Câu 8 trang 67 SGK Hóa học lớp 12 Nâng cao

Cho 0,1 mol hợp chất A tác dụng vừa đủ với 80ml dung dịch HCl 1,25, sau đó cô cạn dung dịch thì thu được 18,75g muối. Mặt khác, nếu cho 0,1 mol A tác dụng với lượng dung dịch NaOH vừa đủ , rồi đem cô cạn thì được 17,3g muối.

Đề bài

Cho \(0,1\) mol hợp chất \(A\) tác dụng vừa đủ với \(80\) ml dung dịch \(HCl\; 1,25\), sau đó cô cạn dung dịch thì thu được \(18,75\) g muối. Mặt khác, nếu cho \(0,1\) mol A tác dụng với lượng dung dịch \(NaOH\) vừa đủ , rồi đem cô cạn thì được \(17,3\) g muối.

Xác định công thức phân tử và công thức cấu tạo của A, biết rằng A là một α-animo axit , không làm mất màu dung dịch \(KMnO_4\). 

Lời giải chi tiết

Ta có \({n_A} = {n_{HCl}} = 0,08.1,25=0,1mol \Rightarrow A\) có một nhóm –NH2

Đặt CTTQ của A là: \({H_2}N – R{\left( {COOH} \right)_n}\)

\(\eqalign{
& {M_\text{muối amoni}} = {M_R} + 45n + 52,5 = {{18,75} \over {0,1}} = 187,5\left( 1 \right) \cr 
& {H_2}N – R{(COOH)_n} + nNaOH \to {H_2}N – R{\left( {COONa} \right)_n} + n{H_2}O \cr} \)

        \(0,1\;mol\)                                     \(\rightarrow\)    \(0,1\;mol\)

\(\eqalign{
& {M_\text{muối natri}} = {M_R} + 67n + 16 = {{17,3} \over {0,1}}=173\left( 2 \right) \cr 
& \cr} \)

Từ (1),(2) 

\( \Rightarrow \left\{ \matrix{
{M_R} = 90 \hfill \cr 
n = 1 \hfill \cr} \right. \Rightarrow R:{C_7}{H_6} \Rightarrow CTPT:{C_8}{H_9}{O_2}N.\)

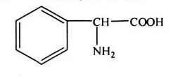
Vì A là một α-amono axit , không làm mất màu \(KMnO_4\)

\( \Rightarrow CTCT\) của A: 

loigiaihay.com

TẢI APP ĐỂ XEM OFFLINE