Giải bài 44 trang 54 sách bài tập toán 7 – Cánh diều

Tính:

Đề bài

Tính:

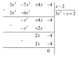
a) \((3{x^3} – 7{x^2} + 4x – 4):(x – 2)\)

b) \(({x^5} + x + 1):({x^3} – x)\)

Phương pháp giải – Xem chi tiết

Đặt tính chia rồi thực hiện chia 2 đa thức một biến theo quy tắc

Lời giải chi tiết

a)

Vậy \((3{x^3} – 7{x^2} + 4x – 4):(x – 2) = 3{x^2} – x + 2\)

b)

Vậy \(({x^5} + x + 1):({x^3} – x) = {x^2} + 1\) dư \(2x + 1\)

TẢI APP ĐỂ XEM OFFLINE