Thử tài bạn trang 74 Tài liệu dạy – học Toán 7 tập 2

Giải bài tập Cho hai đa thức

Đề bài

Cho hai đa thức \(A\left( x \right) = 3{x^2} – 4x + 2\)  và \(B\left( x \right) = 6 – 2{x^2} + 5x\)

Hãy thực hiện phép tính A(x) + B(y)

Lời giải chi tiết

* Cách 1:

Thực hiện như cộng hai đa thức

A(x) + B(x) = (3x2 – 4x + 2) + (6 – 2x2 + 5x)

= 3x2 – 4x + 2 + 6 – 2x2 + 5x (Bỏ dấu ngoặc)

= (3x2 – 2x2) +(-4x + 5x) +(2 + 6) (Nhóm các cặp hạng tử đồng dạng)

= x2 + x +8

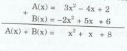
* Cách 2:

Sắp xếp các hạng tử đồng dạng của A(x) và B(x) ở cùng một cột rồi thực hiện phép cộng như sau:

Webgiaibaitap.com

TẢI APP ĐỂ XEM OFFLINE