2. B. Kết nối trang 3

Khoanh vào chữ đặt trước câu trả lời đúng: a) Trong các phân số sau, phân số nào bằng phân số 3/4 là: Viết các phân số sau thành phân số thập phân: 7/2 …

Lựa chọn câu để xem lời giải nhanh hơn

Câu 7

Khoanh vào chữ đặt trước câu trả lời đúng:

 

Phương pháp giải:

a) Nếu nhân cả tử số và mẫu số của một phân số với cùng một số tự nhiên khác 0 thì được một phân số bằng phân số đã cho.
b) Quy đồng rồi so sánh các phân số đã cho để tìm phân số bé nhất.

c) Khi quy đồng mẫu số hai phân số có thể làm như sau:

– Lấy tử số và mẫu số của phân số thứ nhất nhân với mẫu số của phân số thứ hai.

– Lấy tử số và mẫu số của phân số thứ hai nhân với mẫu số của phân số thứ nhất.

Lời giải chi tiết:

Câu 8

Quy đồng mẫu số các phân số:

Phương pháp giải:

Chọn mẫu số chung nhỏ nhất.

– Lấy mẫu số chung nhỏ nhất chia cho mẫu số của phân số cần quy đồng.

– Nhân cả tử và mẫu của phân số với số vừa tìm được.

Lời giải chi tiết:

Câu 9

Sắp xếp các phân số sau theo thứ tự từ lớn đến bé:

Phương pháp giải:

Quy đồng mẫu số các phân số rồi so sánh.

Lời giải chi tiết:

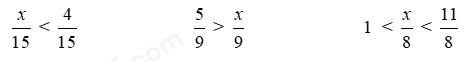
Câu 10

Tìm các số tự nhiên x khác 0 thỏa mãn:

Phương pháp giải:

Dựa vào cách so sánh hai phân số để tìm ra số tự nhiên x thỏa mãn.

Lời giải chi tiết:

Câu 11

Khoanh vào chữ đặt trước câu trả lời đúng:

Phương pháp giải:

Phân số thập phân là các phân số có mẫu số là 10; 100; 1000; …

Lời giải chi tiết:

Câu 12

Viết các phân số sau thành phân số thập phân:

Phương pháp giải:

Nhân hoặc chia cả tử số và mẫu số của các phân số đã cho với một số thích hợp để được phân số có mẫu là 10; 100; 1000; ….

Lời giải chi tiết:

Câu 13

Lớp 5A có 45 học sinh. Trong đợt kiểm tra sức khỏe đầu năm có \(\frac{1}{3}\) số học sinh có cân nặng dưới 35 kg, \(\frac{2}{5}\) số học sinh có cân nặng từ 35 kg đến 40 kg. Còn lại là học sinh có cân nặng trên 40 kg. Hỏi:

a) Lớp 5A có bao nhiêu học sinh có cân nặng dưới 35 kg? Bao nhiêu học sinh có cân nặng từ 35 kg đến 40 kg?

b) Lớp 5A có bao nhiêu học sinh có cân nặng trên 40 kg?

Phương pháp giải:

a) Số học sinh nặng dưới 35 kg = số học sinh cả lớp nhân với \(\frac{1}{3}\)

Số học sinh nặng từ 35 kg đến 40 kg = số học sinh cả lớp nhân với \(\frac{2}{5}\)

b) Số học sinh nặng trên 40 kg = số học sinh cả lớp – (số học sinh nặng dưới 35 kg + số học sinh nặng từ 35 kg đến 40 kg)

Lời giải chi tiết:

a)                                                         Số học sinh nặng dưới 35 kg là:

\(45 \times \frac{1}{3} = 15\) (học sinh)

Số học sinh nặng từ 35 kg đến 40 kg là:

\(45 \times \frac{2}{5} = 18\) (học sinh)

b)                                                         Số học sinh nặng trên 40 kg là:

45 – (15 + 18) = 12 (học sinh)

Đáp số:  a) 15 học sinh; 18 học sinh

             b) 12 học sinh    

TẢI APP ĐỂ XEM OFFLINE