Lựa chọn câu để xem lời giải nhanh hơn
18.1
Hợp chất chứa nhóm C=O liên kết với nguyên tử carbon hoặc nguyên tử hydrogen được gọi là
A. hợp chất alcohol. B. dẫn xuất halogen.
C. các hợp chất phenol. D. hợp chất carbonyl.
Phương pháp giải:
Dựa theo khái niệm hợp chất carbonyl.
Lời giải chi tiết:
Đáp án D.
18.2
Nối mỗi công thức cấu tạo ở cột với tên gọi tương ứng của chúng trong cột B.
|
Côt A
|
Cột B
|
|
a)CH3CH2CH2CHO
|
- 3-methylpentanal
|
|
b)CH3CH(C2H5)CH2CHO
|
- butan-1-ol
|
|
c)CH2=CHCOCH2CH3
|
- ethyl vinyl ketone
|
|
d)CH3CH2CH2CH2OH
|
- butanal
|
Phương pháp giải:
Gọi tên các hợp chất carbonyl.
Lời giải chi tiết:
a – 4;
b – 1;
c – 3,
d – 2.
18.3
Công thức nào sau đây không thể là của aldehyde?
A. C4H8O B. C3H4O2
C. C2H6O2 D. CH2O
Phương pháp giải:
Trong phân tử của C2H6O2 có 2 nguyên tử O mà chỉ có 2 nguyên tử C nên C2H6O2 không thể là aldehyde.
Lời giải chi tiết:
Đáp án C.
18.4
Số đồng phân aldehyde có cùng công thức C5H10O, mạch hydrocarbon phân nhánh là
A. 2 . B. 3 . C. 4 . D. 5 .
Phương pháp giải:
Viết các đồng phân chứa nhóm CHO.
Lời giải chi tiết:
Có 4 đồng phân.
CH3CH2CH2CH2CHO; CH3CH(CH3)CH2CHO;
CH3CH2CH(CH3)CHO; CH3C(CH3)2CHO
Đáp án C.
18.5
Nhận xét nào sau đây là đúng?
A. Formaldehyde tan tốt trong nước là do tạo được liên kết hydrogen với nước.
B. Acetone tan tốt trong nước là do acetone phản ứng được với nước.
C. Methyl chloride tan trong nước tốt hơn formaldehyde.
D. Acetaldehyde tan trong nước tốt hơn ethanol.
Phương pháp giải:
Formaldehyde là hợp chất carbonyl mạch ngắn tan tốt trong nước là do tạo được liên kết hydrogen với nước.
Lời giải chi tiết:
Đáp án A.
18.6
Trong các hợp chất HCHO, CH3CHO, CH3COCH3 và CH3CH2CH2CHO hợp chất có độ tan trong nước kém nhất là:
A. HCHO
B. CH3CHO
C. CH3COCH3
D. CH3CH2CH2CHO
Phương pháp giải:
So sánh độ tan dựa trên khả năng tạo liên kết hydrogen và khối lượng phân tử.
Lời giải chi tiết:
Đáp án D.
18.7
Trong các hợp chất cho dưới đây, hợp chất nào có nhiệt độ sôi cao nhất?
A. Propan-2-one. B. Butan-2-one.
C. Pentan-2-one. D. Hexan-2-one.
Phương pháp giải:
So sánh nhiệt độ sôi dựa trên khối lượng phân tử của hợp chất. Khối lượng phân tử càng lớn thì nhiệt độ sôi càng cao.
Lời giải chi tiết:
Đáp án D.
18.8
Phát biểu nào sau đây về tính chất của hợp chất carbonyl là không đúng?
A. Aldehyde phån ứng được với nước bromine.
B. Ketone không phản ứng được với Cu(OH)2/OH-
C. Aldehyde tác dụng với dung dịch AgNO3/NH3 tạo ra bạc.
D. Trong các hợp chất carbonyl, chỉ aldehyde bị khử bởi NaBH4
Phương pháp giải:
Dựa theo tính chất hóa học của hợp chất carbonyl.
Lời giải chi tiết:
Đáp án D.
18.9
Dãy nào sau đây gồm các chất đều tác dụng với dung dịch AgNO3/NH3 ?
A. Acetaldehyde, but-1-yne, ethylene.
B. Acetaldehyde, acetylene, but-2-yne.
C. Formaldehyde, vinylacetylene, propyne.
D. Formaldehyde, acetylene, ethylene.
Phương pháp giải:
Các aldehyde và các Alk-1-yne đều phản ứng với AgNO3/NH3
Lời giải chi tiết:
Đáp án C.
18.10
Trong các chất sau: (1)CH3CH2CHO, (2) CH3CH(OH)CH3, (3) (CH3)2CHCHO, (4) CH2=CHCH2OH ,những chất nào phản ứng với H2 hoặc sinh ra cùng một sản phẩm NaBH4?
A. (1) và (4). B. (2) và (4).
C. (1) và (2). D. (3) và (4).
Phương pháp giải:
Dựa theo tính chất hóa học của hợp chất carbonyl. Aldehyde phản ứng với H2 (Ni, t) hoặc NaBH4 sinh ra alcohol bậc 1, ketone phản ứng với H2 (Ni, t) hoặc NaBH4 sinh ra alcohol bậc 2.
Lời giải chi tiết:

Đáp án A
18.11
Trong các hợp chất dưới đây, hợp chất nào phản ứng được với HCN cho sản phẩm là cyanohydrin?
A. CH3CH3 B. C4H9OH
C. C2H5OH D. CH3CHO
Phương pháp giải:
Dựa theo tính chất hóa học của hợp chất carbonyl.
Lời giải chi tiết:
Đáp án D.
18.12
Hợp chất nào sau đây có phản ứng tạo iodoform?
A. CH2=CH2 B. CH3CHO
B. C6H5OH D. CH\( \equiv \) CH
Phương pháp giải:
Dựa theo tính chất hóa học của hợp chất carbonyl.
Lời giải chi tiết:
Đáp án B.
18.13
Phản ứng nào sau đây thể hiện tính oxi hoá của propanal?

Phương pháp giải:
Dựa theo tính chất hóa học của hợp chất carbonyl.
Lời giải chi tiết:
Đáp án D.
18.14
Khi cho ethanal phản ứng với Cu(OH)2 trong môi trường kiềm ở nhiệt độ thích hợp, hiện tượng nào sau đây sẽ xảy ra?
A. Cu(OH)2 bị tan ra, tạo dung dịch màu xanh.
B. Có mùi chua của giấm, do phản ứng sinh ra acetic acid.
C. Tạo kết tủa đỏ gạch do phản ứng sinh ra Cu2O
D. Sinh ra CuO màu đen.
Phương pháp giải:
Dựa theo tính chất hóa học của hợp chất carbonyl.
Lời giải chi tiết:
Đáp án C.
18.15
Trên phổ IR của acetone có tín hiệu đặc trưng cho nhóm carbonyl ở vùng
A. 1740 – 1670 cm-1 B. 1650 – 1620 cm-1
C. 3650 – 3200 cm-1 D. 2250 – 2150 cm-1
Phương pháp giải:
Dựa vào tín hiệu phổ của nhóm carbonyl
Lời giải chi tiết:
Đáp án A.
18.16
Hãy điền từ ngữ thích hợp vào chỗ trống trong câu sau:
Liên kết đôi C=O gồm liên kết \(\sigma \)và …(1)… Nguyên tử oxygen có độ âm điện …(2)… nên hút …(3)… về phía nó, làm cho …(4)… trở nên phân cực: Nguyên tử oxygen mang một phần điện tích …(5)…, nguyên tử carbon mang một phần điện tích …(6)….
Phương pháp giải:
Dựa vào kiến thức nhóm carbonyl
Lời giải chi tiết:
(1) liên kết π;
(2) lớn hơn;
(3) electron;
(4) liên kết C=O;
(5) âm;
(6) dương.
18.17
Hoàn thành dãy chuyển hoá sau bằng các phương trình hoá học:

Phương pháp giải:
Dựa theo tính chất hóa học của hợp chất carbonyl.
Lời giải chi tiết:

18.18
Điền các thông tin thích hợp vào ô trống để hoàn thành bảng mô tả về các đồng phân mạch hở, chứa gốc hydrocarbon no, công thức sau:

Phương pháp giải:
Dựa vào tính chất hoá học của nhóm carbonyl
Lời giải chi tiết:
|
Công thức cấu tạo
|
CH3COCH2CH3
|
CH3CH2CH2CHO
|
(CH3)2CHCHO
|
|
Tên thay thế là
|
butan-2-one
|
butanal
|
2-methylpropanal
|
|
Phản ứng với NaBH4 tạo
|
CH3CH(OH)CH2CH3
|
CH3CH2CH2CH2OH
|
(CH3)2CHCH2OH
|
|
Phản ứng với nước bromine tạo
|
Không phản ứng
|
CH3CH2CH2COOH
|
(CH3)2CHCOOH
|
|
Phản ứng với thuốc thử Tollens tạo
|
Không phản ứng
|
CH3CH2CH2COONH4
|
(CH3)2CHCOONH4
|
|
Phản ứng với Cu(OH)2/OH−tạo
|
Không phản ứng
|
CH3CH2CH2COONa
|
(CH3)2CHCOONa.
|
18.19
Cho sơ đồ chuyển hoá sau:

a) Hoàn thành sơ đồ chuyển hoá trên, biết các chất A, B, C đều là chất hữu cơ và đều là sản phẩm chính của các phản ứng.
b) Nêu đặc điểm các tín hiệu trên phổ IR của hợp chất B và C
Phương pháp giải:
Áp dụng tính chất hóa học của alkene, dẫn xuất halogen, alcohol.
Lời giải chi tiết:

b)
Chất B có tín hiệu đặc trưng ở vùng 3650 – 3200cm-1
Chất C có tín hiệu đặc trưng ở vùng 1740 – 1670 cm-1
18.20
Ở nhiều vùng nông thôn nước ta, nhiều gia đình vẫn đun bếp rơm, củi. Khi mua một số vật dụng như rổ, rá, nong, nia… (được đan bởi tre, nứa, giang…), họ thường để lên gác bếp trước khi sử dụng. Việc làm này giúp độ bền của các vật dụng trên được lâu hơn. Tìm hiểu và giải thích vì sao.
Phương pháp giải:
Dựa vào kiến thức hoá học của HCHO
Lời giải chi tiết:
Do trong khói của bếp có chứa formaldehyde (HCHO), chất này có khả năng diệt trùng, chống mối mọt nên các vật dụng rổ, rá, nong, nia,… bền hơn.
18.21
Hợp chất no, mạch hở có phần trăm khối lượng C và H lần lượt bằng 66,67% và 11,11% còn lại là O. Trên phổ MS tìm thấy tín hiệu ứng với phân tử khối của X là 72 .
a) Tìm công thức phân tử của X.
b) X không tác dụng với dung dịch AgNO3 trong NH3 nhưng có phản ứng tạo iodoform. Viết công thức cấu tạo và gọi tên của hợp chất X.
Phương pháp giải:
từ % các nguyên tố tìm ra được công thức thực nghiệm. Sau đó tìm ra công thức phân tử và công thức cấu tạo.
Lời giải chi tiết:
%O = 100 – 66,67% – 11,11% = 22,22%
Gọi công thức của X là CxHyOz
\[x:y:z = \frac{{\% C}}{{12}}:\frac{{\% H}}{1}:\frac{{\% O}}{{16}} = \frac{{66.67}}{{12}}:\frac{{11,11}}{1}:\frac{{22,22}}{{16}} = 4:8:1\]
Công thức thực nghiệm của X là (C4H8O)n
Từ phổ MS ta tính được:
M = 72 → (C4H8O)n = 72 → n = 1.
Công thức phân tử của X là C4H8O
Do X không tác dụng với dung dịch AgNO3 trong NH3 nhưng có phản ứng tạo iodoform nên X là CH3 – CO – C2H5
18.22
Có ba chất hữu cơ A, B và C là ba đồng phân cấu tạo của nhau. Trên phổ và có tín hiệu đặc trưng ở vùng1740 – 1670 cm-1 có tín hiệu đặc trưng ở vùng 3650 – 3200 cm-1 . A là hợp chất đơn chức và có phản ứng với thuốc thử Tollens, còn B thì không. Bằng các kĩ thuật phổ hiện đại, người ta thấy rằng trong phân tử của A có 6 nguyên tử hydrogen và 3 nguyên tử carbon.
Hãy xác định công thức phân tử, công thức cấu tạo và tên gọi của A, B và C
Phương pháp giải:
từ tín hiệu của phổ hồng ngoại tìm ra các nhóm chức của A, B, C.
Lời giải chi tiết:
Trên phố IR, A và B có tín hiệu đặc trưng ở vùng 1740 – 1670 cm-1 nên và chứa nhóm C=O là hợp chất carbonyl.
C có tín hiệu đặc trưng ở vùng 3650 – 3200 cm-1 nên C chứa nhóm OH là hợp chất alcohol.
A là hợp chất đơn chức và có phản ứng với thuốc thử Tollens, còn B thì không nên A là aldehyde đơn chức nên phân tử A chỉ có 1 nguyên tử oxygen, B là ketone và A, B và C có cùng công thức phân tử C3H6O
Vì A là adehyde và B là ketone nên A và B có công thức như sau:
A: CH3CH2CHO (propanal)
B. CH3COCH3 (acetone hay propanone)
C là alcohol nên C có công thức là CH2 = CHCH2OH (prop – 2 en – 1 – ol)
18.23
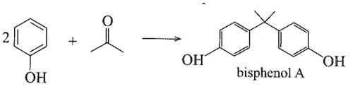
a) Tính khối lượng phenol và acetone (theo ) thu được khi oxi hoá 1 tấn cumene trong công nghiệp. Biết hiệu suất của phản ứng điều chế phenol và acetone từ cumene trong công nghiệp là 95%
b) Bisphenol A là hợp chất được dùng nhiều trong công nghiệp để điều chế nhựa epoxy. Bisphenol A được điều chế từ phenol và acetone theo sơ đồ:

Từ lượng phenol và acetone thu được ở câu a), hãy tính lượng bisphenol thu được (theo ), biết hiệu suất của phản ứng tổng hợp bisphenol A đạt 80%
Phương pháp giải:
từ PTPU đặt số mol và tính toán
Lời giải chi tiết:

\(\begin{array}{l}{n_{phenol}} = {n_{acetone}} = \frac{{1000}}{{120}}.95\% = 7,92\\{m_{phenol}} = 7,92.94 = 744,16kg\\{m_{acetone}} = 7,92.58 = 459,16kg\end{array}\)

\(\begin{array}{l}{n_{bisphenolA}} = \frac{{{n_{phenol}}}}{2} = \frac{{7,92}}{2} = 3,96\\{m_{bisphenolA}} = 7,92.228.80\% = 722kg\end{array}\)
18.24
Ngày nay, nhu cầu về đồ gỗ nội thất ngày càng nhiều song nguồn gỗ tự nhiên không còn dồi dào nên việc chuyển sang sử dụng gỗ công nghiệp đang là xu hướng của nhiều nước trên thế giới. Việc sử dụng gỗ công nghiệp góp phần bảo vệ rừng, bảo vệ môi trường. Quy trình sản xuất gỗ công nghiệp là nghiền các cây gỗ trồng ngắn ngày như keo, bạch đàn, cao su,…, sau đó sử dụng keo để kết dính và ép để tạo độ dày ván gỗ. Keo được sử dụng trong gổ công nghiệp thường chứa dư lượng formaldehyde, là một hoá chất độc hại đối với sức khoẻ con người. Tại các nước phát triển như ở châu Âu và Mỹ, dư lượng formaldehyde được kiểm soát rất nghiêm ngặt. Châu Âu quy định tiêu chuẩn dư lượng formaldehyde trong gỗ công nghiệp là 120 mgm-3Cơ quan kiểm định lấy 300g gỗ trong một lô gỗ của một doanh nghiệp Việt Nam xuất khẩu sang châu Âu và kiểm tra bằng phương pháp sắc kí thấy chứa formaldehyde. Biết khối lượng riêng của loại gỗ này là 800kg m3
a) Vì sao formaldehyde lại có trong gỗ công nghiệp?
b) Lô gỗ của doanh nghiệp Việt Nam có đủ tiêu chuần để xuất sang châu Âu không?
Phương pháp giải:
Dựa vào kiến thức về nhóm chức carbonyl
Lời giải chi tiết:
a) Trong sản xuất gỗ công nghiệp, người ta sử dụng một lượng lớn keo dán, đó chính là nhựa poly(phenol-formaldehyde). Nhựa poly(phenol-formaldehyde) được sản xuất từ formaldehyde và phenol. Do vậy trong keo dán thường có một lượng nhỏ formaldehyde.
b) Lượng formaldehyde có trong 1g gỗ là: \(\frac{{0,03}}{{300}} = {10^{ – 4}}(mmg)\)
Lượng formaldehyde có trong 800kg (hay 1m3 ) gỗ là:
10-4.800.103 = 80 (mmg)
Như vậy, lô gỗ đạt tiêu chuẩn xuất khẩu sang châu Âu.
18.25
Từ một loại tinh dầu thảo mộc, người ta tách được hợp chất hữu cơ có mùi thơm. Bằng phương pháp phân tích nguyên tố, người ta thấy rằng A chứa 81,82%C và 6,06%H về khối lượng, còn lại là O . Phổ MS cho thấy có phân tử khối bằng 132 . Trên phổ IR của A có một tín hiệu đặc trưng ở 1746cm-1 . Chất A có phản ứng tráng bạc, làm mất màu dung dịch Br2/CCl4 và khi bị oxi hoá bằng dung dịch KmnO4 nóng, thu được benzoic acid.
a) Xác định công thức cấu tạo của A .
b) Viết công thức của A , biết trong tự nhiên A tồn tại ở dạng trans.
Phương pháp giải:
từ % các nguyên tố tìm ra được công thức thực nghiệm. Sau đó tìm ra công thức phân tử và công thức cấu tạo.
Lời giải chi tiết:
%O = 100 – 81,82 – 6,06 = 12,12%
Gọi công thức của X là CxHyOz
\(x:y:z = \frac{{\% C}}{{12}}:\frac{{\% H}}{1}:\frac{{\% O}}{{16}} = \frac{{81,82}}{{12}}:\frac{{6,06}}{1}:\frac{{12,12}}{{16}} = 9:8:1\)
Công thức thực nghiệm của X là (C9H8O)n
Từ phổ MS ta tính được:
M = 132 → (C9H8O)n = 132 → n = 1.
Công thức phân tử của X là C9H8O
Trên phổ IR của A có một tín hiệu đặc trưng ở 1746 cm-1 chứng tỏ A chứa nhóm C=O
A có phản ứng tráng bạc, chứng tỏ A là aldehyde.
A làm mất màu dung dịch Br2/CCl4 chứng tỏ trong A chứa C=C
Khi bị oxi hoá bằng dung dịch KmnO4 nóng, thu được benzoic acid, chứng tỏ là dẫn xuất thế 1 nguyên tử H của benzene.
Công thức cấu tạo của A là C6H5CH = CHCHO
b)