Giải bài 1 (8.1) trang 42 vở thực hành Toán 6

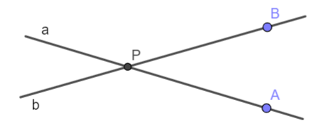
Bài 1 (8.1). Quan sát hình vẽ bên. a) Giao điểm của hai đường thẳng a và b là điểm nào? b) Điểm A thuộc đường thẳng nào và không thuộc đường thẳng nào? Hãy trả lời bằng câu diễn đạt và bằng kí hiệu.

Đề bài

Bài 1 (8.1). Quan sát hình vẽ bên.

 

a) Giao điểm của hai đường thẳng a và b là điểm nào?

b) Điểm A thuộc đường thẳng nào và không thuộc đường thẳng nào? Hãy trả lời bằng câu diễn đạt và bằng kí hiệu.

Phương pháp giải – Xem chi tiết

Quan sát hình vẽ và nhận biết điểm nào thuộc, điểm nào không thuộc.

Lời giải chi tiết

a) Giao của hai đường thẳng a và b là điểm P.

b) Điểm A thuộc đường thẳng a và không thuộc đường thẳng b.

Ta viết: \(A \in a,A \notin b.\)

TẢI APP ĐỂ XEM OFFLINE

Vở thực hành Toán 6 – Tập 1