2. Bài 4: Amomnia và một số hợp chất ammonium

Đề bài

Câu 1 :

Cho các phát biểu sau:

  1. Ammonia lỏng được dùng làm chất làm lạnh trong thiết bị.
  2. Để làm khô khí NH3 có lẫn hơi nước, cho khí NH3 đi qua bình đựng dung dịch H2SO4 đậm đặc.
  3. Khi cho quỳ tím ẩm vào lọ đựng khí NH3, quỳ tím chuyển thành màu đỏ.
  4. Nitrogen lỏng được dùng để bảo quản máu và các mẫu vật sinh học.

Số phát biểu đúng là:

  • A.
    2.
  • B.
    1.
  • C.
    4.
  • D.
    3.

Câu 2 :

Bình cầu chứa đầy khí ammonia khô, được úp ngược lên một chậu chứa dung dịch HCl loãng pha dung dịch quỳ có màu hồng. Nước phun lên trong bình cầu và dung dịch trong bình cầu chuyển thành màu xanh. Hiện tượng này xảy ra vì?

  • A.
    Acid đã phản ứng với ammonia, làm quỳ đổi màu từ hồng sang xanh.
  • B.
    Ammonia là acid yếu, làm quỳ chuyển màu xanh.
  • C.
    Ammonia có tính base, tan trong nước nên áp suất giảm, nhờ đó nước có thể phun lên.
  • D.
    Acid đã phản ứng khí ammonia trong bình nên áp suất giảm, nhờ đó nước có thể phun lên.

Câu 3 :

Cho hỗn hợp N2 và H2 vào bình phản ứng có nhiệt độ không đổi. Sau thời gian phản ứng, áp suất khí trong bình giảm 5% so với áp suất ban đầu. Biết ti lệ số mol của nitrogen đã phản ứng là 15%. Thành phần phần trăm về số mol của N2 và H2 trong hỗn hợp đầu?

  • A.
    20% và 80%.
  • B.
    16,67 và 83,33%.
  • C.
    25% và 75%.
  • D.
    40% và 60%.

Câu 4 :

Trong phân tử NH3 chứa liên kết?

  • A.
    Liên kết cho nhận.
  • B.
    Liên kết cộng hóa trị không phân cực.
  • C.
    Liên kết cộng hóa trị phân cực.
  • D.
    Liên kết Ion.

Câu 5 :

Phải dùng bao nhiêu lít khí Nitrogen và bao nhiêu lít khí Hydrogen để điều chế 17,0 gam NH3? Biết răng hiệu suất phản ứng tổng hợp NH3 là 20%. Các thể tích khí được đo ở đktc.

  • A.
    11,2 lít N2 và 33,6 lít H2.
  • B.
    11,2 lít N2 và 168 lít H2.
  • C.
    56 lít N2 và 168 lít H2.
  • D.

    33,6 lít N2 và 11,2 lít H2.

Câu 6 :

Cho cân bằng hóa học: \({N_{2(k)}} + 3{H_{2(k)}} \mathbin{\lower.3ex\hbox{$\buildrel\textstyle\rightarrow\over{\smash{\leftarrow}\vphantom{_{\vbox to.5ex{\vss}}}}$}} 2N{H_{3(k)}}\) ∆H = -92 kJ. Khi giảm thể tích của hỗn hợp ở trạng thái cân bằng khi nhiệt độ không đổi thì cân bằng sẽ chuyển dịch:

  • A.
    Theo chiều phản ứng nghịch.
  • B.
    Theo chiều phản ứng thuận.
  • C.
    Không làm chuyển dịch cân bằng.
  • D.
    Tùy theo mức độ giảm thể tích mà cân bằng chuyển dịch theo chiều thuận hay chiều nghịch.

Câu 7 :

NH3 thể hiện tính khử trong phản ứng hóa học nào trong các phản ứng hóa học sau?

  • A.

    2NH3 + H2O–> NH4+ + OH.

  • B.
    3NH3+ AlCl3 + 3H2O → Al(OH)3 + 3NH4Cl.
  • C.
    2NH3 + 3CuO   →   N2 + 3Cu + 3H2O.
  • D.
    NH+ HCl →   NH4Cl.

Câu 8 :

Nhận xét nào sau đây về NH3 là đủ nhất?

  • A.
    NH3 là một base.
  • B.
    NH3 là một chất khử.
  • C.
    NH3 vừa có tính khử của một chất khử vừa có tính chất của một base.
  • D.
    NH3 chỉ có tính base và tính khử mà không thể hiện tính oxi hóa.

Câu 9 :

Để tách riêng NH3 ra khỏi hỗn hợp gồm N2, H2, NH3 trong công nghiệp, người ta đã:

  • A.
    Cho hỗn hợp qua nước vôi trong dư.
  • B.
    Cho hỗn hợp qua bột CuO nung nóng.
  • C.
    Nén và làm lạnh hỗn hợp để hóa lỏng NH3.
  • D.
    Cho hỗn hợp qua dung dịch H2SO4 đặc.

Câu 10 :

Trong các phản ứng sau, phản ứng nào NH3 đóng vai trò là một chất oxi hóa?

  • A.
    2NH3 + H2O2+ MnSO4 → MnO2 + (NH4)2SO4.
  • B.
    2NH3+ 3Cl2 → N2 + 6HCl.
  • C.
    4NH3 + 5O2   →   4NO+ 6H2O.
  • D.
    2NH+ 2Na  →   2NaNO3 + H2.

Câu 11 :

Hợp chất X tan trong nước tạo dung dịch không màu. Dung dịch này không tạo kết tủa với dung dịch BaCl2, khi phản ứng với NaOH tạo ra khí có mùi khai, khi phản ứng với  dung dịch HCl tạo ra khí làm đục nước vôi trong và làm mất màu dung dịch thuốc tím. Chất này là

  • A.
    NH4HSO3.
  • B.
    Na2SO3.
  • C.
    NH4HCO3.
  • D.
    (NH4)2CO3.

Câu 12 :

Phản ứng giữa NH3 với chất nào sau đây chứng minh NH3 thể hiện tính base

  • A.
    Cl2.
  • B.
    O2.
  • C.
    HCl.
  • D.
    CuO.

Câu 13 :

Chất nào sau đây có thể làm khô khí NH3 có lẫn hơi nước?

  • A.
    P2O5.
  • B.
    H2SO4 đặc.
  • C.
    CuO bột.
  • D.
    NaOH rắn.

Câu 14 :

Nhận xét nào sau đây không đúng về muối ammonium?

  • A.
    Muối ammonium bền với nhiệt.
  • B.
    Các muối ammonium đều là chất điện li mạnh.
  • C.
    Tất cả các muối ammonium đều tan trong nước.
  • D.
    Các muối ammonium đều bị thủy phân trong nước.

Câu 15 :

Dãy các chất đều phản ứng với NH3 trong điều kiện thích hợp là :

  • A.
    HCl, O2, Cl2, FeCl3.
  • B.
    H2SO4, Ba(OH)2, FeO, NaOH.
  • C.
    HCl, HNO3, AlCl3, CaO.
  • D.
    KOH, HNO3, CuO, CuCl2.

Câu 16 :

Muối được làm bột nở trong thực phẩm là:

  • A.
    (NH4)2CO3.
  • B.
    Na2CO3.
  • C.
    NH4HCO3.
  • D.
    NH4Cl.

Câu 17 :

Trong quá trình tổng hợp ammonia theo quy trình Haber (Haber – Bosch), sau khi đã hóa lỏng NH3, hydrogen và nitrogen sẽ:

  • A.
    Qua ống dẫn khí thải được loại bổ
  • B.
    Đưa trở lại buồng phản ứng để tái sử dụng
  • C.
    Tiếp tục qua lò phản ứng số 2 để tăng hiệu suất tổng hợp
  • D.
    Hygrogen được tái sử dụng, còn nitrogen loại bỏ dựa vào tỉ trọng

Câu 18 :

Phương trình phân ly của NH3 trong nước nào sau đây đúng:

  • A.
    \(N{H_3}(aq) + {H_2}O(l) \mathbin{\lower.3ex\hbox{$\buildrel\textstyle\rightarrow\over{\smash{\leftarrow}\vphantom{_{\vbox to.5ex{\vss}}}}$}} N{H_3}O{H^ – }(aq) + {H^ + }(aq)\)
  • B.
    \(N{H_3}(aq) + {H_2}O(l) \mathbin{\lower.3ex\hbox{$\buildrel\textstyle\rightarrow\over{\smash{\leftarrow}\vphantom{_{\vbox to.5ex{\vss}}}}$}} N{H_2}^ – (aq) + {H_3}{O^ + }(aq)\)
  • C.
    \(N{H_3}(aq) + {H_2}O(l) \mathbin{\lower.3ex\hbox{$\buildrel\textstyle\rightarrow\over{\smash{\leftarrow}\vphantom{_{\vbox to.5ex{\vss}}}}$}} N{H_4}^ + (aq) + O{H^ – }(aq)\)
  • D.
    \(N{H_3}(aq) + {H_2}O(l) \mathbin{\lower.3ex\hbox{$\buildrel\textstyle\rightarrow\over{\smash{\leftarrow}\vphantom{_{\vbox to.5ex{\vss}}}}$}} N{H_4}OH(l)\)

Câu 19 :

Tính base của NH3 do:

  • A.
    Trên N còn cặp electron tự do
  • B.
    Phân tử có 3 liên kết cộng hóa trị phân cực
  • C.
    NH3 tan được nhiều trong nước
  • D.
    NH3 tác dụng với nước tạo NH4OH

Câu 20 :

Phát biểu nào sau đây không đúng khi nói về ammonia?

  • A.
    Trong công nghiệp, ammoina thường được sử dụng với vai trò chất làm lạnh (chất sinh hàn)
  • B.
    Do có hàm lượng nitrogen cao (82,35% theo khối lượng) nên ammonia được sử dụng làm phân đạm rất hiệu quả
  • C.
    Phần lớn ammonia được dùng phản ứng với acid để sản xuất các loại phân đạm
  • D.

    Qúa trình tổng hợp ammonia từ nitrogen và hydrogen là quá trình thuận nghịch nên không thể đạt hiệu suất 100%

Lời giải và đáp án

Câu 1 :

Cho các phát biểu sau:

  1. Ammonia lỏng được dùng làm chất làm lạnh trong thiết bị.
  2. Để làm khô khí NH3 có lẫn hơi nước, cho khí NH3 đi qua bình đựng dung dịch H2SO4 đậm đặc.
  3. Khi cho quỳ tím ẩm vào lọ đựng khí NH3, quỳ tím chuyển thành màu đỏ.
  4. Nitrogen lỏng được dùng để bảo quản máu và các mẫu vật sinh học.

Số phát biểu đúng là:

  • A.
    2.
  • B.
    1.
  • C.
    4.
  • D.
    3.

Đáp án : A

Phương pháp giải :

Dựa vào kiến thức về Ammonia và Nitrogen.

Lời giải chi tiết :

Ammonia có tính base => làm quỳ chuyển màu xanh và không thể làm khô bằng dung dịch H2SO4 đậm đặc.

H2SO4 + 2NH3 -> (NH4)2SO4

Câu 2 :

Bình cầu chứa đầy khí ammonia khô, được úp ngược lên một chậu chứa dung dịch HCl loãng pha dung dịch quỳ có màu hồng. Nước phun lên trong bình cầu và dung dịch trong bình cầu chuyển thành màu xanh. Hiện tượng này xảy ra vì?

  • A.
    Acid đã phản ứng với ammonia, làm quỳ đổi màu từ hồng sang xanh.
  • B.
    Ammonia là acid yếu, làm quỳ chuyển màu xanh.
  • C.
    Ammonia có tính base, tan trong nước nên áp suất giảm, nhờ đó nước có thể phun lên.
  • D.
    Acid đã phản ứng khí ammonia trong bình nên áp suất giảm, nhờ đó nước có thể phun lên.

Đáp án : D

Phương pháp giải :

Dựa vào kiến thức về Tính chất hóa học của Ammonia.

Lời giải chi tiết :

Ban đầu trong bình chứa đầy khí NH3 khô nên không có sự chênh lệch áp suất nên nước không phun được vào bình

Ammonia có tính base vì vậy phản ứng được với acid tạo muối dạng dung dịch nên làm giảm khí -> giảm áp suất trong bình

PTHH: HCl + NH3 -> NH4Cl 

Do vậy áp suất trong bình giảm, nhờ đó nước có thể phun lên

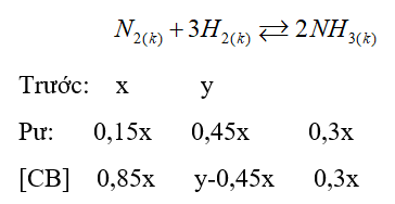
Câu 3 :

Cho hỗn hợp N2 và H2 vào bình phản ứng có nhiệt độ không đổi. Sau thời gian phản ứng, áp suất khí trong bình giảm 5% so với áp suất ban đầu. Biết ti lệ số mol của nitrogen đã phản ứng là 15%. Thành phần phần trăm về số mol của N2 và H2 trong hỗn hợp đầu?

  • A.
    20% và 80%.
  • B.
    16,67 và 83,33%.
  • C.
    25% và 75%.
  • D.
    40% và 60%.

Đáp án : B

Phương pháp giải :

Dựa vào kiến thức về Sản xuất Ammonia.

Lời giải chi tiết :

Gọi số mol ban đầu của N2 và H2 lần lượt là x; y.

\(\frac{{{P_t}}}{{{P_s}}} = \frac{{{n_t}}}{{{n_s}}}\)=> \(\frac{{{P_t}}}{{0,95{P_t}}} = \frac{{x + y}}{{0,7x + y}}\) => 0,7x + y = 0,95(x + y)

=>y = 5x

%nN2 = \(\frac{x}{{x + y}}.100\%  = \frac{x}{{x + 5x}}.100\% \)= 16,67%

%nH2 = 100% – 16,67% = 83,33%

Câu 4 :

Trong phân tử NH3 chứa liên kết?

  • A.
    Liên kết cho nhận.
  • B.
    Liên kết cộng hóa trị không phân cực.
  • C.
    Liên kết cộng hóa trị phân cực.
  • D.
    Liên kết Ion.

Đáp án : C

Phương pháp giải :

Dựa vào kiến thức về Tính chất hóa học của Ammonia.

Lời giải chi tiết :

Trong phân tử ammonia, liên kết N-H phân cực, cặp electron dùng chung lệch về nguyên tử nitrogen làm cho nguyên tử hydrogen mang một phần điện tích dương.

Câu 5 :

Phải dùng bao nhiêu lít khí Nitrogen và bao nhiêu lít khí Hydrogen để điều chế 17,0 gam NH3? Biết răng hiệu suất phản ứng tổng hợp NH3 là 20%. Các thể tích khí được đo ở đktc.

  • A.
    11,2 lít N2 và 33,6 lít H2.
  • B.
    11,2 lít N2 và 168 lít H2.
  • C.
    56 lít N2 và 168 lít H2.
  • D.

    33,6 lít N2 và 11,2 lít H2.

Đáp án : C

Phương pháp giải :

Dựa vào kiến thức về Sản xuất Ammonia.

Lời giải chi tiết :

nNH3 = \(\frac{{17}}{{17}}\) = 1 mol

H = 20% => VH2 = \(\frac{{1,5.22,4.100}}{{20}}\) = 168 (lít)

                     VN2 = \(\frac{{0,5.22,4.100}}{{20}}\)= 56 (lít)

Câu 6 :

Cho cân bằng hóa học: \({N_{2(k)}} + 3{H_{2(k)}} \mathbin{\lower.3ex\hbox{$\buildrel\textstyle\rightarrow\over{\smash{\leftarrow}\vphantom{_{\vbox to.5ex{\vss}}}}$}} 2N{H_{3(k)}}\) ∆H = -92 kJ. Khi giảm thể tích của hỗn hợp ở trạng thái cân bằng khi nhiệt độ không đổi thì cân bằng sẽ chuyển dịch:

  • A.
    Theo chiều phản ứng nghịch.
  • B.
    Theo chiều phản ứng thuận.
  • C.
    Không làm chuyển dịch cân bằng.
  • D.
    Tùy theo mức độ giảm thể tích mà cân bằng chuyển dịch theo chiều thuận hay chiều nghịch.

Đáp án : B

Phương pháp giải :

Dựa vào kiến thức về các yếu tố ảnh hưởng đến sự chuyển dịch cân bằng hóa học.

Lời giải chi tiết :

Khi giảm thể tích hỗn hợp => áp suất hỗn hợp tăng => cân bằng chuyển dịch theo chiều giảm số mol khí (chiều thuận).

Câu 7 :

NH3 thể hiện tính khử trong phản ứng hóa học nào trong các phản ứng hóa học sau?

  • A.

    2NH3 + H2O–> NH4+ + OH.

  • B.
    3NH3+ AlCl3 + 3H2O → Al(OH)3 + 3NH4Cl.
  • C.
    2NH3 + 3CuO   →   N2 + 3Cu + 3H2O.
  • D.
    NH+ HCl →   NH4Cl.

Đáp án : C

Phương pháp giải :

Dựa vào kiến thức về Tính chất hóa học của Ammonia.

Lời giải chi tiết :

NH3 thể hiện tính khử trong phản ứng:

\(2\mathop N\limits^{ – 3} {H_3}\; + {\rm{ }}3CuO\;{\rm{ }}\; \to \;{\rm{ }}\;{\mathop N\limits^0 _2} + {\rm{ }}3Cu{\rm{ }} + {\rm{ }}3{H_2}O\)

Câu 8 :

Nhận xét nào sau đây về NH3 là đủ nhất?

  • A.
    NH3 là một base.
  • B.
    NH3 là một chất khử.
  • C.
    NH3 vừa có tính khử của một chất khử vừa có tính chất của một base.
  • D.
    NH3 chỉ có tính base và tính khử mà không thể hiện tính oxi hóa.

Đáp án : D

Phương pháp giải :

Dựa vào kiến thức về Tính chất hóa học của Ammonia.

Lời giải chi tiết :

Trong phân tử ammonia, nguyên tử nitrogen có số oxi là -3 (số oxi hóa thấp nhất của nitrogen) nên ammonia chỉ thể hiện tính khử.

Câu 9 :

Để tách riêng NH3 ra khỏi hỗn hợp gồm N2, H2, NH3 trong công nghiệp, người ta đã:

  • A.
    Cho hỗn hợp qua nước vôi trong dư.
  • B.
    Cho hỗn hợp qua bột CuO nung nóng.
  • C.
    Nén và làm lạnh hỗn hợp để hóa lỏng NH3.
  • D.
    Cho hỗn hợp qua dung dịch H2SO4 đặc.

Đáp án : C

Phương pháp giải :

Dựa vào kiến thức về Tính chất vật lý của Ammonia.

Lời giải chi tiết :

Ammonia dễ hóa lỏng, hóa lỏng ở -33,3℃.

Câu 10 :

Trong các phản ứng sau, phản ứng nào NH3 đóng vai trò là một chất oxi hóa?

  • A.
    2NH3 + H2O2+ MnSO4 → MnO2 + (NH4)2SO4.
  • B.
    2NH3+ 3Cl2 → N2 + 6HCl.
  • C.
    4NH3 + 5O2   →   4NO+ 6H2O.
  • D.
    2NH+ 2Na  →   2NaNO3 + H2.

Đáp án : D

Phương pháp giải :

Dựa vào kiến thức về Tính chất hóa học của Ammonia.

Câu 11 :

Hợp chất X tan trong nước tạo dung dịch không màu. Dung dịch này không tạo kết tủa với dung dịch BaCl2, khi phản ứng với NaOH tạo ra khí có mùi khai, khi phản ứng với  dung dịch HCl tạo ra khí làm đục nước vôi trong và làm mất màu dung dịch thuốc tím. Chất này là

  • A.
    NH4HSO3.
  • B.
    Na2SO3.
  • C.
    NH4HCO3.
  • D.
    (NH4)2CO3.

Đáp án : A

Phương pháp giải :

Dựa vào kiến thức về Tính chất hóa học của Ammonia.

Lời giải chi tiết :

– X+ NaOH sinh ra khí có mùi khai → cation là NH4+

– Dung dịch X không tạo kết tủa với dung dịch BaCl2 → gốc axit không thể là SO42−,CO32−,SO32−

– Dung dịch X + HCl sinh ra khí làm đục nước vôi trong và làm mất màu dung dịch thuốc tím → anion là HSO3.

→ X là NH4HSO3.

Câu 12 :

Phản ứng giữa NH3 với chất nào sau đây chứng minh NH3 thể hiện tính base

  • A.
    Cl2.
  • B.
    O2.
  • C.
    HCl.
  • D.
    CuO.

Đáp án : C

Phương pháp giải :

Dựa vào kiến thức về Tính chất hóa học của Ammonia.

Lời giải chi tiết :

HCl + NH3 -> NH4Cl => Chọn C

Câu 13 :

Chất nào sau đây có thể làm khô khí NH3 có lẫn hơi nước?

  • A.
    P2O5.
  • B.
    H2SO4 đặc.
  • C.
    CuO bột.
  • D.
    NaOH rắn.

Đáp án : D

Phương pháp giải :

Dựa vào kiến thức về Tính chất hóa học của Ammonia.

Lời giải chi tiết :

Chất dùng làm khô khí NH3 có lẫn hơi nước phải là chất có đặc tính hút nước và không phản ứng với NH3.

→ Dùng NaOH rắn để làm khô khí

Câu 14 :

Nhận xét nào sau đây không đúng về muối ammonium?

  • A.
    Muối ammonium bền với nhiệt.
  • B.
    Các muối ammonium đều là chất điện li mạnh.
  • C.
    Tất cả các muối ammonium đều tan trong nước.
  • D.
    Các muối ammonium đều bị thủy phân trong nước.

Đáp án : A

Phương pháp giải :

Dựa vào kiến thức về Muối ammonium.

Lời giải chi tiết :

Các muối ammonium đều kém bền nhiệt và dễ bị phân hủy khi nung nóng

Câu 15 :

Dãy các chất đều phản ứng với NH3 trong điều kiện thích hợp là :

  • A.
    HCl, O2, Cl2, FeCl3.
  • B.
    H2SO4, Ba(OH)2, FeO, NaOH.
  • C.
    HCl, HNO3, AlCl3, CaO.
  • D.
    KOH, HNO3, CuO, CuCl2.

Đáp án : A

Phương pháp giải :

Dựa vào kiến thức về Tính chất hóa học của Ammonia.

Lời giải chi tiết :

HCl + NH3 -> NH4Cl

Cl2 + NH3 -> NH4Cl + N2

FeCl3 + NH3 + H2O -> Fe(OH)3 + 3NH4Cl

Câu 16 :

Muối được làm bột nở trong thực phẩm là:

  • A.
    (NH4)2CO3.
  • B.
    Na2CO3.
  • C.
    NH4HCO3.
  • D.
    NH4Cl.

Đáp án : C

Phương pháp giải :

Dựa vào kiến thức về Ứng dụng của muối Ammonium.

Lời giải chi tiết :

Câu 17 :

Trong quá trình tổng hợp ammonia theo quy trình Haber (Haber – Bosch), sau khi đã hóa lỏng NH3, hydrogen và nitrogen sẽ:

  • A.
    Qua ống dẫn khí thải được loại bổ
  • B.
    Đưa trở lại buồng phản ứng để tái sử dụng
  • C.
    Tiếp tục qua lò phản ứng số 2 để tăng hiệu suất tổng hợp
  • D.
    Hygrogen được tái sử dụng, còn nitrogen loại bỏ dựa vào tỉ trọng

Đáp án : B

Phương pháp giải :

Dựa vào kiến thức về quy trình Haber để tổng hợp ammonia

Lời giải chi tiết :

Tại thời điểm cân bằng nồng độ ammonia, nitrigen, hydrogen trong buồng phản ứng không đổi. Hỗn hợp khí này được dẫn qua hệ thống làm lạnh để hóa lỏng ammonia, còn hỗn hợp nitrogen và hydrogen được tái sử dụng bằng cách đưa trở lại buồng phản ứng.

Câu 18 :

Phương trình phân ly của NH3 trong nước nào sau đây đúng:

  • A.
    \(N{H_3}(aq) + {H_2}O(l) \mathbin{\lower.3ex\hbox{$\buildrel\textstyle\rightarrow\over{\smash{\leftarrow}\vphantom{_{\vbox to.5ex{\vss}}}}$}} N{H_3}O{H^ – }(aq) + {H^ + }(aq)\)
  • B.
    \(N{H_3}(aq) + {H_2}O(l) \mathbin{\lower.3ex\hbox{$\buildrel\textstyle\rightarrow\over{\smash{\leftarrow}\vphantom{_{\vbox to.5ex{\vss}}}}$}} N{H_2}^ – (aq) + {H_3}{O^ + }(aq)\)
  • C.
    \(N{H_3}(aq) + {H_2}O(l) \mathbin{\lower.3ex\hbox{$\buildrel\textstyle\rightarrow\over{\smash{\leftarrow}\vphantom{_{\vbox to.5ex{\vss}}}}$}} N{H_4}^ + (aq) + O{H^ – }(aq)\)
  • D.
    \(N{H_3}(aq) + {H_2}O(l) \mathbin{\lower.3ex\hbox{$\buildrel\textstyle\rightarrow\over{\smash{\leftarrow}\vphantom{_{\vbox to.5ex{\vss}}}}$}} N{H_4}OH(l)\)

Đáp án : C

Phương pháp giải :

Dựa vào phương trình phân li của NH3 trong nước

Lời giải chi tiết :

\(N{H_3}(aq) + {H_2}O(l) \mathbin{\lower.3ex\hbox{$\buildrel\textstyle\rightarrow\over{\smash{\leftarrow}\vphantom{_{\vbox to.5ex{\vss}}}}$}} N{H_4}^ + (aq) + O{H^ – }(aq)\)

Câu 19 :

Tính base của NH3 do:

  • A.
    Trên N còn cặp electron tự do
  • B.
    Phân tử có 3 liên kết cộng hóa trị phân cực
  • C.
    NH3 tan được nhiều trong nước
  • D.
    NH3 tác dụng với nước tạo NH4OH

Đáp án : A

Phương pháp giải :

Dựa vào kiến thức thuyết Bronsted – Lowy về acid và base

Lời giải chi tiết :

Theo thuyết Bronsted – Lowy về base là chất có khả năng nhận proton H+, tức là phân tử NH3 còn cặp electron tự do để nhận proton H+ thể hiện tính base.

Câu 20 :

Phát biểu nào sau đây không đúng khi nói về ammonia?

  • A.
    Trong công nghiệp, ammoina thường được sử dụng với vai trò chất làm lạnh (chất sinh hàn)
  • B.
    Do có hàm lượng nitrogen cao (82,35% theo khối lượng) nên ammonia được sử dụng làm phân đạm rất hiệu quả
  • C.
    Phần lớn ammonia được dùng phản ứng với acid để sản xuất các loại phân đạm
  • D.

    Qúa trình tổng hợp ammonia từ nitrogen và hydrogen là quá trình thuận nghịch nên không thể đạt hiệu suất 100%

Đáp án : B

Phương pháp giải :

Dựa vào kiến thức về ammonia

Lời giải chi tiết :

B sai do ammonia là nguyên liệu để sản xuất phân đạm.

TẢI APP ĐỂ XEM OFFLINE