Giải câu hỏi khởi động trang 5 SGK Toán 7 tập 1 – Cánh diều

Nhiệt độ lúc 13 giờ ngày 24/01/2016 tại một số trạm đo được bởi bảng như sau:

Đề bài

Nhiệt độ lúc 13 giờ ngày 24/01/2016 tại một số trạm đo được bởi bảng như sau:

Các số chỉ nhiệt độ nêu trên có viết được dưới dạng phân số không?

Phương pháp giải – Xem chi tiết

Viết số thập phân dưới dạng phân số có mẫu số là lũy thừa của 10 như đã học

Lời giải chi tiết

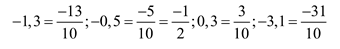
Các số chỉ nhiệt độ nêu trên có viết được dưới dạng phân số. Cụ thể:

TẢI APP ĐỂ XEM OFFLINE

Toán 7 tập 2 – Cánh diều