Lý thuyết điều chế kim loại

– Nguyên tắc: Khử ion kim loại bằng chất khử thích hợp:

I. NGUYÊN TẮC ĐIỀU CHẾ KIM LOẠI

Khử ion kim loại thành nguyên tử.

Mn+ + ne → M

I CÁC PHƯƠNG PHÁP ĐIỀU CHẾ KIM LOẠI

1. Phương pháp nhiệt luyện

– Đối tượng KL: KL có mức độ hoạt động trung bình

– Phương thức điều chế: khử ion kim loại trong hợp chất ở nhiệt độ cao bằng các chất khử thông thường như C, CO, H2, Al.

VD:

Fe2O3   +   3 CO   \(\xrightarrow{{{t}^{o}}}\)   2Fe   +   3CO2

2. Phương pháp thủy luyện

– Đối tượng KL: KL có mức độ hoạt động trung bình và yếu

– Phương thức điều chế: Khử những in kim loại cần điều chế bằng những kim loại có tính khử mạnh như Fe, Zn,….

VD:

Fe + CuSO4 → FeSO4 + Cu

3. Phương pháp điện phân

a) Điện phân nóng chảy:

– Đối tượng KL: KL có mức độ hoạt động mạnh

– Phương thức điều chế: Dùng dòng điện một chiều khử ion kim loại trong chất điện li nóng chảy (muối halogenua, oxit, hidroxit).

Ví dụ: Điện phân MgCl2 nóng chảy để điều chế Mg.


Phương trình điện phân

b) Điện phân dung dịch:

– Đối tượng KL:  Dùng điều chế các kim loại yếu.

– Phương thức điều chế: Dùng dòng điện một chiều khử ion kim loại yếu trong dung dịch muối của nó.

Ví dụ: Điện phân dung dịch CuCl2 để điều chế kim loại Cu.


Phương trình điện phân


Video mô phỏng – Quá trình điện phân muối ăn NaCl


c) Tính lượng chất thu được ở các điện cực

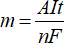
– Dựa vào công thức Farađây: 

Hóa học lớp 12 | Lý thuyết và Bài tập Hóa học 12 có đáp án 

– Trong đó:

       m: Khối lượng chất thu được ở điện cực (g).

       A: Khối lượng mol nguyên tử của chất thu được ở điện cực.

       n: Số electron mà nguyên tử hoặc ion đã cho hoặc nhận.

       I: Cường độ dòng điện (ampe).

       t: Thời gian điện phân (giây).

       F: Hằng số Farađây (F = 96500).

Sơ đồ tư duy: Điều chế kim loại


Webgiaibaitap.com

TẢI APP ĐỂ XEM OFFLINE