Câu 56 trang 177 SGK Đại số và Giải tích 11 Nâng cao

Tìm các giới hạn của các dãy số (u¬¬n) với :

Lựa chọn câu để xem lời giải nhanh hơn

Tìm các giới hạn của các dãy số (u­­n) với :

LG a

 \({u_n} = \sqrt {3n – 1} – \sqrt {2n – 1} \)

Phương pháp giải:

Nhân chia liên hợp

Lời giải chi tiết:

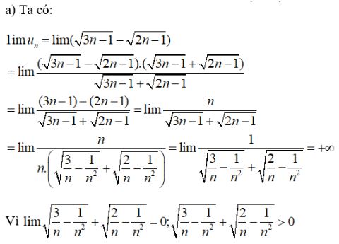
\(\eqalign{
& \lim {u_n} = \lim \left( {\sqrt {3n – 1} – \sqrt {2n – 1} } \right) \cr 
&  = \lim \frac{{\left( {\sqrt {3n – 1}  – \sqrt {2n – 1} } \right)\left( {\sqrt {3n – 1}  + \sqrt {2n – 1} } \right)}}{{\sqrt {3n – 1}  + \sqrt {2n – 1} }}\cr &= \lim {{3n – 1 – \left( {2n – 1} \right)} \over {\sqrt {3n – 1} + \sqrt {2n – 1} }}\cr & = \lim {n \over {\sqrt n \left( {\sqrt {3 – {1 \over n}} + \sqrt {2 – {1 \over n}} } \right)}} \cr 
& = \lim {\sqrt n }  .{{1} \over {\sqrt {3 – {1 \over n}} + \sqrt {2 – {1 \over n}} }} = + \infty \cr 
& \text{ vì }\,\lim \sqrt n = + \infty \cr &\text{ và }\,\lim {{1} \over {\sqrt {3 – {1 \over n}} + \sqrt {2 – {1 \over n}} }} \cr & = {{1} \over {\sqrt 3 + \sqrt 2}} > 0 \cr} \)

Cách khác:

LG b

 \({u_n} = {{{4^n} – {5^n}} \over {{2^n} + {{3.5}^n}}}\)

Phương pháp giải:

Chia cả tử và mẫu của un cho 5n

Lời giải chi tiết:

Chia cả tử và mẫu của un cho 5n ta được :

\(\lim {u_n}  = \lim \frac{{\frac{{{4^n}}}{{{5^n}}} – 1}}{{\frac{{{2^n}}}{{{5^n}}} + 3}}\) \(= \lim {{{{\left( {{4 \over 5}} \right)}^n} – 1} \over {{{\left( {{2 \over 5}} \right)}^n} + 3}} = – {1 \over 3}\)

Vì \(\lim {\left( {{2 \over 5}} \right)^n} = 0; \lim {\left( {{4 \over 5}} \right)^n} = 0\)

Webgiaibaitap.com

TẢI APP ĐỂ XEM OFFLINE

ĐẠI SỐ VÀ GIẢI TÍCH – TOÁN 11 NÂNG CAO