11. Đề thi học kì 1 – đề số 10

Những nguyên tố hóa học nào sau đây thuộc cùng một nhóm?

Lựa chọn câu để xem lời giải nhanh hơn

Đề bài

Phần trắc nghiệm (4 điểm):

Câu 1: Những nguyên tố hóa học nào sau đây thuộc cùng một nhóm?

A. O, S, Se                       B. N, O, F                        C. Na, Mg, K                   D. Ne, Na, Mg

Câu 2: Chiếu một tia sáng đến một gương phẳng. Biết tia phản xạ và tia tới hợp với nhau một góc 60o. Khi đó góc phản xạ có giá trị:

A. 15o                              B. 30o                              C. 45o                              D. 60o

Câu 3: Sự biến đổi các chất có kích thước phân tử lớn thành các chất có kích thước phân tử nhỏ trong quá trình tiêu hóa thức ăn ở cơ thể người được gọi là quá trình

A. phân giải.                 B. tổng hợp.                C. đào thải.                  D. chuyển hóa năng lượng.

Câu 4: Vì sao đứng trước mặt hồ lăn tăn gợn song ta lại không nghe thấy âm thanh phát ra?

A. Do mặt nước không dao động mà chỉ chuyển động nên không phát ra âm.

B. Do không khí bên trên bề mặt nước không dao động.

C. Mặt nước dao động nhưng phát ra âm có tần số quá lớn.

D. Mặt nước dao động nhưng phát ra âm có tần số quá nhỏ.

Câu 5: Nhà Quang cách nhà Nam 210m. Quang đi bộ sang nhà Nam hết thời gian 2,5 phút. Quang đi với tốc độ là:

A. 4,8 km/h                     B. 1,19 m/s                      C. 4,8 m/phút                   D. 1,4 m/s

Câu 6: Phân tử glycerol chứa ba nguyên tử carbon, tám nguyên tử hydrogen và ba nguyên tử oxygen. Khối lượng phân tử của glycerol là:

A. 14 amu                        B. 29 amu                        C. 92 amu                        D. 42 amu

Câu 7: Quang hợp và hô hấp tế bào khác nhau ở điểm nào?

A. Quang hợp giải phóng ATP, còn hô hấp tế bào dự trữ ATP.

B. Quang hợp sử dụng oxygen, còn hô hấp tế bào tạo ra oxygen.

C. Quang hợp giải phóng năng lượng, còn hô hấp tế bào tích trữ năng lượng.

D. Quang hợp sử dụng khí carbon dioxide, còn hô hấp tế bào tạo ra khí carbon dioxide.

Câu 8: Mặt của miếng bìa trong hình dưới đây được đặt đối diện với mặt phẳng gương. Hình nào dưới đây là ảnh của miếng bìa trong gương?

Câu 9: Khi hai nguyên tử A và B tạo ra liên kết ion với nhau thì:

A. Mỗi nguyên tử A và B đều nhận thêm electron.

B. Một nguyên tử nhận thêm electron, một nguyên tử cho đi electron.

C. Proton được chuyển từ nguyên tử này sang nguyên tử kia.

D. Mỗi nguyên tử A và B đều cho đi electron.

Câu 10: Những vai trò nào sau đây là vai trò của trao đổi chất và chuyển hóa năng lượng cơ thể sinh vật?

(1) Cung cấp năng lượng cho các hoạt động sống của cơ thể.

(2) Cung cấp nhiệt năng sưởi ấm không khí xung quanh cơ thể.

(3) Xây dựng, duy trì, sửa chữa các tế bào, mô, cơ quan của cơ thể.

(4) Loại bỏ chất thải ra khỏi cơ thể.

(5) Hấp thụ năng lượng ánh sáng mặt trời.

A. (1), (3), (4).                 B. (2), (3), (4).                 C. (1), (3), (5).                 D. (2), (4), (5).

Câu 11: Bạn Tùng đếm được mỏ của con gà mái trong đồng hồ để bàn mổ xuống được 120 lần trong 2 phút. Tần số mổ của con gà đó là:

A. 1 Hz                            B. 30 Hz                          C. 60 Hz                          D. 120 Hz

Câu 12: Cơ quan thực hiện quá trình quang hợp chủ yếu ở cây là:

A. Rễ                               B. Thân                            C. Lá                                D. Hoa

Câu 13: Sóng âm không truyền được trong môi trường nào?

A. Chất rắn                                                              B. Chất rắn và chất lỏng

C. Chân không                                                                  D. Chất rắn, chất lỏng và chất khí.

Câu 14: Phát biểu nào sau đây không đúng?

A. Hợp chất chỉ có liên kết cộng hóa trị là chất cộng hóa trị.

B. Hợp chất chỉ có liên kết ion là chất ion.

C. Một số hợp chất có cả liên kết ion và liên kết cộng hóa trị.

D. Ở điều kiện thường, hợp chất ở thể rắn là chất ion.

Câu 15: Tại điểm nào trong hình dưới đây từ trường là mạnh nhất?

 A. Điểm A                       B. Điểm B                       C. Điểm C                       D. Điểm D

Câu 16: Quang hợp và hô hấp tế bào có mối quan hệ với nhau như thế nào?

A. Oxygen được tạo ra trong quá trình hô hấp tế bào và được sử dụng trong quá trình quang hợp.

B. Khí carbon dioxide và nước thải ra do hô hấp tế bào được sử dụng trong quá trình quang hợp.

C. Năng lượng được giải phóng trong quá trình quang hợp được sử dụng trong quá trình hô hấp tế bào.

D. Glucose sử dụng trong quá trình hô hấp tế bào để cung cấp cho hoạt động sống của cơ thể được phân hủy trong quá trình quang hợp.

Phần tự luận (6 điểm):

Câu 1 (1 điểm) Người ta cắm nhiệt kế vào bình chứa hạt đang nảy mầm, sau một thời gian, đo được sự tăng lên của nhiệt độ trong bình. Em hãy giải thích vì sao.

Câu 2 (2 điểm) Một vật chuyển động có đồ thị quãng đường – thời gian như hình dưới đây.

 

a) Hãy tính tốc độ của vật trên từng giai đoạn OA, AB, BC, CD.

b) Trong giai đoạn nào, vật chuyển động nhanh nhất?

Câu 3 (3 điểm)

a) Citric acid là hợp chất được sử dụng nhiều trong công nghiệp thực phẩm, dược phẩm. Trong tự nhiên, citric acid có trong quả chanh và một số loại quả như bưởi, cam … Citric acid có công thức hóa học là C6H8O7. Hãy tính phần trăm khối lượng của mỗi nguyên tố trong citric acid.

b) Hợp chất được tạo thành từ nguyên tố A và oxygen có khối lượng phân tử là 160 amu. Trong đó, khối lượng của A chiếm 70%. Biết trong hợp chất trên, A có hóa trị III. Hãy xác định nguyên tố A và công thức hóa học của hợp chất.

Đáp án

Phần trắc nghiệm (4 điểm)

1. A

2. B

3. A

4. D

5. D

6. C

7. D

8. C

9. B

10. A

11. A

12. C

13. C

14. D

15. A

16. B

Câu 1:

A: O, S, Se thuộc cùng nhóm VIA

B: N thuộc nhóm VA, O thuộc nhóm VIA, F thuộc nhóm VIIA

C: Na, K thuộc nhóm IA, Mg thuộc nhóm IIA

D: Ne thuộc nhóm VIIIA, Na thuộc nhóm IA, Mg thuộc nhóm IIA

Đáp án A.

Câu 2:

Tia phản xạ và tia tới hợp với nhau một góc 60o => i + i’ = 60o mà ta có i = i’

Khi đó góc phản xạ có giá trị bằng: 30o.

Đáp án B.

Câu 3:

Tập hợp các biến đổi hóa học trong tế bào được thể hiện qua quá trình tổng hợp và phân giải các chất. Trong đó, quá trình tổng hợp là sự biến đổi từ chất đơn giản thành chất phức tạp còn quá trình phân giải là sự biến đổi từ chất phức tạp thành chất đơn giản → Sự biến đổi các chất có kích thước phân tử lớn thành các chất có kích thước phân tử nhỏ trong quá trình tiêu hóa thức ăn ở cơ thể người được gọi là quá trình phân giải.

Đáp án: A

Câu 4:

Khi đứng trước mặt hồ lăn tăn gợn song ta lại không nghe thấy âm thanh phát ra do mặt nước dao động nhưng phát ra âm có tần số quá nhỏ.

Đáp án D.

Câu 5:

Đổi 2,5 phút = 150s

Quang đi với tốc độ là: v = s/t = 210 : 150 = 1,4 (m/s)

Đáp án D.

Câu 6:

Khối lượng phân tử glycerol là: 3 . 12 + 8 . 1 + 3 . 16 = 92 (amu).

Đáp án C.

Câu 7:

– Quang hợp dự trữ năng lượng, còn hô hấp tế bào giải phóng năng lượng ATP.

– Quang hợp tạo ra oxygen, còn hô hấp tế bào sử dụng oxygen.

– Quang hợp tích trữ năng lượng, còn hô hấp tế bào giải phóng năng lượng.

– Quang hợp sử dụng khí carbon dioxide, còn hô hấp tế bào tạo ra khí carbon dioxide.

Đáp án: D

Câu 8:

Đáp án C.

Câu 9:

Khi hai nguyên tử A và B tạo ra liên kết ion với nhau thì một nguyên tử nhận thêm electron, một nguyên tử cho đi electron.

Nguyên tử cho electron chuyển thành ion dương, nguyên tử nhận electron chuyển thành ion âm.

Trong quá trình tạo ra liên kết hóa học, hạt nhân của các nguyên tử không thay đổi.

Đáp án B.

Câu 10:

Vai trò của sự trao đổi chất và chuyển hóa năng lượng trong cơ thể sinh vật:

– Cung cấp năng lượng cho các hoạt động sống của cơ thể: Quá trình phân giải các chất hữu cơ giải phóng năng lượng để cung cấp cho các hoạt động sống của cơ thể như vận động, vận chuyển các chất, sinh trưởng và phát triển, cảm ứng, sinh sản, …

– Xây dựng, duy trì, sửa chữa các tế bào, mô, cơ quan của cơ thể: Sản phẩm của các quá trình chuyển hóa trong tế bào tạo nên nguồn nguyên liệu tham gia cấu tạo nên tế bào và cơ thể.

– Loại bỏ chất thải ra khỏi cơ thể: Các chất dư thừa, chất thải của quá trình trao đổi chất được thải ra khỏi tế bào và cơ thể, đảm bảo duy trì cân bằng môi trường trong cơ thể.

Đáp án: A

Câu 11:

Tần số là số dao động của vật thực hiện được trong 1 giây.

Bạn Tùng đếm được mỏ của con gà mái trong đồng hồ để bàn mổ xuống được 120 lần trong 2 phút (2 phút = 120 giây)

=> Tần số mổ của con gà đó là 1 Hz.

Đáp án A.

Câu 12:

Cơ quan thực hiện quá trình quang hợp chủ yếu ở cây là Lá. Vì lá là cơ quan tập trung chủ yếu hệ sắc tố quang hợp tên là diệp lục – thực hiện quá trình quang hợp cho cây.

Đáp án C.

Câu 13:

Sóng âm truyền được trong các môi trường rắn, lỏng, khí.

Đáp án C.

Câu 14:

Phát biểu A đúng, chất cộng hóa trị là chất chỉ có liên kết cộng hóa trị.

Phát biểu B đúng, chất ion là chất chỉ có liên kết ion.

Phát biểu C đúng, một số hợp chất vừa có liên kết cộng hóa trị, vừa có liên kết ion chẳng hạn như sodium carbonate.

Phát biểu D sai vì ở điều kiện thường, các hợp chất ở thể rắn cũng có thể là hợp chất cộng hóa trị.

Đáp án D.

Câu 15:

Tại điểm A từ trường là mạnh nhất.

Vì: Từ trường ở hai cực của nam châm là mạnh nhất. Ta có hình ảnh từ phổ của thanh nam châm. Từ trường ở hai cực của nam châm là mạnh nhất do đó ở hai từ cực hút sắt mạnh nhất.

Đáp án A.

Câu 16:

  • Hô hấp tế bào không tạo ra oxygen mà tạo ra carbon dioxide, oxygen được tạo ra từ quá trình quang hợp được giải phóng ra ngoài môi trường.
  • Khí carbon dioxide và nước thải ra do hô hấp tế bào được sử dụng trong quá trình quang hợp.
  • Quang hợp là quá trình tổng hợp chất hữu cơ, tích lũy năng lượng chứ không giải phóng năng lượng.
  • Glucose sử dụng trong quá trình hô hấp tế bào để cung cấp cho hoạt động sống của cơ thể được tổng hợp trong quá trình quang hợp.

Đáp án: B

Phần tự luận (6 điểm)

Câu 1: 

Người ta cắm nhiệt kế vào bình chứa hạt đang nảy mầm, sau một thời gian, đo được sự tăng lên của nhiệt độ trong bình. Em hãy giải thích vì sao.

Phương pháp giải:

Hô hấp tế bào là quá trình tế bào phân giải chất hữu cơ giải phóng năng lượng cung cấp cho các hoạt động sống của cơ thể. Trong quá trình này, tế bào sử dụng oxygen và thải ra carbon dioxide, nước. Phương trình hô hấp tổng quát dạng chữ:

Glucose + Oxygen → Carbon dioxide + Nước + Năng lượng (ATP và nhiệt)

Nơi xảy ra: Ti thể ở tế bào sinh vật nhân thực.

Lời giải chi tiết:

Người ta cắm nhiệt kế vào bình chứa hạt đang nảy mầm, sau một thời gian, đo được sự tăng lên của nhiệt độ trong bình vì: Ở hạt đang nảy mầm, quá trình hô hấp tế bào diễn ra mạnh mẽ. Mà quá trình hô hấp tế bào là quá trình giải phóng năng lượng, một phần năng lượng được giải phóng dưới dạng nhiệt năng. Chính nhiệt năng được thải ra trong quá trình hô hấp tế bào của hạt đang nảy mầm là nguyên nhân làm tăng nhiệt độ trong bình.

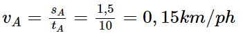
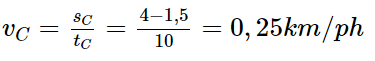
Câu 2: 

Một vật chuyển động có đồ thị quãng đường – thời gian như hình dưới đây.

a) Hãy tính tốc độ của vật trên từng giai đoạn OA, AB, BC, CD.

b) Trong giai đoạn nào, vật chuyển động nhanh nhất?

Lời giải chi tiết:

Tốc tốc độ của vật trên đoạn OA

Tốc tốc độ của vật trên đoạn AB

vB = 0

Tốc tốc độ của vật trên đoạn BC

Tốc tốc độ của vật trên đoạn CD

vD = 0

b) Ta thấy vC > vA > vB = vD

Vậy giai đoạn BC vật chuyển động nhanh nhất.

Câu 3: 

a) Citric acid là hợp chất được sử dụng nhiều trong công nghiệp thực phẩm, dược phẩm. Trong tự nhiên, citric acid có trong quả chanh và một số loại quả như bưởi, cam … Citric acid có công thức hóa học là C6H8O7. Hãy tính phần trăm khối lượng của mỗi nguyên tố trong citric acid.

b) Hợp chất được tạo thành từ nguyên tố A và oxygen có khối lượng phân tử là 160 amu. Trong đó, khối lượng của A chiếm 70%. Biết trong hợp chất trên, A có hóa trị III. Hãy xác định nguyên tố A và công thức hóa học của hợp chất.

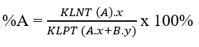
Phương pháp giải:

Bước 1: Tính khối lượng mỗi nguyên tố có trong 1 phân tử hợp chất

Bước 2: Tính khối lượng phân tử

Bước 3: Tính phần trăm khối lượng của nguyên tố theo công thức:

Lời giải chi tiết:

a) Citric acid gồm: 6 nguyên tử C, 8 nguyên tử H và 7 nguyên tử O

Ta có: Khối lượng của nguyên tố C trong C6H8O7 là:

mC = 6 x 12 amu = 72 amu

Khối lượng của nguyên tố H trong C6H8O7 là:

mH = 1 x 8 amu = 8 amu

Khối lượng của nguyên tố O trong C6H8O7 là:

mO = 7 x 16 amu = 112 amu

=> Khối lượng phân tử C6H8O7 là: MC6H8O7 = 72 + 8 + 112 = 192 amu

 

b) Đặt công thức hóa học của hợp chất là AxOy.

A chiếm 70% nên O chiếm 100% – 70% = 30%.

Khối lượng nguyên tố O trong hợp chất là:

 

Ta có: y × 16 = 48 ⇒ y = 3.

Trong phân tử A có hóa trị III nên: x . III = y . II

Lại có y = 3 ⇒ x = 2. Hợp chất là A2O3.

Khối lượng A trong hợp chất là: 160 – 48 = 112

Vậy khối lượng nguyên tử A là: 112 : 2=56 (amu)

Nguyên tố A là Fe và công thức hóa học của hợp chất là Fe2O3.

TẢI APP ĐỂ XEM OFFLINE