Tích phân các hàm số cơ bản

Tích phân các hàm số cơ bản

1. Tính tích phân sử dụng bảng nguyên hàm cơ bản

Khi tính tích phân các hàm số cơ bản (đa thức, lượng giác, mũ,…) các em cần chú ý sử dụng bảng nguyên hàm các hàm số cơ bản kết hợp với công thức Leibnitz:

\(\int\limits_a^b {f\left( x \right)dx}  = F\left( b \right) – F\left( a \right)\)

ở đó, \(f\left( x \right)\) là hàm liên tục trên \(\left[ {a;b} \right]\) và \(F\left( x \right)\) là một nguyên hàm của \(f\left( x \right)\).

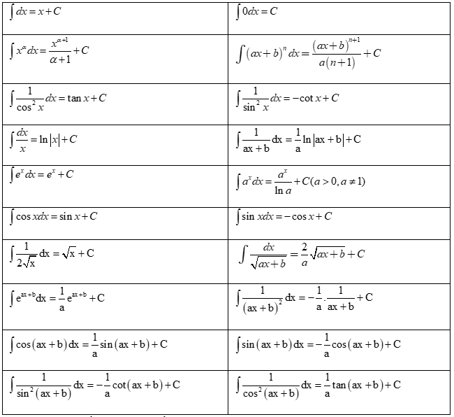
Bảng nguyên hàm

2. Tính tích phân có chứa dấu giá trị tuyệt đối

Đối với các tích phân dạng \(\int\limits_a^b {\left| {f\left( x \right)} \right|dx} \), phương pháp chung là ta cố gắng phá dấu giá trị tuyệt đối hàm \(f\left( x \right)\) trên từng khoảng nhỏ nằm trong khoảng \(\left( {a;b} \right)\) rồi tính lần lượt các tích phân đó.

TẢI APP ĐỂ XEM OFFLINE