 75%, thể tích khí NH3 (đktc) tối thiểu cần dùng là

  • A.
    560 lít
  • B.
    448 lít.
  • C.
    597,33 lít.
  • D.
    672 lít.

Câu 24 :

Thể tích dung dịch HNO3 1M (loãng) ít nhất cần dùng để hoà tan hoàn toàn một hỗn hợp gồm 0,015 mol Fe và 0,03 mol Cu là (biết phản ứng tạo chất khử duy nhất là NO)

  • A.
    0,14 lít
  • B.
    0,12 lít.
  • C.
    0,06 lít.
  • D.
    0,08 lít.

Câu 25 :

Cho phản ứng: Al + HNO3 → Al(NO3)3  +  N2O  +  H2O

Trong phương trình phản ứng trên, khi hệ số của Al là 8 thì hệ số của HNO3 là?

  • A.
    24.
  • B.
    30.
  • C.
    26.
  • D.
    15.

Câu 26 :

Cho hỗn hợp Al, Fe vào dung dịch HNO3 loãng, dư thu được 6,72 lít NO (là sản phẩm khử duy nhất của N+5 ở đktc). Số mol acid đã phản ứng là?

  • A.
    0,3 mol.
  • B.
    0,6 mol.
  • C.
    1,2 mol.
  • D.
    2,4 mol.

Câu 27 :

Có các mệnh đề sau :

(1) Các muối nitrate đều tan trong nước và đều là chất điện li mạnh.

(2) Ion NO có tính oxi hóa trong môi trường acid.

(3) Khi nhiệt phân muối nitrate rắn ta đều thu được khí NO2

(4) Hầu hết muối nitrate đều bền nhiệt.

Trong các mệnh đề trên, những mệnh đề đúng là

  • A.
    (1) và (3).
  • B.
    (2) và (4).
  • C.
    (2) và (3).
  • D.
    (1) và (2).

Câu 28 :

Hoa cẩm tú cầu là loài hoa tượng trưng cho lòng biết ơn và sự chân thành, vẻ kì diệu của cẩm tú cầu là sự đổi màu ngoạn mục của nó. Màu của loài hoa này có thể thay đổi tùy thuộc vào pH của thổ nhưỡng nên có thề điểu chỉnh màu hoa thông qua việc điều chỉnh độ pH của đất trồng

pH đất trồng

<7

=7

>7

Màu hoa

Lam

Trắng sữa

Hồng

Khi trồng loài hoa trên, nếu ta bón thêm 1 ít vôi (CaO) hoặc NH4NO3 và chỉ tưới nước thì khi thu hoạch hoa sẽ có màu lần lượt là?

  • A.
    hồng – lam.
  • B.
    lam – hồng.
  • C.
    trắng sữa – hồng.
  • D.
    hồng – trắng sữa.

Câu 29 :

HNO3 phản ứng với tất cả các chất trong nhóm nào sau đây ?

  • A.
    NaOH, Al2O3, Cu2S, BaSO4.
  • B.
    Cu(OH)2, BaCO3, Au, Fe2O3.
  • C.
    CuS, Pt, SO2, Ag.
  • D.
    Fe(NO3)2, S, NH4HCO3, Mg(OH)2.

Câu 30 :

Cho vào bình kín thể tích không đổi 0,2 mol NO và 0,3 mol O2, áp suất trong bình là P1. Saukhi phản ứng hoàn toàn đưa bình về nhiệt độ ban đầu thì áp suất là P2. Tỉ lệ của P1 và P2 là:

  • A.
    P1 = 1,25P2.
  • B.
    P1 = 0,8P2.
  • C.
    P1 = 2P2.
  • D.
    P1 = P2.

Câu 31 :

Trong các oxide của nitrogen thì oxide được điều chế trực tiếp từ phản ứng của nitrogen với oxygen là:

  • A.
    N2O.
  • B.
    N2O5.
  • C.
    NO.
  • D.
    NO2.

Câu 32 :

Phần trăm khối lượng của N trong một oxide của nó là 30,43%.Tỉ khối của A so với H2 bằng 23. Xác định CTPT của oxide đó là:

  • A.
    N2O.
  • B.
    N2O5.
  • C.
    N2O4.
  • D.
    NO2.

Lời giải và đáp án

Câu 1 :

Cho các phát biểu sau:

  1. Ammonia lỏng được dùng làm chất làm lạnh trong thiết bị.
  2. Để làm khô khí NH3 có lẫn hơi nước, cho khí NH3 đi qua bình đựng dung dịch H2SO4 đậm đặc.
  3. Khi cho quỳ tím ẩm vào lọ đựng khí NH3, quỳ tím chuyển thành màu đỏ.
  4. Nitrogen lỏng được dùng để bảo quản máu và các mẫu vật sinh học.

Số phát biểu đúng là:

  • A.
    2.
  • B.
    1.
  • C.
    4.
  • D.
    3.

Đáp án : A

Phương pháp giải :

Dựa vào kiến thức về Ammonia và Nitrogen.

Lời giải chi tiết :

Ammonia có tính base => làm quỳ chuyển màu xanh và không thể làm khô bằng dung dịch H2SO4 đậm đặc.

H2SO4 + 2NH3 -> (NH4)2SO4

Câu 2 :

Bình cầu chứa đầy khí ammonia khô, được úp ngược lên một chậu chứa dung dịch HCl loãng pha dung dịch quỳ có màu hồng. Nước phun lên trong bình cầu và dung dịch trong bình cầu chuyển thành màu xanh. Hiện tượng này xảy ra vì?

  • A.
    Acid đã phản ứng với ammonia, làm quỳ đổi màu từ hồng sang xanh.
  • B.
    Ammonia là acid yếu, làm quỳ chuyển màu xanh.
  • C.
    Ammonia có tính base, tan trong nước nên áp suất giảm, nhờ đó nước có thể phun lên.
  • D.
    Acid đã phản ứng khí ammonia trong bình nên áp suất giảm, nhờ đó nước có thể phun lên.

Đáp án : D

Phương pháp giải :

Dựa vào kiến thức về Tính chất hóa học của Ammonia.

Lời giải chi tiết :

Ban đầu trong bình chứa đầy khí NH3 khô nên không có sự chênh lệch áp suất nên nước không phun được vào bình

Ammonia có tính base vì vậy phản ứng được với acid tạo muối dạng dung dịch nên làm giảm khí -> giảm áp suất trong bình

PTHH: HCl + NH3 -> NH4Cl 

Do vậy áp suất trong bình giảm, nhờ đó nước có thể phun lên

Câu 3 :

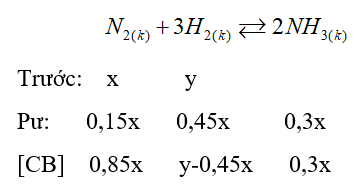
Cho hỗn hợp N2 và H2 vào bình phản ứng có nhiệt độ không đổi. Sau thời gian phản ứng, áp suất khí trong bình giảm 5% so với áp suất ban đầu. Biết ti lệ số mol của nitrogen đã phản ứng là 15%. Thành phần phần trăm về số mol của N2 và H2 trong hỗn hợp đầu?

  • A.
    20% và 80%.
  • B.
    16,67 và 83,33%.
  • C.
    25% và 75%.
  • D.
    40% và 60%.

Đáp án : B

Phương pháp giải :

Dựa vào kiến thức về Sản xuất Ammonia.

Lời giải chi tiết :

Gọi số mol ban đầu của N2 và H2 lần lượt là x; y.

\(\frac{{{P_t}}}{{{P_s}}} = \frac{{{n_t}}}{{{n_s}}}\)=> \(\frac{{{P_t}}}{{0,95{P_t}}} = \frac{{x + y}}{{0,7x + y}}\) => 0,7x + y = 0,95(x + y)

=>y = 5x

%nN2 = \(\frac{x}{{x + y}}.100\%  = \frac{x}{{x + 5x}}.100\% \)= 16,67%

%nH2 = 100% – 16,67% = 83,33%

Câu 4 :

Trong phân tử NH3 chứa liên kết?

  • A.
    Liên kết cho nhận.
  • B.
    Liên kết cộng hóa trị không phân cực.
  • C.
    Liên kết cộng hóa trị phân cực.
  • D.
    Liên kết Ion.

Đáp án : C

Phương pháp giải :

Dựa vào kiến thức về Tính chất hóa học của Ammonia.

Lời giải chi tiết :

Trong phân tử ammonia, liên kết N-H phân cực, cặp electron dùng chung lệch về nguyên tử nitrogen làm cho nguyên tử hydrogen mang một phần điện tích dương.

Câu 5 :

Phải dùng bao nhiêu lít khí Nitrogen và bao nhiêu lít khí Hydrogen để điều chế 17,0 gam NH3? Biết răng hiệu suất phản ứng tổng hợp NH3 là 20%. Các thể tích khí được đo ở đktc.

  • A.
    11,2 lít N2 và 33,6 lít H2.
  • B.
    11,2 lít N2 và 168 lít H2.
  • C.
    56 lít N2 và 168 lít H2.
  • D.

    33,6 lít N2 và 11,2 lít H2.

Đáp án : C

Phương pháp giải :

Dựa vào kiến thức về Sản xuất Ammonia.

Lời giải chi tiết :

nNH3 = \(\frac{{17}}{{17}}\) = 1 mol

H = 20% => VH2 = \(\frac{{1,5.22,4.100}}{{20}}\) = 168 (lít)

                     VN2 = \(\frac{{0,5.22,4.100}}{{20}}\)= 56 (lít)

Câu 6 :

Cho cân bằng hóa học: \({N_{2(k)}} + 3{H_{2(k)}} \mathbin{\lower.3ex\hbox{$\buildrel\textstyle\rightarrow\over{\smash{\leftarrow}\vphantom{_{\vbox to.5ex{\vss}}}}$}} 2N{H_{3(k)}}\) ∆H = -92 kJ. Khi giảm thể tích của hỗn hợp ở trạng thái cân bằng khi nhiệt độ không đổi thì cân bằng sẽ chuyển dịch:

  • A.
    Theo chiều phản ứng nghịch.
  • B.
    Theo chiều phản ứng thuận.
  • C.
    Không làm chuyển dịch cân bằng.
  • D.
    Tùy theo mức độ giảm thể tích mà cân bằng chuyển dịch theo chiều thuận hay chiều nghịch.

Đáp án : B

Phương pháp giải :

Dựa vào kiến thức về các yếu tố ảnh hưởng đến sự chuyển dịch cân bằng hóa học.

Lời giải chi tiết :

Khi giảm thể tích hỗn hợp => áp suất hỗn hợp tăng => cân bằng chuyển dịch theo chiều giảm số mol khí (chiều thuận).

Câu 7 :

NH3 thể hiện tính khử trong phản ứng hóa học nào trong các phản ứng hóa học sau?

  • A.

    2NH3 + H2O–> NH4+ + OH.

  • B.
    3NH3+ AlCl3 + 3H2O → Al(OH)3 + 3NH4Cl.
  • C.
    2NH3 + 3CuO   →   N2 + 3Cu + 3H2O.
  • D.
    NH+ HCl →   NH4Cl.

Đáp án : C

Phương pháp giải :

Dựa vào kiến thức về Tính chất hóa học của Ammonia.

Lời giải chi tiết :

NH3 thể hiện tính khử trong phản ứng:

\(2\mathop N\limits^{ – 3} {H_3}\; + {\rm{ }}3CuO\;{\rm{ }}\; \to \;{\rm{ }}\;{\mathop N\limits^0 _2} + {\rm{ }}3Cu{\rm{ }} + {\rm{ }}3{H_2}O\)

Câu 8 :

Nhận xét nào sau đây về NH3 là đủ nhất?

  • A.
    NH3 là một base.
  • B.
    NH3 là một chất khử.
  • C.
    NH3 vừa có tính khử của một chất khử vừa có tính chất của một base.
  • D.
    NH3 chỉ có tính base và tính khử mà không thể hiện tính oxi hóa.

Đáp án : D

Phương pháp giải :

Dựa vào kiến thức về Tính chất hóa học của Ammonia.

Lời giải chi tiết :

Trong phân tử ammonia, nguyên tử nitrogen có số oxi là -3 (số oxi hóa thấp nhất của nitrogen) nên ammonia chỉ thể hiện tính khử.

Câu 9 :

Để tách riêng NH3 ra khỏi hỗn hợp gồm N2, H2, NH3 trong công nghiệp, người ta đã:

  • A.
    Cho hỗn hợp qua nước vôi trong dư.
  • B.
    Cho hỗn hợp qua bột CuO nung nóng.
  • C.
    Nén và làm lạnh hỗn hợp để hóa lỏng NH3.
  • D.
    Cho hỗn hợp qua dung dịch H2SO4 đặc.

Đáp án : C

Phương pháp giải :

Dựa vào kiến thức về Tính chất vật lý của Ammonia.

Lời giải chi tiết :

Ammonia dễ hóa lỏng, hóa lỏng ở -33,3℃.

Câu 10 :

Trong các phản ứng sau, phản ứng nào NH3 đóng vai trò là một chất oxi hóa?

  • A.
    2NH3 + H2O2+ MnSO4 → MnO2 + (NH4)2SO4.
  • B.
    2NH3+ 3Cl2 → N2 + 6HCl.
  • C.
    4NH3 + 5O2   →   4NO+ 6H2O.
  • D.
    2NH+ 2Na  →   2NaNO3 + H2.

Đáp án : D

Phương pháp giải :

Dựa vào kiến thức về Tính chất hóa học của Ammonia.

Câu 11 :

Hợp chất X tan trong nước tạo dung dịch không màu. Dung dịch này không tạo kết tủa với dung dịch BaCl2, khi phản ứng với NaOH tạo ra khí có mùi khai, khi phản ứng với  dung dịch HCl tạo ra khí làm đục nước vôi trong và làm mất màu dung dịch thuốc tím. Chất này là

  • A.
    NH4HSO3.
  • B.
    Na2SO3.
  • C.
    NH4HCO3.
  • D.
    (NH4)2CO3.

Đáp án : A

Phương pháp giải :

Dựa vào kiến thức về Tính chất hóa học của Ammonia.

Lời giải chi tiết :

– X+ NaOH sinh ra khí có mùi khai → cation là NH4+

– Dung dịch X không tạo kết tủa với dung dịch BaCl2 → gốc axit không thể là SO42−,CO32−,SO32−

– Dung dịch X + HCl sinh ra khí làm đục nước vôi trong và làm mất màu dung dịch thuốc tím → anion là HSO3.

→ X là NH4HSO3.

Câu 12 :

Phản ứng giữa NH3 với chất nào sau đây chứng minh NH3 thể hiện tính base

  • A.
    Cl2.
  • B.
    O2.
  • C.
    HCl.
  • D.
    CuO.

Đáp án : C

Phương pháp giải :

Dựa vào kiến thức về Tính chất hóa học của Ammonia.

Lời giải chi tiết :

HCl + NH3 -> NH4Cl => Chọn C

Câu 13 :

Chất nào sau đây có thể làm khô khí NH3 có lẫn hơi nước?

  • A.
    P2O5.
  • B.
    H2SO4 đặc.
  • C.
    CuO bột.
  • D.
    NaOH rắn.

Đáp án : D

Phương pháp giải :

Dựa vào kiến thức về Tính chất hóa học của Ammonia.

Lời giải chi tiết :

Chất dùng làm khô khí NH3 có lẫn hơi nước phải là chất có đặc tính hút nước và không phản ứng với NH3.

→ Dùng NaOH rắn để làm khô khí

Câu 14 :

Nhận xét nào sau đây không đúng về muối ammonium?

  • A.
    Muối ammonium bền với nhiệt.
  • B.
    Các muối ammonium đều là chất điện li mạnh.
  • C.
    Tất cả các muối ammonium đều tan trong nước.
  • D.
    Các muối ammonium đều bị thủy phân trong nước.

Đáp án : A

Phương pháp giải :

Dựa vào kiến thức về Muối ammonium.

Lời giải chi tiết :

Các muối ammonium đều kém bền nhiệt và dễ bị phân hủy khi nung nóng

Câu 15 :

Dãy các chất đều phản ứng với NH3 trong điều kiện thích hợp là :

  • A.
    HCl, O2, Cl2, FeCl3.
  • B.
    H2SO4, Ba(OH)2, FeO, NaOH.
  • C.
    HCl, HNO3, AlCl3, CaO.
  • D.
    KOH, HNO3, CuO, CuCl2.

Đáp án : A

Phương pháp giải :

Dựa vào kiến thức về Tính chất hóa học của Ammonia.

Lời giải chi tiết :

HCl + NH3 -> NH4Cl

Cl2 + NH3 -> NH4Cl + N2

FeCl3 + NH3 + H2O -> Fe(OH)3 + 3NH4Cl

Câu 16 :

Muối được làm bột nở trong thực phẩm là:

  • A.
    (NH4)2CO3.
  • B.
    Na2CO3.
  • C.
    NH4HCO3.
  • D.
    NH4Cl.

Đáp án : C

Phương pháp giải :

Dựa vào kiến thức về Ứng dụng của muối Ammonium.

Lời giải chi tiết :

Câu 17 :

Cho phản ứng: FeO + HNO3 → Fe(NO3)3 + H2O + NO

Theo phương trình của phản ứng trên, khi hệ số của FeO là 3 thì hệ số của HNO3 là

  • A.
    6.
  • B.
    10.
  • C.
    8.
  • D.
    4.

Đáp án : B

Phương pháp giải :

Dựa vào kiến thức về Nitric acid.

Lời giải chi tiết :

3FeO + 10HNO3 → 3Fe(NO3)3 + 5H2O + NO

Câu 18 :

Cho hỗn hợp Cu, Fe phản ứng với dung dịch HNO3 loãng. Sau khi phản ứng hoàn toàn, thu được dung dịch chỉ chứa một chất tan và kim loại dư. Chất tan đó là:

  • A.
    Cu(NO3)2.
  • B.
    HNO3.
  • C.
    Fe(NO3)2.
  • D.
    Fe(NO3)3.

Đáp án : C

Phương pháp giải :

Dựa vào kiến thức về Nitric acid.

Lời giải chi tiết :

Chất tan duy nhất là: Fe(NO3)2

Câu 19 :

Có các mệnh đề sau :

(1) Tác nhân chính gay mưa acid là SO2 và Nox, phát thải chủ yếu do các hoạt động công nghiệp, nhiệt điện, giao thông, khai thác và chế biến dầu mỏ…

(2) Trong phân tử nitric acid, nguyên tử N có số oxi hóa +5, là số oxi hóa cao nhất của nitrogen.

(3) Nitric acid thể hiện tính oxi hóa mạnh, có khả năng hòa tan vàng, platinum.

(4) Nitric acid tinh khiết là chất lỏng, không màu, bốc khói mạnh trong không khí ẩm và tan vô hạn trong nước.

(5) Ở dạng đậm đặc, nitric acid dược dùng để sản xuất thuốc nổ trinitrotoluene TNT.

(6) Nguyên nhân của hiện tượng phú dưỡng là do sự dư thừa nitrogen trong nước.

Trong các mệnh đề trên, số mệnh đề đúng là

  • A.
    2.
  • B.
    3.
  • C.
    4.
  • D.
    5.

Đáp án : C

Phương pháp giải :

Dựa vào kiến thức về Một số hợp chất của nitrogen với oxygen.

Lời giải chi tiết :

Những mệnh đề đúng: (1), (2), (4), (5).

Câu 20 :

HNO3 phản ứng với tất cả các chất trong nhóm nào sau đây ?

  • A.
    KOH, MgCO3, Pt, FeS.
  • B.
    Al(OH)3, BaCO3, BaSO4, Fe2O3.
  • C.
    FeS2, Pt, SO2, HCl.
  • D.
    Fe(NO3)2, S, NH4HCO3, Mg(OH)2.

Đáp án : D

Phương pháp giải :

Dựa vào kiến thức về Nitric acid.

Lời giải chi tiết :

Loại A, B và C do HNO3 không phản ứng với Pt; BaSO4; HCl.

Câu 21 :

Cho dãy các chất Cu, Fe, Fe2O3, FeO, CuO, MgCO3, Pt, Al(OH)3. Số chất trong dãy bị oxi hóa khi tác dụng với dung dịch HNO3 đặc, nóng là:

  • A.
    4
  • B.
    3.
  • C.
    5.
  • D.
    6.

Đáp án : B

Phương pháp giải :

Dựa vào kiến thức về Nitric acid.

Lời giải chi tiết :

Các chất bị oxi hóa khi tác dụng với dung dịch HNO3 đặc, nóng: Cu, Fe, FeO.

Câu 22 :

Cho dãy các chất: FeO, Fe(OH)2, FeSO4, Fe3O4, Fe2(SO4)3, Fe2O3. Số chất trong dãy bị oxi hóa khi tác dụng với dung dịch HNO3 đặc, nóng là:

  • A.
    3
  • B.
    5.
  • C.
    4.
  • D.
    6.

Đáp án : C

Phương pháp giải :

Dựa vào kiến thức về Nitric acid.

Lời giải chi tiết :

Các chất bị oxi hóa khi tác dụng với dung dịch HNO3 đặc, nóng: FeO, Fe(OH)2, FeSO4, Fe3O4

Câu 23 :

Để điều chế 5 lít dung dịch HNO3 21% (D = 1,2g/ml) bằng phương pháp oxi hóa NH3 với hiệu suất toàn quá trình là 75%, thể tích khí NH3 (đktc) tối thiểu cần dùng là

  • A.
    560 lít
  • B.
    448 lít.
  • C.
    597,33 lít.
  • D.
    672 lít.

Đáp án : C

Phương pháp giải :

Dựa vào kiến thức về Nitric acid.

Lời giải chi tiết :

nNH3 = nHNO3 = \(\frac{{{{5.10}^3}.1,2.21}}{{100.63}}\)= 20 (mol)

H = 75% => VNH3 = \(\frac{{20.22,4.100}}{{75}}\)= 597,33 lít

Câu 24 :

Thể tích dung dịch HNO3 1M (loãng) ít nhất cần dùng để hoà tan hoàn toàn một hỗn hợp gồm 0,015 mol Fe và 0,03 mol Cu là (biết phản ứng tạo chất khử duy nhất là NO)

  • A.
    0,14 lít
  • B.
    0,12 lít.
  • C.
    0,06 lít.
  • D.
    0,08 lít.

Đáp án : B

Phương pháp giải :

Dựa vào kiến thức về Nitric acid.

Lời giải chi tiết :

Thể tích dung dịch HNO3 ít nhất

→ Sau phản ứng thu được Fe2+,Cu2+,NO3

Bảo toàn electron ta có: 2nFe2++2nCu2+=3nNO

→nNO=\(\frac{{2.0,015 + 2.0,03}}{3}\)= 0,03 (mol)

→nHNO3=4nNO=0,12 (mol) => VHNO3 = 0,12 (lít)

Câu 25 :

Cho phản ứng: Al + HNO3 → Al(NO3)3  +  N2O  +  H2O

Trong phương trình phản ứng trên, khi hệ số của Al là 8 thì hệ số của HNO3 là?

  • A.
    24.
  • B.
    30.
  • C.
    26.
  • D.
    15.

Đáp án : B

Phương pháp giải :

Dựa vào kiến thức về Nitric acid.

Lời giải chi tiết :

8Al + 30HNO3 → 8Al(NO3)3  +  3N2O  +  15H2O

Câu 26 :

Cho hỗn hợp Al, Fe vào dung dịch HNO3 loãng, dư thu được 6,72 lít NO (là sản phẩm khử duy nhất của N+5 ở đktc). Số mol acid đã phản ứng là?

  • A.
    0,3 mol.
  • B.
    0,6 mol.
  • C.
    1,2 mol.
  • D.
    2,4 mol.

Đáp án : C

Phương pháp giải :

Dựa vào kiến thức về Nitric acid.

Lời giải chi tiết :

4H+ + NO3 + 3e → NO + 2H2O

nHNO3 = 4nNO = 4.\(\frac{{6,72}}{{22,4}}\)= 1,2 mol

Câu 27 :

Có các mệnh đề sau :

(1) Các muối nitrate đều tan trong nước và đều là chất điện li mạnh.

(2) Ion NO có tính oxi hóa trong môi trường acid.

(3) Khi nhiệt phân muối nitrate rắn ta đều thu được khí NO2

(4) Hầu hết muối nitrate đều bền nhiệt.

Trong các mệnh đề trên, những mệnh đề đúng là

  • A.
    (1) và (3).
  • B.
    (2) và (4).
  • C.
    (2) và (3).
  • D.
    (1) và (2).

Đáp án : D

Phương pháp giải :

Dựa vào kiến thức về muối nitrate

Lời giải chi tiết :

D

Câu 28 :

Hoa cẩm tú cầu là loài hoa tượng trưng cho lòng biết ơn và sự chân thành, vẻ kì diệu của cẩm tú cầu là sự đổi màu ngoạn mục của nó. Màu của loài hoa này có thể thay đổi tùy thuộc vào pH của thổ nhưỡng nên có thề điểu chỉnh màu hoa thông qua việc điều chỉnh độ pH của đất trồng

pH đất trồng

<7

=7

>7

Màu hoa

Lam

Trắng sữa

Hồng

Khi trồng loài hoa trên, nếu ta bón thêm 1 ít vôi (CaO) hoặc NH4NO3 và chỉ tưới nước thì khi thu hoạch hoa sẽ có màu lần lượt là?

  • A.
    hồng – lam.
  • B.
    lam – hồng.
  • C.
    trắng sữa – hồng.
  • D.
    hồng – trắng sữa.

Đáp án : A

Phương pháp giải :

Dựa vào kiến thức về Nitric acid.

Lời giải chi tiết :

 Khi trồng hoa cẩm tú cầu, nếu bón thêm ít vôi (CaO) thì khi thu hoạch hoa sẽ có màu hồng. Đó là do CaO phản ứng với nước tạo Ca(OH)2 có tính kiềm khiến cho pH đất > 7 và ở pH này hoa sẽ có màu hồng.

– Ngược lại, nếu bón NH4NO3 thì khi thu hoạch hoa sẽ có màu lam. Đó là do NH4phân li trong nước cho ion H+ khiến cho pH đất < 7 và ở pH này hoa sẽ có màu lam.

Câu 29 :

HNO3 phản ứng với tất cả các chất trong nhóm nào sau đây ?

  • A.
    NaOH, Al2O3, Cu2S, BaSO4.
  • B.
    Cu(OH)2, BaCO3, Au, Fe2O3.
  • C.
    CuS, Pt, SO2, Ag.
  • D.
    Fe(NO3)2, S, NH4HCO3, Mg(OH)2.

Đáp án : D

Phương pháp giải :

Dựa vào kiến thức về Nitric acid.

Lời giải chi tiết :

Loại A, B và C do HNO3 không phản ứng với BaSO4; Au; Pt.

Câu 30 :

Cho vào bình kín thể tích không đổi 0,2 mol NO và 0,3 mol O2, áp suất trong bình là P1. Saukhi phản ứng hoàn toàn đưa bình về nhiệt độ ban đầu thì áp suất là P2. Tỉ lệ của P1 và P2 là:

  • A.
    P1 = 1,25P2.
  • B.
    P1 = 0,8P2.
  • C.
    P1 = 2P2.
  • D.
    P1 = P2.

Đáp án : A

Phương pháp giải :

Dựa vào kiến thức về Các oxide của nitrogen.

Lời giải chi tiết :

2NO+ O2 → 2NO2

Tổng số mol khí trước phản ứng là n1= 0,2+ 0,3= 0,5 mol

Ta có 0,2/2 ⟨ 0,3/1 nên NO phản ứng hết và O2 còn dư

2NO+ O2 → 2NO2

Trước pứ        0,2        0,3        mol

Phản ứng        0,2        0,1        0,2 mol

Sau pứ        0        0,2        0,2 mol

Số mol khí sau phản ứng là n2= nO2+ nNO2= 0,4 mol

Do sau khi phản ứng đưa bình về nhiệt độ ban đầu nên tỉ lệ về áp suất chính là tỉ lệ về số mol.

Ta có P1/P2= n1/n2=0,5/0,4=1,25 → P1= 1,25P2

Câu 31 :

Trong các oxide của nitrogen thì oxide được điều chế trực tiếp từ phản ứng của nitrogen với oxygen là:

  • A.
    N2O.
  • B.
    N2O5.
  • C.
    NO.
  • D.
    NO2.

Đáp án : C

Phương pháp giải :

Dựa vào kiến thức về Các oxide của nitrogen.

Lời giải chi tiết :

N2 + O2 2NO

Câu 32 :

Phần trăm khối lượng của N trong một oxide của nó là 30,43%.Tỉ khối của A so với H2 bằng 23. Xác định CTPT của oxide đó là:

  • A.
    N2O.
  • B.
    N2O5.
  • C.
    N2O4.
  • D.
    NO2.

Đáp án : D

Phương pháp giải :

Dựa vào kiến thức về Các oxide của nitrogen.

Lời giải chi tiết :

Phân tử khối của A là 46. Gọi công thức của oxit là NxOy

Có: \(\frac{{\% mN}}{{\% mO}}\)= 14x/16y= 30,43/69,57

suy ra x/y= 1/2 → Công thức đơn giản nhất là NO2

Mà MA= 46→ A là NO2

TẢI APP ĐỂ XEM OFFLINE