Lựa chọn câu để xem lời giải nhanh hơn
CH tr 41 4.1
Định luật chuyển động nào của Newton liên quan đến việc chứng minh định luật bảo toàn động lượng?
Phương pháp giải:
Nội dung 3 định luật của Newton là:
Định luật 1: Nếu một vật không chịu tác dụng của lực nào hoặc chịu tác dụng của các lực có hợp lực bằng không, thì nó giữ nguyên trạng thái đứng yên hoặc chuyển động thẳng đều.
Định luật II: Véctơ gia tốc của một vật luôn cùng hướng với lực tác dụng lên vật. Độ lớn của véctơ gia tốc tỉ lệ thuận với độ lớn của véctơ lực tác dụng lên vật và tỉ lệ nghịch với khối lượng của vật.
Định luật 3: Khi vật A tác dụng lên vật B một lực, thì vật B cũng tác dụng trở lại vật A một lực. Hai lực này là hai lực trực đối.
Lời giải chi tiết:
Định luật II và III của Newton liên quan đến chứng minh định luật bảo toàn động lượng.
CH tr 41 4.2
Một chiếc xe chở hàng đang chuyển động thì một gói hàng rơi ra khỏi xe. Động lượng của xe chở hàng có được bảo toàn không? Giải thích, hãy xác định rõ hệ vật nào đang được xem xét.
Phương pháp giải:
Định luật bảo toàn động lượng: Nếu không có ngoại lực nào tác dụng lên hệ vật thì tổng động lượng của hệ không đổi, tức là được bảo toàn.
Lời giải chi tiết:
Ngay trước và sau khi gói hàng rời xe thì động lượng của hệ gồm xe và toàn bộ hàng vẫn được bảo toàn.
Động lượng của gói hàng bị rơi, động lượng của xe và các gói hàng còn lại bị thay đổi.
CH tr 41 4.3
Một quả bóng bay tới va chạm và bật ra khỏi một bức tường.
a) Động lượng của quả bóng có được bảo toàn trong quá trình này không? Giải thích.
b) Động lượng của hệ gồm các vật nào được bảo toàn trong quá trình này? Giải thích.
Phương pháp giải:
Định luật bảo toàn động lượng: Nếu không có ngoại lực nào tác dụng lên hệ vật thì tổng động lượng của hệ không đổi, tức là được bảo toàn.
Lời giải chi tiết:
a) Động lượng của quả bóng không được bảo toàn trong quá trình này vì trong thời gian va chạm, quả bóng chịu tác dụng của bức tường đã gây ra sự biến thiên động lượng của quả bóng.
b) Động lượng của hệ gồm các vật: Quả bóng và Trái đất (bức tường là một phần) được bảo toàn trong quá trình này. Hệ vật này là hệ kín.
CH tr 41 4.4
Động lượng của electron có khối lượng 9,1 . 10-31 kg và vận tốc 2,0 . 107 m/s là
A. 1,8 . 10-23 kgm/s B. 2,3 . 10-23 kgm/s
C. 3,1 . 10-19 kgm/s D. 7,9 . 10-3 kgm/s
Phương pháp giải:
Động lượng là đại lượng đặc trưng cho vật chuyển động trong tương tác, tính bằng tích của vận tốc và khối lượng. Đơn vị của động lượng là kg.m/s.
Động lượng = khối lượng x vận tốc
p = mv
Lời giải chi tiết:
Sử dụng công thức tính động lượng, ta có:
p = 9,1 . 10-31 x 2,0 x 107 = 1,8 . 10-23 kg.m/s.
Đáp án A.
CH tr 41 4.5
Một vật chuyển động với tốc độ tăng dần thì có
A. động lượng không đổi B. động lượng bằng không
C. động lượng tăng dần D. động lượng giảm dần
Phương pháp giải:
Một vật chuyển động với tốc độ tăng dần thì có động lượng tăng dần.
Lời giải chi tiết:
Đáp án C.
CH tr 42 4.6
Tổng động lượng trong một hệ kín luôn
A. ngày càng tăng B. giảm dần
C. bằng không D. bằng hằng số
Phương pháp giải:
Định luật bảo toàn động lượng: Nếu không có ngoại lực nào tác dụng lên hệ vật thì tổng động lượng của hệ không đổi, tức là được bảo toàn.
Lời giải chi tiết:
Tổng động lượng trong một hệ kín luôn bằng hằng số.
Đáp án D.
CH tr 42 4.7
Biết khối lượng của Trái đất là 6,0 . 1024 kg. Tốc độ của Trái đất khi một hòn đá khối lượng 60 kg rơi về phía Trái đất với vận tốc 20 m/s là
A. 2,4 . 10-22 m/s B. 3,5 . 10-33 m/s
C. -2,0 . 10-22 m/s D. -3 . 1034 m/s
Phương pháp giải:
Động lượng là đại lượng đặc trưng cho vật chuyển động trong tương tác, tính bằng tích của vận tốc và khối lượng. Đơn vị của động lượng là kg.m/s.
Động lượng = khối lượng x vận tốc
p = mv
Lời giải chi tiết:
Từ công thức tính động lượng => v = p : m
=> Tốc độ của Trái đất khi hòn đá rơi là: -2,0 . 10-22 m/s.
Đáp án C.
CH tr 42 4.8
Hai viên bi giống hệt nhau tiếp xúc với nhau và nằm trên mặt bàn không có ma sát thì bị một viên bi khác có cùng khối lượng đang chuyển động với vận tốc v theo đường thẳng qua tâm của hai viên bi tới va chạm. Nếu va chạm là đàn hồi, thì hình nào sau đây là kết quả có thể xảy ra sau va chạm?

Lời giải chi tiết:
Đáp án D.
CH tr 42 4.9
Tính động lượng của một chiếc ô tô có khối lượng 1,2 tấn đang chạy với tốc độ 90 km/h.
Phương pháp giải:
Động lượng là đại lượng đặc trưng cho vật chuyển động trong tương tác, tính bằng tích của vận tốc và khối lượng. Đơn vị của động lượng là kg.m/s.
Động lượng = khối lượng x vận tốc
p = mv
Lời giải chi tiết:
Đổi đơn vị: 90km/h = 25 m/s
Động lượng được tính bằng: 1,2 . 103 . 25 = 30 . 103 kg.m/s.
CH tr 42 4.10
Một quả cầu khối lượng 0,1 kg rơi theo phương thẳng đứng chạm đất với tốc độ 5 m/s và bật ngược trở lại với tốc độ 4 m/s. Tính độ thay đổi động lượng của nó.
Phương pháp giải:
Sử dụng công thức về sự thay đổi động lượng: 
Lời giải chi tiết:
Sử dụng công thức về sự thay đổi động lượng, mu là động lượng của quả bóng khi nó chạm đất và mv là trọng lượng của nó khi nó bắt đầu bật trở lại:
Δp = 0,1 kg x 4 m/s – [0,1 kg x 5 m/s] = 0,9 kg.m/s
Động lượng trước và sau ngược chiều nhau nên một trong số chúng phải được xác định là đại lượng âm.
CH tr 42 4.11
Một quả bóng bay với động lượng ban đầu 2,5 kgm/s bật ra khỏi tường và quay trở lại theo hướng ngược lại với động lượng 2,5 kgm/s.
a) Sự thay đổi động lượng của quả bóng là gì?
b) Vật nào gây ra sự thay đổi động lượng của quả bóng?
Lời giải chi tiết:
a) Sự thay đổi động lượng của quả bóng là thay đổi về hướng.
b) Bức tường gây ra lực, tạo ra sự thay đổi động lượng của quả bóng.
CH tr 42 4.12
Bạn Nam đang đi xe đạp trên đường thẳng với vận tốc 5 m/s thì ném một hòn đá khối lượng 0,5 kg có vận tốc 15 m/s so với mặt đất, cùng hướng chuyển động của xe. Khối lượng của bạn Nam và xe đạp là 50 kg. Sau khi ném hòn đá thì vận tốc của xe đạp có thay đổi không? Tính độ thay đổi của tốc độ?
Phương pháp giải:
Định luật bảo toàn động lượng: Nếu không có ngoại lực nào tác dụng lên hệ thì tổng động lượng của hệ không đổi, tức là được bảo toàn.
Lời giải chi tiết:
Theo định luật bảo toàn động lượng:
Động lượng ban đầu = động lượng sau khi ném
(m1 + m2)v1 = m1v’1 + m2v’2
=> v’1 = 4,9 m/s
=> Tốc độ của bạn Nam và xe đạp sẽ giảm đi: v1 – v’1 = 5 – 4,9 = 0,1 m/s
Xe đạp vẫn chuyển động theo chiều cũ.
CH tr 43 4.13
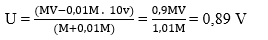
Một con chim và một con côn trùng bay thẳng về phía nhau trên một quỹ đạo nằm ngang. Khối lương của con chim là M và khối lượng của côn trùng là m. Các vận tốc (không đổi) tương ứng là V, v. Con chim nuốt con côn trùng và tiếp tục bay theo hướng cũ. Tìm vận tốc U của nó sau khi nuốt côn trùng. Tìm U và V trong trường hợp m = 0,01M và v = 10V.
Phương pháp giải:
Động lượng nằm ngay được bảo toàn khi không có lực theo phương ngang tác động và hệ chim và côn trùng, tức là tổng động lượng trước và sau va chạm bằng nhau.
Lời giải chi tiết:
Chọn chiều chuyển động của con chim là chiều dương của trục x, ta có:
MV – mv = (M + m).U

Đối với trường hợp được đưa ra, ta nhận được:

CH tr 43 4.14
Động lượng được bảo toàn trong một vụ va chạm, điều này có thể kết luận rằng va chạm là đàn hồi hay không? Giải thích.
Phương pháp giải:
Đối với một hệ kín, tổng động lượng của hệ không đổi.
Lời giải chi tiết:
Động lượng được bảo toàn hay không trong một vụ va chạm là chưa thể kết luận
CH tr 43 4.15
Ưu điểm của túi khí trong việc giảm chấn thương khi va chạm là gì? Giải thích bằng cách sử dụng các ý tưởng liên hệ lực và động lượng.
Lời giải chi tiết:
Ưu điểm của túi khí trong việc giảm chấn thương khi va chạm là làm tăng thời gian va chạm giữa người và túi khí tới khi người có cùng tốc độ với xe, nhờ vậy lực tác dụng lên người sẽ giảm đi với cùng tốc độ thay đổi động lượng.
CH tr 43 4.16
Hai vật va chạm trong điều kiện động lượng của hai hệ vật được bảo toàn. Động lượng của từng vật có được bảo toàn trong va chạm không? Giải thích.
Lời giải chi tiết:
Hai vật va chạm trong điều kiện động lượng của hệ hai vật được bảo toàn. Động lượng của từng vật không bảo toàn trong va chạm, lí do mỗi vật đều chịu lực va chạm gây ra sự biến đổi động lượng của từng vật.
CH tr 43 4.17
Để thay thế một quả bóng đang nằm yên tại một vị trí trên mặt bàn bằng một quả bóng khác do va chạm, người chơi bi-da phải xem xét:
A. Va chạm xuyên tâm
B. Quả bóng chuyển động không được tạo ra bất kì chuyển động quay nào.
C. Cả A và B
D. Không cần điều kiện gì
Phương pháp giải:
Để thay thế một quả bóng đang nằm yên tại một vị trí trên mặt bàn bằng một quả bóng khác do va chạm, người chơi bi-da phải xem xét va chạm xuyên tâm và quả bóng chuyển động không được tạo ra bất kì chuyển động quay nào.
Lời giải chi tiết:
Đáp án C.
CH tr 43 4.18
Trong một va chạm hoàn toàn đàn hồi giữa hai xe có cùng khối lượng chuyển động dọc theo một đường thẳng, nếu xe đẩy đang chạy nhanh va chạm với xe chạy chậm thì sau va chạm xe đẩy chạy nhanh sẽ chuyển động
A. với vận tốc bằng xe chạy chậm
B. chậm hơn một chút
C. nhanh hơn một chút
D. với tốc độ như cũ
Phương pháp giải:
Trong một va chạm hoàn toàn đàn hồi giữa hai xe có cùng khối lượng chuyển động dọc theo một đường thẳng, nếu xe đẩy đang chạy nhanh va chạm với xe chạy chậm thì sau va chạm xe đẩy chạy nhanh sẽ chuyển động với vận tốc bằng xe chạy chậm.
Lời giải chi tiết:
Đáp án A.
CH tr 43 4.19
Nếu một xe đẩy va chạm hoàn toàn mềm với một xe đẩy đứng yên có khối lượng gấp đôi, thì chúng sẽ di chuyển bằng
A. một nửa vận tốc ban đầu
B. một phần ba vận tốc ban đầu
C. gấp đôi vận tốc ban đầu
D. gấp ba lần vận tốc ban đầu
Phương pháp giải:
Nếu một xe đẩy va chạm hoàn toàn mềm với một xe đẩy đứng yên có khối lượng gấp đôi, thì chúng sẽ di chuyển bằng một phần ba vận tốc ban đầu.
Lời giải chi tiết:
Đáp án B.
CH tr 44 4.20
Trong một vụ va chạm hoàn toàn đàn hồi, động lượng và năng lượng
A. không được bảo toàn
B. được bảo toàn
C. trở thành bằng không sau va chạm
D. bằng nhau trước va chạm
Phương pháp giải:
Trong một vụ va chạm hoàn toàn đàn hồi, động lượng và năng lượng được bảo toàn.
Lời giải chi tiết:
Đáp án B.
CH tr 44 4.21
Nếu tổng động năng và tổng động lượng của hệ gồm hai vật không sau va chạm thì va chạm giữa hai vật là
A. hoàn toàn đàn hồi B. hoàn toàn mềm
C. bảo toàn D. không được bảo toàn
Phương pháp giải:
Nếu tổng động năng và tổng động lượng của hệ gồm hai vật không sau va chạm thì va chạm giữa hai vật là hoàn toàn mềm.
Lời giải chi tiết:
Đáp án B.
CH tr 44 4.22
Tổng động lượng của hai vật cùng khối lượng chuyển động cùng vận tốc nhưng ngược chiều khi va chạm
A. tăng lên B. giảm
C. bằng không D. là vô hạn
Phương pháp giải:
Tổng động lượng của hai vật cùng khối lượng chuyển động cùng vận tốc nhưng ngược chiều khi va chạm bằng không.
Lời giải chi tiết:
Đáp án C.
CH tr 44 4.23
Trong một vụ va chạm hoàn toàn không đàn hồi, tổng động năng của các vật va chạm
A. hoàn toàn biến mất B. được tăng lên
C. giảm D. không đổi
Phương pháp giải:
Trong một vụ va chạm hoàn toàn không đàn hồi, tổng động năng của các vật va chạm giảm.
Lời giải chi tiết:
Đáp án C.
CH tr 44 4.24
Tính lực trung bình tác dụng lên ô tô khối lượng 1 050 kg khi vận tốc của nó thay đổi từ 0 lên 12,0 m/s trong thời gian 10,0 s
Phương pháp giải:
Áp dụng công thức tính hợp lực:

Lời giải chi tiết:
Ta có:

CH tr 44 4.25
Hình 4.1 cho thấy hai quả cầu giống hệt nhau sắp xảy ra va chạm. Các quả cầu dính vào nhau sau khi va chạm. Xác định tốc độ của các quả cầu và hướng dịch chuyển của chúng sau va chạm.

Lời giải chi tiết:
Ngay sau va chạm, hai quả cầu có cùng vận tốc

CH tr 44 4.26
Một ô tô khối lượng m = 1,2 tấn đang chuyển động với vận tốc 72 km/h thì hãm phanh và dừng lại sau 12 giây. Tìm lực hãm tác dụng lên ô tô.
Phương pháp giải:
Áp dụng công thức tính hợp lực:

Lời giải chi tiết:
M = 1,2 . 103kg; v = 72 km/h = 20 m/s.
Độ biến thiên động lượng:
Δp = 0 – mv = -1,2 . 103 . 20 = -24 . 103 kg.m/s
Lực hãm:

CH tr 44 4.27
Vật A có khối lượng 400 g chuyển động với tốc độ 5,0 m/s đến va chạm với vật B có khối lượng 300 g đang chuyển động theo chiều ngược lại với tốc độ 7,5 m/s. Sau va chạm vật A bật ngược trở lại với tốc độ 2,5 m/s. Tính vận tốc của vật B.
Lời giải chi tiết:
m1 = 0,4 kg; m2 = 0,3 kg;
Chọn chiều dương là chiều chuyển động của vật A trước va chạm
Vận tốc đã biết v1 = 5,0 m/s; v2 = -7,5 m/s; v’1 = – 2,5 m/s
Áp dụng định luật bảo toàn động lượng:
0,4 . 5,0 – 0,3 . 7,5 = -0,4 . 2,5 + 0,3 . v’2

Vậy vật B chuyển động ngược chiều ban đàu, với tốc độ 2,5 m/s.