2. Bài 32. Lực hướng tâm và gia tốc hướng tâm

Đề bài

Câu 1 :

Chọn phát biểu sai?

  • A.

    Vệ tinh nhân tạo chuyển động tròn đều quanh Trái Đất do lực hấp dẫn đóng vai trò lực hướng tâm.

  • B.

    Xe chuyển động vào một đoạn đường cong (khúc cua), lực đóng vai trò hướng tâm luôn là lực ma sát.

  • C.

    Xe chuyển động đều trên đỉnh một cầu võng, hợp lực của trọng lực và phản lực vuông góc đóng vai trò lực hướng tâm.

  • D.

    Vật nằm yên đối với mặt bàn nằm ngang đang quay đều quanh trục thẳng đứng thì lực ma sát nghỉ đóng vai trò lực hướng tâm.

Câu 2 :

Điều nào sau đây là đúng khi nói về lực tác dụng lên vật chuyển động tròn đều?

  • A.

    Ngoài các lực cơ học, vật còn chịu thêm tác dụng của lực hướng tâm.

  • B.

    Hợp lực của tất cả các lực tác dụng lên vật đóng vai trò là lực hướng tâm.

  • C.

    Vật chỉ chịu tác dụng của lực hướng tâm.

  • D.

    Hợp lực của tất cả các lực tác dụng lên vật nằm theo phương tiếp tuyến với quỹ đạo tại điểm khảo sát.

Câu 3 :

Ở những đoạn đường vòng, mặt đường được nâng lên một bên. Việc làm này nhằm mục đích nào kể sau đây?

  • A.

    Giới hạn vận tốc của xe.

  • B.

    Tạo lực hướng tâm.

  • C.

    Tăng lực ma sát.

  • D.

    Cho nước mưa thốt dễ dàng.

Câu 4 :

Một xe đua chạy quanh một đường tròn nằm ngang, bán kính R. Vận tốc xe không đổi. Lực đóng vai trò là lực hướng tâm lúc này là

  • A.

    lực đẩy của động cơ.

  • B.

    lực hãm.

  • C.

    lực ma sát nghỉ.

  • D.

    lực của vô – lăng (tay lái).

Câu 5 :

Chọn câu sai?

  • A.

    Vật có khối lượng càng lớn thì rơi tự do càng chậm vì khối lượng lớn thì quán tính lớn.

  • B.

    Nếu độ biến dạng đàn hồi x của vật biến thiên theo thời gian thì lực đàn hồi của vật cũng biến thiên cùng quy luật với x

  • C.

    Nguyên tắc của phép cân với các quả cân là so sánh khối lượng của vật với khối lượng chuẩn thông qua so sánh trọng lực tác dụng lên chúng.

  • D.

    Mặt Trăng sẽ chuyển động thẳng đều nếu đột nhiên lực hấp dẫn giữa Mặt Trăng và Trái Đất mất đi.

Câu 6 :

Phát biểu nào sau đây là đúng?

Trong chuyển động tròn đều

  • A.

    vectơ vận tốc luôn không đổi, do đó gia tốc bằng 0.

  • B.

    gia tốc hướng vào tâm quỹ đạo, độ lớn tỉ lệ nghịch với bình phương tốc độ.

  • C.

    phương, chiều và độ lớn của vận tốc luôn thay đổi.

  • D.

    gia tốc hướng vào tâm quỹ đạo, độ lớn tỉ lệ với bình phương tốc độ góc.

Câu 7 :

Một vật đang chuyển động theo đường tròn đều dưới tác dụng của lực hướng tâm ?. Nếu tăng bán kính quỹ đạo gấp hai lần so với lúc trước và đồng thời giảm tốc độ còn một nửa thì so với ban đầu, lực hướng tâm

  • A.

    giảm 8 lần.

  • B.

    giảm 4 lần

  • C.

    giảm 2 lần

  • D.

    Không thay đổi.

Câu 8 :

Câu nào sau đây nói về gia tốc trong chuyển động tròn đều là sai?

  • A.

    Vectơ gia tốc luôn hướng vào tâm quỹ đạo.

  • B.

    Độ lớn của gia tốc \(a = \frac{{{v^2}}}{R}\), với v là tốc độ, R là bán kính quỹ đạo.

  • C.

    Gia tốc đặc trưng cho sự biến thiên về độ lớn của vận tốc.

  • D.

    Vectơ gia tốc luôn vuông góc với vectơ vận tốc ở mọi thời điểm.

Câu 9 :

Một vật chuyển động theo đường tròn bán kính r=10cm với gia tốc hướng tâm 4 cm/s2. Chu kỳ T của chuyển động vật đó là

  • A.

    8π s

  • B.

    6π s

  • C.

    12π s

  • D.

    10π s

Câu 10 :

Một tài xế điều khiển một ôtô có khối lượng 1000 kg chuyển động quanh vòng tròn có bán kính 100 m nằm trên một mặt phẳng nằm ngang với vận tốc có độ lớn là 10 m/s. Lực ma sát nghỉ cực đại giữa lốp xe và mặt đường là 900 N. Ôtô sẽ:

  • A.

    trượt vào phía trong của vòng tròn.

  • B.

    trượt ra khỏi đường tròn.

  • C.

    chạy chậm lại vì tác dụng của lực li tâm.

  • D.

    chưa đủ cơ sở để kết luận

Câu 11 :

Một vật chuyển động tròn đều trên quỹ đạo có bán kính xác định. Khi tốc độ dài của vật tăng lên hai lần thì

  • A.

    tốc độ góc của vật giảm đi 2 lần.

  • B.

    tốc độ góc của vật tăng lên 4 lần.

  • C.

    gia tốc của vật tăng lên 4 lần.

  • D.

    gia tốc của vật không đổi.

Câu 12 :

Một chất điểm chuyển động trên đường tròn bán kính R=0,1m trong 1 giây được 2 vòng. Cho\({\pi ^2} = 10\), gia tốc hướng tâm của chất điểm là

  • A.

    64 m/s2       

  • B.

    24 m/s2       

  • C.

    16 m/s2       

  • D.

    36 m/s2

Câu 13 :

Một đĩa tròn bán kính 20cm quay đều quanh trục của nó. Đĩa quay một vòng hết đúng 2s. Hệ số ma sát tối thiểu bằng bao nhiêu để vật không bị trượt

  • A.

    0,1

  • B.

    0,2

  • C.

    0,3

  • D.

    0,4

Câu 14 :

Hai điểm ? và ? trên cùng một bán kính của một vô lăng đang quay đều, cách nhau 20cm. Điểm ? ở phía ngoài có tốc độ\({v_A} = 0,6\)m/s, còn điểm B có \({v_B} = 0,2\)m/s. Tốc độ góc của vô lăng và khoảng cách từ điểm B đến trục quay là

  • A.

    2 rad/s, 10 cm       

  • B.

    2 rad/s;  30 cm.      

  • C.

    4 rad/s;  20 cm.     

  • D.

    4 rad/s;  40 cm.

Câu 15 :

Phát biểu nào sau đây là đúng. Trong chuyển động tròn đều

  • A.

    vectơ vận tốc luôn không đổi, do đó gia tốc bằng 0.

  • B.

    gia tốc hướng tâm hướng vào tâm quỹ đạo, độ lớn tỉ lệ nghịch với bình phương tốc độ.

  • C.

    phương, chiều độ lớn của vận tốc luôn thay đổi.

  • D.

    gia tốc hướng vào tâm quỹ đạo, độ lớn tỷ lệ với bình phương tốc độ góc.

Câu 16 :

Lực nào sau đây có thể là lực hướng tâm

  • A.

    Lực ma sát

  • B.

    Lực đàn hồi

  • C.

    Lực hấp dẫn

  • D.

    Cả ba lực trên

Câu 17 :

Một chất điểm chuyển động tròn đều với bán kính quỹ đạo R=0,4m. Trong 1s chất điểm này quay được 2 vòng, lấy \({\pi ^2} = 10\). Gia tốc hướng tâm của vật là

  • A.

    \(64m/{s^2}\)

  • B.

    \(36m/{s^2}\)

  • C.

    \(24m/{s^2}\)

  • D.

    \(16m/{s^2}\)

Câu 18 :

Một vật có khối lượng m=1k chuyển động theo đường tròn bán kính r=0,5m dưới tác dụng của một lực hướng tâm F=8N. Tốc độ dài của vật đó là

  • A.

    1,5m/s         

  • B.

    4m/s

  • C.

    1m/s

  • D.

    2m/s

Câu 19 :

Một ô tô có khối lượng 1500kg chuyển động đều qua đoạn cầu cong vòng lên có bán kính cong là 80m với vận tốc 36km/h. Lấy \(g = 10m/{s^2}\). Áp lực mà xe lên cầu khi qua vị trí cao nhất có giá trị là

  • A.

    1312500N

  • B.

    131250N

  • C.

    13125N

  • D.

    1312,5N

Lời giải và đáp án

Câu 1 :

Chọn phát biểu sai?

  • A.

    Vệ tinh nhân tạo chuyển động tròn đều quanh Trái Đất do lực hấp dẫn đóng vai trò lực hướng tâm.

  • B.

    Xe chuyển động vào một đoạn đường cong (khúc cua), lực đóng vai trò hướng tâm luôn là lực ma sát.

  • C.

    Xe chuyển động đều trên đỉnh một cầu võng, hợp lực của trọng lực và phản lực vuông góc đóng vai trò lực hướng tâm.

  • D.

    Vật nằm yên đối với mặt bàn nằm ngang đang quay đều quanh trục thẳng đứng thì lực ma sát nghỉ đóng vai trò lực hướng tâm.

Đáp án : B

Lời giải chi tiết :

Xe chuyển động vào một đoạn đường cong (khúc cua), lực đóng vai trò hướng tâm không phải luôn là lực ma sát.

Câu 2 :

Điều nào sau đây là đúng khi nói về lực tác dụng lên vật chuyển động tròn đều?

  • A.

    Ngoài các lực cơ học, vật còn chịu thêm tác dụng của lực hướng tâm.

  • B.

    Hợp lực của tất cả các lực tác dụng lên vật đóng vai trò là lực hướng tâm.

  • C.

    Vật chỉ chịu tác dụng của lực hướng tâm.

  • D.

    Hợp lực của tất cả các lực tác dụng lên vật nằm theo phương tiếp tuyến với quỹ đạo tại điểm khảo sát.

Đáp án : B

Lời giải chi tiết :

Hợp lực của tất cả các lực tác dụng lên vật đóng vai trò là lực hướng tâm

Câu 3 :

Ở những đoạn đường vòng, mặt đường được nâng lên một bên. Việc làm này nhằm mục đích nào kể sau đây?

  • A.

    Giới hạn vận tốc của xe.

  • B.

    Tạo lực hướng tâm.

  • C.

    Tăng lực ma sát.

  • D.

    Cho nước mưa thốt dễ dàng.

Đáp án : B

Lời giải chi tiết :

Ở những đoạn đường vòng, mặt đường được nâng lên một bên. Việc làm này nhằm mục đích Tạo lực hướng tâm

Câu 4 :

Một xe đua chạy quanh một đường tròn nằm ngang, bán kính R. Vận tốc xe không đổi. Lực đóng vai trò là lực hướng tâm lúc này là

  • A.

    lực đẩy của động cơ.

  • B.

    lực hãm.

  • C.

    lực ma sát nghỉ.

  • D.

    lực của vô – lăng (tay lái).

Đáp án : C

Lời giải chi tiết :

Một xe đua chạy quanh một đường tròn nằm ngang, bán kính R. Vận tốc xe không đổi. Lực đóng vai trò là lực hướng tâm lúc này là lực ma sát nghỉ

Câu 5 :

Chọn câu sai?

  • A.

    Vật có khối lượng càng lớn thì rơi tự do càng chậm vì khối lượng lớn thì quán tính lớn.

  • B.

    Nếu độ biến dạng đàn hồi x của vật biến thiên theo thời gian thì lực đàn hồi của vật cũng biến thiên cùng quy luật với x

  • C.

    Nguyên tắc của phép cân với các quả cân là so sánh khối lượng của vật với khối lượng chuẩn thông qua so sánh trọng lực tác dụng lên chúng.

  • D.

    Mặt Trăng sẽ chuyển động thẳng đều nếu đột nhiên lực hấp dẫn giữa Mặt Trăng và Trái Đất mất đi.

Đáp án : A

Lời giải chi tiết :

Sự rơi tự do không phụ thuộc vào khối lượng của vật

Câu 6 :

Phát biểu nào sau đây là đúng?

Trong chuyển động tròn đều

  • A.

    vectơ vận tốc luôn không đổi, do đó gia tốc bằng 0.

  • B.

    gia tốc hướng vào tâm quỹ đạo, độ lớn tỉ lệ nghịch với bình phương tốc độ.

  • C.

    phương, chiều và độ lớn của vận tốc luôn thay đổi.

  • D.

    gia tốc hướng vào tâm quỹ đạo, độ lớn tỉ lệ với bình phương tốc độ góc.

Đáp án : D

Lời giải chi tiết :

Trong chuyển động tròn đều, vận tốc có độ lớn không đổi, nhưng có phương, chiều luôn thay đổi, nên chuyển động này có gia tốc. Gia tốc trong chuyển động tròn đều luôn hướng vào tâm của quỹ đạo nên gọi là gia tốc hướng tâm.
Độ lớn của gia tốc , với v là vận tốc, R là bán kính quỹ đạo.

Câu 7 :

Một vật đang chuyển động theo đường tròn đều dưới tác dụng của lực hướng tâm ?. Nếu tăng bán kính quỹ đạo gấp hai lần so với lúc trước và đồng thời giảm tốc độ còn một nửa thì so với ban đầu, lực hướng tâm

  • A.

    giảm 8 lần.

  • B.

    giảm 4 lần

  • C.

    giảm 2 lần

  • D.

    Không thay đổi.

Đáp án : A

Lời giải chi tiết :

Nếu tăng bán kính quỹ đạo gấp hai lần so với lúc trước và đồng thời giảm tốc độ còn một nửa thì so với ban đầu, lực hướng tâm giảm 8 lần

Câu 8 :

Câu nào sau đây nói về gia tốc trong chuyển động tròn đều là sai?

  • A.

    Vectơ gia tốc luôn hướng vào tâm quỹ đạo.

  • B.

    Độ lớn của gia tốc \(a = \frac{{{v^2}}}{R}\), với v là tốc độ, R là bán kính quỹ đạo.

  • C.

    Gia tốc đặc trưng cho sự biến thiên về độ lớn của vận tốc.

  • D.

    Vectơ gia tốc luôn vuông góc với vectơ vận tốc ở mọi thời điểm.

Đáp án : C

Lời giải chi tiết :

Gia tốc đặc trưng cho sự biến thiên về độ lớn của vận tốc là sai

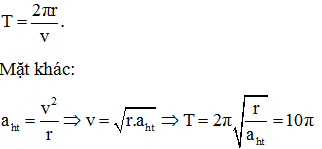
Câu 9 :

Một vật chuyển động theo đường tròn bán kính r=10cm với gia tốc hướng tâm 4 cm/s2. Chu kỳ T của chuyển động vật đó là

  • A.

    8π s

  • B.

    6π s

  • C.

    12π s

  • D.

    10π s

Đáp án : D

Lời giải chi tiết :

Câu 10 :

Một tài xế điều khiển một ôtô có khối lượng 1000 kg chuyển động quanh vòng tròn có bán kính 100 m nằm trên một mặt phẳng nằm ngang với vận tốc có độ lớn là 10 m/s. Lực ma sát nghỉ cực đại giữa lốp xe và mặt đường là 900 N. Ôtô sẽ:

  • A.

    trượt vào phía trong của vòng tròn.

  • B.

    trượt ra khỏi đường tròn.

  • C.

    chạy chậm lại vì tác dụng của lực li tâm.

  • D.

    chưa đủ cơ sở để kết luận

Đáp án : B

Phương pháp giải :

Lực ma sát đóng vai trò là lực hướng tâm.

Lời giải chi tiết :

Fht > Fms max thì ôtô sẽ trượt ra khỏi đường tròn

Câu 11 :

Một vật chuyển động tròn đều trên quỹ đạo có bán kính xác định. Khi tốc độ dài của vật tăng lên hai lần thì

  • A.

    tốc độ góc của vật giảm đi 2 lần.

  • B.

    tốc độ góc của vật tăng lên 4 lần.

  • C.

    gia tốc của vật tăng lên 4 lần.

  • D.

    gia tốc của vật không đổi.

Đáp án : C

Lời giải chi tiết :

Một vật chuyển động tròn đều trên quỹ đạo có bán kính xác định. Khi tốc độ dài của vật tăng lên hai lần thì gia tốc của vật tăng lên 4 lần

Câu 12 :

Một chất điểm chuyển động trên đường tròn bán kính R=0,1m trong 1 giây được 2 vòng. Cho\({\pi ^2} = 10\), gia tốc hướng tâm của chất điểm là

  • A.

    64 m/s2       

  • B.

    24 m/s2       

  • C.

    16 m/s2       

  • D.

    36 m/s2

Đáp án : C

Phương pháp giải :

Áp dụng công thức tính gia tốc hướng tâm

Lời giải chi tiết :

Trong một giây được 2 vòng nên tần số f=2Hz,vậy tốc độ góc của chất điểm là: \(\omega  = 2\pi f = 2\pi .2 = 4\pi \)rad/s

Gia tốc hướng tâm là: \({a_{ht}} = {\omega ^2}r = 16{\pi ^2}.0,1 = 16.10.0,1 = 16m/{s^2}\)

Câu 13 :

Một đĩa tròn bán kính 20cm quay đều quanh trục của nó. Đĩa quay một vòng hết đúng 2s. Hệ số ma sát tối thiểu bằng bao nhiêu để vật không bị trượt

  • A.

    0,1

  • B.

    0,2

  • C.

    0,3

  • D.

    0,4

Đáp án : B

Phương pháp giải :

Lực gây ra gia tốc hướng tâm là lực ma sát nghỉ. \({F_{msn}} \le \mu N\)

Lời giải chi tiết :

Khi đĩa quay, vật chuyển động tròn, lực gây ra gia tốc hướng tâm là ma sát nghỉ.

Ta có:\({F_{msn}} = m{a_{ht}} = m{\omega ^2}r = mr\frac{{4{\pi ^2}}}{{{T^2}}}\)

Mà \({F_{msn}} \le \mu N = \mu mg\)

\( \Rightarrow mr\frac{{4{\pi ^2}}}{{{T^2}}} \le \mu mg \to \mu  \ge \frac{{4{\pi ^2}r}}{{{T^2}g}} = \frac{{4.10.0,2}}{{10.4}} = 0,2\)

Câu 14 :

Hai điểm ? và ? trên cùng một bán kính của một vô lăng đang quay đều, cách nhau 20cm. Điểm ? ở phía ngoài có tốc độ\({v_A} = 0,6\)m/s, còn điểm B có \({v_B} = 0,2\)m/s. Tốc độ góc của vô lăng và khoảng cách từ điểm B đến trục quay là

  • A.

    2 rad/s, 10 cm       

  • B.

    2 rad/s;  30 cm.      

  • C.

    4 rad/s;  20 cm.     

  • D.

    4 rad/s;  40 cm.

Đáp án : B

Lời giải chi tiết :

Tại điểm A
ω = v/r = 0,6/r  (1)
Tại điểm B
ω = v/(r-0,2) = 0,2/(r-0,2)     (2)

=> Từ (1) và (2) suy ra:

0,6/r= 0,2/(r-0,2)
=> 0,6 (r-0,2)= 0,2.r
=> 0,6r-0,12 =0,2r
=> 0,4r= 0,12
=> r= 0,3 (m)
=> ω = v/r= 0,6/0,3= 2 (rad/s)

Câu 15 :

Phát biểu nào sau đây là đúng. Trong chuyển động tròn đều

  • A.

    vectơ vận tốc luôn không đổi, do đó gia tốc bằng 0.

  • B.

    gia tốc hướng tâm hướng vào tâm quỹ đạo, độ lớn tỉ lệ nghịch với bình phương tốc độ.

  • C.

    phương, chiều độ lớn của vận tốc luôn thay đổi.

  • D.

    gia tốc hướng vào tâm quỹ đạo, độ lớn tỷ lệ với bình phương tốc độ góc.

Đáp án : D

Lời giải chi tiết :

Trong chuyển động tròn đều gia tốc hướng vào tâm quỹ đạo, độ lớn tỷ lệ với bình phương tốc độ góc

Câu 16 :

Lực nào sau đây có thể là lực hướng tâm

  • A.

    Lực ma sát

  • B.

    Lực đàn hồi

  • C.

    Lực hấp dẫn

  • D.

    Cả ba lực trên

Đáp án : D

Lời giải chi tiết :

Lực ma sát, Lực đàn hồi, Lực hấp dẫn có thể là lực hướng tâm

Câu 17 :

Một chất điểm chuyển động tròn đều với bán kính quỹ đạo R=0,4m. Trong 1s chất điểm này quay được 2 vòng, lấy \({\pi ^2} = 10\). Gia tốc hướng tâm của vật là

  • A.

    \(64m/{s^2}\)

  • B.

    \(36m/{s^2}\)

  • C.

    \(24m/{s^2}\)

  • D.

    \(16m/{s^2}\)

Đáp án : A

Phương pháp giải :

Áp dụng công thức tính gia tốc hướng tâm

Lời giải chi tiết :

\({a_{ht}} = {\omega ^2}.R = 4{\pi ^2}{f^2}R = 4.10.4.0,4 = 64\)m/s2

Câu 18 :

Một vật có khối lượng m=1k chuyển động theo đường tròn bán kính r=0,5m dưới tác dụng của một lực hướng tâm F=8N. Tốc độ dài của vật đó là

  • A.

    1,5m/s         

  • B.

    4m/s

  • C.

    1m/s

  • D.

    2m/s

Đáp án : D

Phương pháp giải :

Từ công thức tính lực hướng tâm suy ra tốc độ dài v

Lời giải chi tiết :

Lực hướng tâm tác dụng vào vật: \(F = \frac{{m{v^2}}}{R}\)

Tốc độ dài \(v = \sqrt {\frac{{R.F}}{m}}  = \sqrt {\frac{{8.0,5}}{1}}  = 2m/s\)

Câu 19 :

Một ô tô có khối lượng 1500kg chuyển động đều qua đoạn cầu cong vòng lên có bán kính cong là 80m với vận tốc 36km/h. Lấy \(g = 10m/{s^2}\). Áp lực mà xe lên cầu khi qua vị trí cao nhất có giá trị là

  • A.

    1312500N

  • B.

    131250N

  • C.

    13125N

  • D.

    1312,5N

Đáp án : C

Phương pháp giải :

Áp dụng định luật II Newton

Lời giải chi tiết :

Ở chỗ cao nhất của cầu vòng lên thì hợp lực \(\overrightarrow P ,\overrightarrow N \)tạo thành lực hướng tâm:

\(P – N = \frac{{m{v^2}}}{R} \Rightarrow N = m(g – \frac{{{v^2}}}{R}) = 13125N\)

TẢI APP ĐỂ XEM OFFLINE