1. Bài 18: Nguyên lí làm việc của động cơ đốt trong

Cho biết bugi xe máy có tác dụng gì?

Lựa chọn câu để xem lời giải nhanh hơn

Cho biết bugi xe máy có tác dụng gì?

Phương pháp giải:

Dựa vào kiến thức thực tiễn của bản thân

Lời giải chi tiết:

Bugi xe máy có tác dụng tạo tia lửa điện để đốt cháy nhiên liệu.

Câu hỏi tr78 CH1

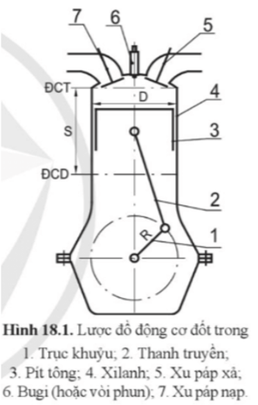
Chỉ ra các điểm chết trên hình 18.1 và cho biết vận tốc pít tông tại các điểm chết.

Phương pháp giải:

Dựa vào hình 18.1

Lời giải chi tiết:

– Điểm chết trên ở vị trí có kí hiệu ĐCT

– Điểm chết dưới ở vị trí có kí hiệu ĐCD

– Vận tốc của pit tông tại điểm chết bằng 0

Câu hỏi tr78 CH2

Tìm mối liên hệ giữa hành trình pít tông S và bán kính quay R của trục khuỷu?

Phương pháp giải:

dựa vào các thể tích xilanh

Lời giải chi tiết:

Mối liên hệ giữa hành trình pit tông S và bán kính quay R của trục khuỷu là:

S = 2R

Câu hỏi tr79 CH1

Vì sao động cơ có thể tích công tác càng lớn thì công suất càng lớn?

Phương pháp giải:

Dựa vào kiến thức về các thể tích xilanh

Lời giải chi tiết:

Động cơ có thể tích công tác càng lớn thì không gian làm việc càng lớn, nguồn động lực tạo ra lớn nên công suất càng lớn.

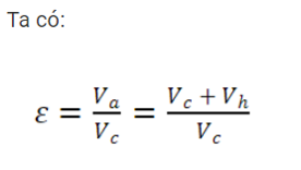
Câu hỏi tr79 CH2

Động cơ có thể tích công tác càng lớn thì không gian làm việc càng lớn, nguồn động lực tạo ra lớn nên công suất càng lớn.

Phương pháp giải:

dựa vào kiến thức về tỉ số nén

Lời giải chi tiết:

Câu hỏi tr80 CH1

Cho biết thế nào là động cơ 2 kì, động cơ 4 kì?

Phương pháp giải:

dựa vào nguyên lí làm việc của động cơ Diesel 4 kì

Lời giải chi tiết:

– Động cơ 2 kì là động cơ mà một chu trình làm việc diễn ra trong 2 hành trình pit tông.

– Động cơ 4 kì là động cơ mà một chu trình làm việc diễn ra trong 4 hành trình pit tông

Câu hỏi tr80 CH2

Quan sát hình 18.4, trình bày nguyên lí làm việc của động cơ Diesel 4 kì

Phương pháp giải:

Dựa vào kiến thức hình 18.4

Lời giải chi tiết:

a. Kì 1: Nạp

– Pit tông: từ ĐCT → ĐCD

– Xu páp nạp mở, thải đóng.

– P tăng, V giảm → không khí qua cửa nạp vào xilanh.

b. Kì 2: Nén

– Pit tông: từ ĐCD → ĐCT

– Xu páp nạp và thải đóng.

– V giảm, P tăng, tᵒ tăng.

– Cuối kì nén, vòi phun phun nhiên liệu với áp suất cao vào buồng cháy.

c. Kì 3: Cháy – dãn nở

– Pit tông: từ ĐCT → ĐCD

– Xu páp nạp và thải đóng.

– Nhiên liệu hòa trộn với không khí → hòa khí →p
t0 bốc cháy → pit tông đi xuống làm trục khuỷu quay và sinh công.

d.Kì 4: Thải

– Pit tông: từ ĐCD → ĐCT

– Xu páp nạp đóng, xu páp thải mở

– Pit tông đẩy khí thải ra ngoài qua cửa thải.

Câu hỏi tr80 CH3

Ở động cơ 4 kì, công được sinh ra ở kì nào?

Phương pháp giải:

Dựa vào hình 18.4

Lời giải chi tiết:

Ở động cơ 4 kì, công được sinh ra ở kì 3.

Câu hỏi tr81 CH1

Cho biết sự khác nhau về nguyên lí làm việc của động cơ xăng 4 kì hình thành hòa khí bên ngoài và động cơ Diesel 4 kì

Phương pháp giải:

Dựa vào nguyên lí làm việc của động cơ xăng 4 kì

Lời giải chi tiết:

Sự khác nhau về nguyên lí:

– Ở kì nạp: động cơ xăng nạp hòa khí còn động cơ Diesel nạp không khí.

– Ở cuối kì nén, động cơ xăng có bugi bật tia lửa điện châm cháy hòa khí còn động cơ Diesel hòa khí tự bốc cháy.

Câu hỏi tr82 CH2

Quan sát hình 18.7, cho biết nguyên lí làm việc của động cơ xăng 2 kì sử dụng cacte nén khí.

 

Phương pháp giải:

Dựa vào hình 18.7

Lời giải chi tiết:

* Nguyên lí làm việc của động cơ xăng 2 kì sử dụng cacte nén khí:

a. Kì 1:

– Pit tông: từ ĐCT → ĐCD

– Bao gồm các quá trình:

*Cháy – dãn nở

+ Pit tông ở ĐCT

+ Khí cháy với Pcao dãn nở đẩy pit tông xuống → trục khuỷu quay → kết thúc khi bắt đầu mở cửa thải.

*Thải tự do:

+ Từ khi pit tông mở cửa thải → bắt đầu mở cửa quét.

+ Khí thải trong xilanh có Pcao tự ra ngoài qua cửa thải.

*Quét – thải khí:

+ Từ khi pit tông mở cửa quét → ĐCD.

+ Hòa khí từ cacte → 8 → cửa quét → xilanh → đẩy khí thải ra ngoài.

b. Kì 2:

– Pit tông từ ĐCD → ĐCT

– Bao gồm các quá trình:

*Quét – thải khí

+ Tiếp tục kì 1 đến khi đóng kín cửa quét.

+ Hòa khí tiếp tục vào xilanh, khí thải tiếp tục ra ngoài cửa thải.

*Lọt khí:

+ Từ khi pit tông đóng cửa quét → đóng cửa thải.

+ Một phần hòa khí trong xilanh bị lọt ra ngoài qua cửa thải.

*Nén và cháy:

+ Từ khi pit tông đóng cửa thải → ĐCT.

+ Cuối kì, bugi bật tia lửa điện châm cháy hòa khí.

*Ngoài ra, còn có quá trình nạp:

+ Pit tông từ ĐCD đi lên → đóng kín cửa quét.

+ Pit tông đi lên → P trong cacte giảm, pit tông mở cửa nạp → hòa khí vào cacte nhờ sự chênh áp.

Câu hỏi tr83 CH1

Phân biệt tốc độ quay và tốc độ quay định mức của động cơ

Phương pháp giải:

dựa vào kiến thức về tốc độ quay của động cơ

Lời giải chi tiết:

– Tốc độ quay là số vòng quay của trục khuỷu trong một phút.

– Tốc độ quay định mức 

Câu hỏi tr83 CH2

Phân biệt công suất có ích và công suất định mức?

Phương pháp giải:

Dựa vào kiến thức về công suất động cơ

Lời giải chi tiết:

– Công suất có ích là công suất của động cơ phát ra từ trục khuỷu để truyền tới máy công tác.

– Công suất định mức là công suất lớn nhất của động cơ theo thiết kế.

Câu hỏi tr83 CH3

Mômen xoắn của động cơ là gì?

Phương pháp giải:

Dựa vào kiến thức về monen xoắn của động cơ

Lời giải chi tiết:

Mômen xoắn của động cơ là mô men truyền từ trục khuỷu ra máy công tác.

Câu hỏi tr84 CH1

Mức tiêu thụ nhiên liệu là gì?

Phương pháp giải:

Dựa vào kiến thức về mức tiêu thụ nhiên liệu

Lời giải chi tiết:

Mức tiêu thụ nhiên liệu là khối lượng nhiên liệu tiêu thụ trong một đơn vị thời gian.

Câu hỏi tr84 CH2

Cho một số thông số của động cơ như bảng 18.1, hãy:

Bảng 18.1. Một số thông số động cơ

Thông số

Giá trị

Đường kính xilanh D (mm)

 

80

Hành trình pít tông S (mm)

90

Tỉ số nén ɛ

20

Số xilanh

4

a) Cho biết đây là động cơ dùng nhiên liệu gì?

b) Tính thể tích công tác của động cơ này.

Phương pháp giải:

Dựa vào thông số của động cơ trong bảng 18.1

Lời giải chi tiết:

a) Đây là động cơ dùng nhiên liệu Diesel.

b) Tính thể tích công tác của động cơ này.

Câu hỏi tr84 CH3

Vì sao ở động cơ xăng phải sử dụng bugi, ở động cơ Diesel không cần sử dụng bugi?

Phương pháp giải:

dựa vào kiến thức về nguyên lí làm việc của động cơ đốt trong

Lời giải chi tiết:

Ở động cơ xăng phải sử dụng bugi, ở động cơ Diesel không cần sử dụng bugi vì động cơ Diesel tỉ số nén cao nên hòa khí tự bốc cháy.

Câu hỏi tr84 CH4

Ở động cơ xăng 2 kì sử dụng cacte nén khí, giai đoạn nào làm thất thoát nhiên liệu ra đường thải? Vì sao?

Phương pháp giải:

dựa vào kiến thức về nguyên lí làm việc của động cơ đốt trong

Lời giải chi tiết:

Ở động cơ xăng 2 kì sử dụng cacte nén khí, giai đoạn lọt khí làm thất thoát nhiên liệu ra đường thải. Vì hòa khí được đưa vào xilanh nhưng cửa thải chưa đóng.

Câu hỏi tr84 CH5

Tìm hiểu và giải thích ý nghĩa của con số 110, 125 ghi trên xe máy

Phương pháp giải:

Dựa vào kiến thức về nguyên lí làm việc của động cơ dodost trong

Lời giải chi tiết:

110, 125 là thể tích công tác của xilanh.

TẢI APP ĐỂ XEM OFFLINE

CÔNG NGHỆ CHĂN NUÔI

CÔNG NGHỆ CƠ KHÍ